Form EIA‑176 is a census survey collecting data from all known interstate and intrastate natural gas pipeline companies, natural gas distributors, underground natural gas storage operators, synthetic natural gas plant operators, and field, well, and processing plant operators that transport gas across State borders and/or deliver gas directly to consumers. Respondents are required to complete all relevant data items on the form.
EIA has an established procedure for both follow‑up of nonrespondents and for verification of data filed.
Data filed on the EIA‑176 are aggregated by computer and undergo a series of mathematical checks for reasonableness and accuracy. Because the EIA‑176 is a universe survey, the data are not subjected to any statistical procedures.
Form EIA‑191 collects data from all underground natural gas storage operators. Nonrespondents or late filers are contacted by telephone to assure timeliness of this monthly survey. Previous months’ data are used for imputing for nonresponders. No other statistical procedures are employed.
Data on the Form EIA‑895 are collected from State agencies in natural gas producing States. In this voluntary survey, there are no standard nonresponse or resubmission procedures. Each State’s filing must be individually reviewed and, in some cases, data must be converted to standard pressure and temperature in order to assure consistency among reports.
Form EIA-910 surveys all active natural gas marketers selling to residential and/or commercial consumers in Florida, Georgia, Illinois, Maryland, Michigan, New Jersey, New York, Ohio, Pennsylvania, Virginia, West Virginia and the District of Columbia. Nonresponders, late filers, or companies filing questionable data are contacted and required to file or resubmit questionable filings.
Respondents to Form EIA-757, Schedule A will be a census of all 500 active natural gas processing plant operators in the United States. Schedule B collects data only if there is a disruption of natural gas supplies. Respondents to Schedule B would be selected from those companies in the frame that are affected by the supply disruption. The selection of respondents to Schedule B, the frequency of the survey submissions, and the corresponding reporting due-date, will be determined at the time Schedule B is activated in response to the supply emergency. Factors that will be considered in identifying the respondents include: the geographic location of the supply emergency, the size and number of processing plants in the supply disruption area, and the utility of the information vis-à-vis the U.S. natural gas delivery system and the burden to respondents. The list of needed respondents to Schedule B would be determined at the time the Schedule is activated in response to a natural gas supply disruption.
EIA-857 Survey Universe and Response Statistics. A sample of 380 from a universe of approximately 1,300 companies delivering natural gas to consumers including local distribution companies, interstate pipelines, and intrastate pipelines report on the survey for 2008. The sample was selected independently for each of the 50 States and the District of Columbia. Each selected company is required to complete and file the Form EIA‑857 on a monthly basis. Initial response statistics on a monthly basis for recent months show that approximately 98 percent of responses are received and processed by the date the aggregate data tables for the Natural Gas Monthly are first released for publication. Data for non‑respondents are estimated.
EIA-912 Survey Universe and Response Statistics. The sample for the EIA-912 is drawn from the list of 120 respondents to Form EIA-191, "Monthly Underground Natural Gas Storage Report" for the purpose of preparing estimates of natural gas working volumes in underground storage facilities in each of three regions. The Form EIA-191 is completed by all operators of underground natural gas storage fields in the United States. Approximately 70 of the 120 underground natural gas storage operators are in the EIA-912 sample. Weekly response to the EIA-912 is 97 to 100 percent.
Sample Universe. The sample currently in use was selected from a universe of approximately 1,500 respondents to the Form EIA‑176, “Annual Report of Natural and Supplemental Gas Supply and Disposition,” for reporting year 2006.
Sampling Plan. The goal was a sample that would provide estimates of monthly natural gas consumption by the three consuming sectors within each State and the District of Columbia. A stratified sample using a single stage and systematic selection with probability proportional to size was designed. The measure of size was the volume of natural gas delivered in the State to the three consuming sectors by the company during 2006. There were two strata‑‑companies selected with certainty and companies selected under the systematic probability proportional to size design.
Initial calculations showed that a 25 percent sample of companies would yield estimates with a coefficient of variation within 5 percent. The sample was selected independently in each State, resulting in a national total of 382 companies.
Certainty Stratum. Since estimates were needed for each of the 50 States and the District of Columbia, the strata were established independently within each State. In 16 States and the District of Columbia where sampling was not feasible due to small numbers of companies and/or small volumes of gas sales, all companies were selected. The 16 States were: Alaska, Connecticut, Delaware, Hawaii, Idaho, Maine, New Hampshire, New Jersey, Nevada, North Dakota, Oregon, Rhode Island, South Dakota, Utah, Vermont, and Washington.
For each of the remaining States, the total volumes of industrial sales and deliveries and of the combined residential/commercial sales were determined. Companies with gas sales/deliveries to the industrial sector or to the combined residential/commercial sector above a certain level, C..j (as computed below) were selected with certainty. This procedure ensured that large companies would be included since a few large companies often account for most of the volume of gas sales within a State. The formula for determining certainty was applied independently in the two consumer sectors‑‑the industrial and the combined residential/commercial. These selected companies, together with the companies in the jurisdictions discussed where sampling was not feasible, formed the certainty stratum.
All companies with gas sales/deliveries in sector j greater than the cut‑off value (C.j) were included in the certainty stratum. The formula for C.j was:
where:
C.j = cutoff value for consumer sector j,
n = target sample size to be selected for the State, 25 percent of the companies in the State,
Xij = the annual volume of natural gas deliveries by company i to customers in consumer sector j,
Xi. = the sum within State of annual gas volumes for company i,
X.j = the sum within State of annual gas volumes in consumer sector j,
X.. = the sum within State of annual gas volumes in all consumer sectors.
Noncertainty Stratum. All other companies formed the noncertainty stratum. They were systematically sampled with probability proportional to size. The measure of size for each company was the total volume of gas sales to all consumer sectors (Xi.). The number of companies to be selected from the noncertainty stratum was calculated for each State, with a minimum of 2.
The formula for selecting the number of noncertainty stratum companies was:
m = n * X2
X..
where:
m = the sample size for the noncertainty stratum within a State,
X2 = the sum within State of the Xi for all companies in the noncertainty stratum.
Companies
were listed in descending order according to their measure of size
and then a cumulative measure of size in the stratum was calculated
for each company. The cumulative measure of size was the sum of the
measures of size for that company and all preceding companies on the
list. An interval (I) for selecting the companies systematically was
calculated (
). A uniform random number R was selected between zero and I. The
first sampled company was the first company on the list to have a
cumulative measure of size greater than R. The second company
selected was the first company on the list to have a cumulative
measure of size greater than R + I. R + I was increased again by I
to determine the third company to be selected. This procedure was
repeated until the entire sample was drawn.
Subgroups. In four States, the noncertainty stratum was divided into subgroups to ensure that gas in each consumer sector could be estimated. The systematic sample with probability proportional to size design described above was applied independently in each subgroup. The methods for determining the subgroup sample size and calculating the subgroup interval for sample selection were the same as the methods described above for the noncertainty stratum, except that X2 was the sum within State of the Xi. for only those companies in the subgroup.
These subgroups were defined only for the purpose of sample selection. They are:
Kansas, Louisiana, and Texas: Companies delivering gas only to industrial consumers and all other companies.
Pennsylvania: Companies having some deliveries of gas to industrial consumers and all other companies
Estimates of Volumes. A ratio estimator is applied to the volumes reported in each State by the sampled companies to estimate the total gas deliveries for the State. Ratio estimators are calculated for each consumer sector‑‑residential, commercial, and industrial‑‑in each State where companies are sampled. In the following formula, the annual data are taken from the most recent submissions for Form EIA-176.
The formula for calculating the ratio estimator (Evj) for the volume of gas in consumer sector j is:
Y.j
Evj = ___
Y'.j
where for each of the three sectors, j:
Y.j = the sum within State of annual gas volumes in consumer sector j for all companies,
Y'.j = the sum within State of annual gas volumes in consumer sector j for those companies in the sample.
The ratio estimator is applied as follows:
Vj = y.j × Evj
where:
Vj = the State estimate of monthly gas volumes in consumer sector j,
y.j = the sum within State of reported monthly gas volumes in consumer sector j.
Computation of Natural Gas Prices. The natural gas volumes that are included in the computation of prices represent only those volumes associated with natural gas sales.
The price of natural gas for a State within a sector is calculated as follows:
Rj
Pj = ___
Vj
where:
Pj = the average price of gas sales within a State in consumer sector j,
R.j= the reported revenue from natural gas sales within the State in consumer sector j,
Vj = the reported volume of natural gas sales within the State in consumer sector j.
All average prices are weighted by their corresponding sales volume estimates when national average prices are computed.
Estimation for Nonrespondents and Edit Failures. A volume for each delivered and transported consumer category is imputed for companies that fail to respond in time for inclusion in the published estimates (unit nonresponse) or for which reported volumes have failed the edit and not been confirmed or corrected (item nonresponse). In both instances, the imputation is carried out in the same way.
The imputed volumes are derived through a two-part procedure:
(1) Prediction of monthly volumes for the total commercial, industrial, and residential sectors within Census Division. Census Division refers to the nine divisions into which the U.S. Bureau of the Census groups the 50 States and the District of Columbia for reporting and analysis purposes. Alaska and Hawaii, members of the Pacific Division, are handled separately from other States in that division.
Sector volume includes both sales and transportation components.
For the commercial and residential sectors, the predicted division volume for a month depends on the heating degree days reported by the National Oceanic and Atmospheric Administration (NOAA) for that month within the Census Division. It also depends on an adjustment for the particular month being predicted.
The formula for the predicted division volume in the commercial and residential sectors is
where:
=
the predicted jth
division volume in month t,
b0 = an intercept term,
hj = the coefficient for the jth Census Division heating degree days,
Hjt = the jth Census Division heating degree days for the tth month being imputed,
dt = the coefficient for the tth monthly dummy variable Dt, and,
Dt = a dummy variable with value = 1 if the tth month is imputed and 0 otherwise—with one exception. In December, all the dummy variables are equal to 0 and there is no coefficient.
For the industrial sector, the predicted division volume for a month depends on the prior month’s division volume. The formula for the predicted division volume in the industrial sector is
where:
=
the predicted total industrial sector volume for the jth
Census Division in month t,
b0 = an intercept term,
bj = the coefficient for the industrial sector volume in the jth Census Division, and
Xj,t-1 = the total industrial sector volume in the jth Census Division for the month prior to t.
The coefficients are estimated via ordinary least squares multiple linear regression. The source is a database of monthly sector volumes for the five years ending December 31 of the immediately prior calendar year.
(2) Allocating the monthly sector volume for a particular respondent based on the respondent’s share of that sector volume in the latest Form EIA-176 survey.
Once the predicted division volume for a sector is obtained, it is multiplied by an allocation factor to obtain the imputed sector volume for a respondent. The allocation factor is the ratio of that respondent’s sector volume to the total of all such sector volumes as reported in the latest Form EIA-176 survey.
The formula for allocating is
where:
Ijtk = the imputed monthly sector volume for the kth nonresponse case in Census Division j for month t,
=
the predicted monthly sector volume in Census Division j for month t,
vjk = nonrespondent k’s reported sector volume for Census Division j in the latest Form EIA-176 survey, and
Vj = the total reported sector volume for all respondents for Census Division j in the latest Form EIA-176 survey.
Estimation of Revenue. The company’s previous month’s sector-specific price is multiplied by the corresponding sales volume to impute revenue for that sector.
Adjusting Monthly Data to Annual Data. After the annual data reported on the Form EIA‑176 have been submitted, edited, and prepared for publication in the Natural Gas Annual, revisions are made to monthly data. The revisions are made to the volumes and prices of natural gas delivered to consumers that have appeared in the Natural Gas Monthly to match them to the annual values appearing in the Natural Gas Annual. The revised monthly estimates allocate the difference between the sum of monthly estimates and the annual reports according to the distribution of the estimated values across the months.
Before the final revisions are made, changes or additions to submitted data received after publication of the monthly estimate and not sufficiently large to require a revision to be published in the Natural Gas Monthly, are used to derive an updated estimate of monthly consumption and revenues for each State's residential, commercial, or industrial natural gas consumption.
For each State and sector, two numbers were revised, the estimated consumption and the estimated price per thousand cubic feet.
The formula for revising the estimated consumption is:
Vja
V*jm = Vjm (____)
V'jm
where:
V*jm = the final volume estimate for month m in consumer sector j,
Vjm = the estimated volume for month m in consumer sector j,
Vja = the volume for the year reported on Form EIA‑176 in consumer sector j,
V'jm = the annual sum of estimated monthly volumes.
The price is calculated as described above in the Estimation Procedures section, using the final revised consumption estimate and a revised revenue estimate.
The formula for revising the estimated revenue is:
Rja
R*jm = Rjm (_____)
R'jm
where:
R*jm = the final revenue estimate for month m in consumer sector j,
Rjm = the estimated revenue for month m in consumer sector j,
Rja = the revenue for the year reported on Form EIA‑176,
R'jm = the annual sum of estimated monthly revenues.
Revision of Volumes and Prices for Deliveries to Electric Power Sector. Revisions to monthly deliveries to the electric power sector are published throughout the year as they become available.
The monthly data published are subject to two sources of error ‑ nonsampling error and sampling error. Nonsampling errors occur in the collection and processing of the data.
Sampling error may be defined as the difference between the results obtained from a sample and the results that a complete enumeration would provide. The standard error statistic is a measurement of sampling error.
Standard Errors. A standard error of an estimate is a statistical measure that indicates how the estimate from the sample compares to the result from a complete enumeration. Standard errors are calculated based on the theory that refers to all possible samples of the same size and design.
Ninety‑five percent of the time, the volume that would have been obtained from a complete enumeration will lie in the range between the estimated volume minus two standard errors and the estimated volume plus two standard errors.
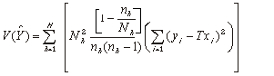
The standard error of the natural gas volume estimate is the square root of the variance of the estimate. The formula for calculating the variance of the volume estimate is:
where:
H = the total number of strata,
Nh = the total number of companies in stratum h,
nh = the sample size in stratum h,
yi = the reported monthly volume for company i,
xi = the reported annual volume for company i,
T = the ratio of the sum of the reported monthly volumes for sample companies to the sum of the reported annual volumes for the sample companies.
Estimates of Volumes. A ratio estimator is applied to the volumes reported in each State by the sampled companies to estimate the total gas sales and deliveries for the State. Ratio estimators are calculated for each consumer sector‑‑residential, commercial, and industrial‑‑in each State where companies are sampled.
The formula for calculating the ratio estimator (Evj) for the volume of gas in consumer sector j is:
Y.j
Evj = ___
Y'.j
where for each of the three sectors, j:
Y.j = the sum within State of annual gas volumes in consumer sector j for all companies,
Y'.j = the sum within State of annual gas volumes in consumer sector j for those companies in the sample.
The ratio estimator is applied as follows:
Vj = y.j X Evj
where:
Vj = the State estimate of monthly gas volumes in consumer sector j,
y.j = the sum within State of reported monthly gas volumes in consumer sector j.
Computation of Natural Gas Prices. The natural gas volumes that are included in the computation of prices represent only those volumes associated with natural gas sales.
The price of natural gas for a State within a sector is calculated as follows:
Rj
Pj = ___
Vj
where:
Pj = the average price of gas sales within a State in consumer sector j,
R.j= the reported revenue from natural gas sales within the State in consumer sector j,
Vj = the sum within a State of reported natural gas sales volumes in consumer sector j.
All average prices are weighted by their corresponding sales volume estimates when national average prices are computed.
The monthly average prices of natural gas are based on sales data only. Volumes of gas delivered for the account of others to these consumer sectors are not included in the State or national average prices.
Estimation for Nonrespondents and Edit Failures. A volume for each delivered and transported consumer category is imputed for companies that fail to respond in time for inclusion in the published estimates (unit nonresponse) or for which reported volumes have failed the edit and not been confirmed or corrected (item nonresponse). In both instances, the imputation is carried out in the same way.
The imputed volumes are derived through a two part procedure:
(1) Prediction of monthly volumes for the total commercial, industrial, and residential sectors within Census Division. Census Division refers to the nine divisions into which the U.S. Bureau of the Census groups the fifty states and the District of Columbia for reporting and analysis purposes. Alaska and Hawaii, members of the Pacific Division, are handled separately from other states in that division.
Sector volume includes both sales and transportation components.
For the commercial and residential sectors, the predicted division volume for a month depends on the heating degree days reported by the National Oceanic and Atmospheric Administration (NOAA) for that month within the Census Division. It also depends on an adjustment for the particular month being predicted.
The formula for the predicted division volume in the commercial and residential sectors is
where:
is
the predicted jth
division volume in month t,
b0 is an intercept term,
hj is the coefficient for the jth Census division heating degree days,
Hjt is the jth Census Division heating degree days for the tth month being imputed,
dt is the coefficient for the tth monthly dummy variable Dt, and,
Dt is a dummy variable with value = 1 if the tth month is imputed and 0 otherwise—with one exception. In December, all the dummy variables are equal to 0 and there is no coefficient.
For the industrial sector, the predicted division volume for a month depends on the prior month’s division volume. The formula for the predicted division volume in the industrial sector is
where:
is
the predicted total industrial sector volume for the jth
Census division in month t,
b0 is an intercept term,
bj is the coefficient for the industrial sector volume in the jth Census division, and
Xj,t-1 is the total industrial sector volume in the jth Census division for the month prior to t.
The coefficients are estimated via ordinary least squares multiple linear regression. The source is a database of monthly sector volumes for the five years ending December 31 of the immediately prior calendar year. Coefficient estimation is restricted to companies reporting continuously during the five years.
(2) Allocating the monthly sector volume for a particular respondent based on the respondent’s share of that sector volume in the latest Form EIA-176 survey.
Once the predicted division volume for a sector is obtained, it is multiplied by an allocation factor to obtain the imputed sector volume for a respondent. The allocation factor is the ratio of that respondent’s sector volume to the total of all such sector volumes as reported in the latest Form EIA-176 survey.
The formula for allocating is
where:
Ijtk is the imputed monthly sector volume for the kth nonresponse case in Census Division j for month t,
is
the predicted monthly sector volume in Census Division j for month t,
vjk is nonrespondent k’s reported sector volume for Census Division j in the latest Form EIA-176 survey, and
Vj is the total reported sector volume for all respondents for Census Division j in the latest Form EIA-176 survey.
Estimation of Revenue. The company’s previous month’s sector-specific price is multiplied by the corresponding sales volume to impute revenue for that sector.
A volume for each consumer category is imputed for companies that fail to respond. The imputation is based on the previous month's value reported by the nonresponding company and the change from the previous month to the current month in volumes reported by other companies in the State. The imputed volumes are included in the State totals.
The formula for imputing total sales and deliveries of gas for nonrespondents was:
y.jt
Ft = Ft‑1 X _____
y.jt‑1
where:
Ft = imputed gas volume for current month t,
Ft‑1 = gas volume for the company for the previous month,
y.jt = gas volume reported by companies in the State stratum for report month t,
y.jtt‑1 = gas volume in the previous month for companies in the State stratum that reported in month t.
Adjusting Monthly Data to Annual Data. After the annual data reported on the Form EIA‑176 have been submitted, edited, and prepared for publication in the Natural Gas Annual, revisions are made to monthly data. The revisions are made to the volumes and prices of natural gas delivered to consumers that have appeared in the Natural Gas Monthly to match them to the annual values appearing in the Natural Gas Annual. The revised monthly estimates allocate the difference between the sum of monthly estimates and the annual reports according to the distribution of the estimated values across the months.
Before the final revisions are made, changes or additions to submitted data received after publication of the monthly estimate and not sufficiently large to require a revision to be published in the Natural Gas Monthly, are used to derive an updated estimate of monthly consumption and revenues for each State's residential, commercial, or industrial natural gas consumption.
For each State and sector, two numbers were revised, the estimated consumption and the estimated price per thousand cubic feet.
The formula for revising the estimated consumption is:
Vja
V*jm = Vjm (____)
V'jm
where:
V*jm = the final volume estimate for month m in consumer sector j,
Vjm = the estimated volume for month m in consumer sector j,
Vja = the volume for the year reported on Form EIA‑176 in consumer sector j,
V'jm = the annual sum of estimated monthly volumes.
The price is calculated as described above in the Estimation Procedures section, using the final revised consumption estimate and a revised revenue estimate.
The formula for revising the estimated revenue is:
Rja
R*jm = Rjm (_____)
R'jm
where:
R*jm = the final revenue estimate for month m in consumer sector j,
Rjm = the estimated revenue for month m in consumer sector j,
Rja = the revenue for the year reported on Form EIA‑176,
R'jm = the annual sum of estimated monthly revenues.
Revision of Volumes and Prices for Deliveries to Electric Utilities. Revisions to monthly electric utilities data are published throughout the year as they become available.
The monthly data published are subject to two sources of error ‑ nonsampling error and sampling error. Nonsampling errors occur in the collection and processing of the data.
Sampling error may be defined as the difference between the results obtained from a sample and the results that a complete enumeration would provide. The standard error statistic is a measurement of sampling error.
Standard Errors. A standard error of an estimate is a statistical measure that indicates how the estimate from the sample compares to the result from a complete enumeration. Standard errors are calculated based on the theory that refers to all possible samples of the same size and design.
Ninety‑five percent of the time, the volume that would have been obtained from a complete enumeration will lie in the range between the estimated volume minus two standard errors and the estimated volume plus two standard errors.
The standard error of the natural gas volume estimate is the square root of the variance of the estimate. The formula for calculating the variance of the volume estimate is:
where:
H = the total number of strata,
Nh = the total number of companies in stratum h,
nh = the sample size in stratum h,
yi = the reported monthly volume for company i,
xi = the reported annual volume for company I,
T = the ratio of the sum of the reported monthly volumes for sample companies to the sum of the reported annual volumes for the sample companies.
a. Form EIA-912, “Weekly Underground Natural Gas Storage Report,” Sample Design
The EIA prepares weekly estimates of working gas in storage using the methodology described below. The overall approach is to collect weekly survey data from a sample of operators of underground storage facilities and to prepare regional and national estimates based on the relationship between the weekly sample and the larger universe of storage operators reporting to EIA on the Form EIA-191, an existing monthly survey of the same population. The following describes the weekly survey form and survey processing procedures, the methodology for sample selection and estimation, and procedures relating to revisions and data security.
Survey and Survey Processing
The goal of the program is to provide weekly estimates of the level of working gas in underground storage for the Lower 48 States and three regions. The total volume of natural gas in underground storage reservoirs is classified as either base gas or working gas. Underground storage facilities may be reservoirs in depleted oil and gas fields, aquifers, or salt caverns.
The Form EIA-912 requests reports of the volumes of working gas in storage as of 9 a.m. Friday of the previous week from a sample of underground natural gas storage operators. Respondents are asked to provide data representing working gas in storage fields their company operates in each of three regions of the United States. The three EIA storage regions are composed of the states below:
Producing Region: Texas, Louisiana, Kansas, Oklahoma, New Mexico, Arkansas, Mississippi, and Alabama;
East Region: Connecticut, Delaware, District of Columbia, Florida, Georgia, Iowa, Illinois, Indiana, Kentucky, Massachusetts, Maryland, Maine, Michigan, Missouri, North Carolina, Nebraska, New Hampshire, New Jersey, New York, Ohio, Pennsylvania, Rhode Island, South Carolina, Tennessee, Vermont, Virginia, Wisconsin, and West Virginia; and
West Region: Arizona, California, Colorado, Idaho, Minnesota, Montana, Nevada, North Dakota, Oregon, South Dakota, Washington, Wyoming, and Utah.
Respondents are also instructed to submit revisions to data for previous weeks if those revisions were greater than 500 million cubic feet and to include notes explaining any unusual activity. Examples of unusual activity might include reclassification of working and base gas or changes in ownership or operation of storage fields.
EIA employs a number of editing processes to ensure that the data collected each week are accurate. For example, current week's data are compared with data reports for the previous week, to data reports from companies with facilities that are similar in size and type, and to compilations of the monthly data reports for the company's fields on the EIA monthly storage form, EIA-191. EIA also employs secondary source information such as weather data and stock or net change predictions in evaluating the validity of reported data. Companies with responses outside the edit bounds or with notes about special issues are contacted by survey personnel for confirmation or correction. An explanation will be obtained and accommodated in the estimation process, if necessary.
Sampling and Estimation
The sample for the EIA-912 is drawn from the list of respondents to Form EIA-191, "Monthly Underground Natural Gas Storage Report," for the purpose of preparing estimates of natural gas in underground storage facilities in each of three regions. The Form EIA-191 is completed by all operators of underground natural gas storage fields in the United States. Approximately 120 underground natural gas storage operators report on Form EIA-191 for their operations at approximately 399 storage fields. To prepare the sampling frame for the EIA-912 for each region, reported volumes of working gas in storage as reported on the Form EIA-191 are aggregated by storage operator and region.
For each region, two strata are formed: a certainty stratum from which all operators are selected and a noncertainty stratum from which other operators are selected with probability proportional to size. A special stratification is performed to distinguish salt and non-salt fields for the Producing Region. Companies that operate at least one salt cavern field are designated salt companies if salt cavern operations constitute the majority of working gas storage volumes. A rigorous statistical analysis of monthly storage data from the EIA-191 examined the hypothesis that working gas stock patterns differ for salt and non-salt companies. The results verified that the salt companies have different patterns of working gas in storage than the non-salt companies. Given the relatively small number of salt fields in the East and West Regions and that salt cavern operators constitute a significant proportion of working gas volumes in the Producing Region, the stratification is limited to the Producing Region. The certainty stratum consists of the larger operators in the region as well as all operators with storage fields in more than one region. The probability of selection for members of the noncertainty stratum is proportional to their working gas volume based on the EIA-191 data. A stratified sample of companies is selected from the list of operators to achieve a target standard error of the estimate of working gas in storage that is no greater than 5 percent of the estimate for each region. The current sample of 70 respondents accounts for more than 90 percent of the average reported working gas in storage in each region.
The sample is planned to be reselected regularly with the new sample selected based on the working gas volumes submitted on Form EIA-191. Companies in the certainty stratum, because of their large size, may be expected to continue to qualify as certainty companies, but will be re-examined to determine if they still qualify for inclusion in the certainty stratum. Companies not qualifying for inclusion in the certainty stratum will be considered for sampling in the noncertainty stratum. Those selected from the noncertainty groups are subject to change during sample reselection.
The method of estimation uses both a 12-month moving average of working gas volumes (based on the latest published EIA-191 monthly data), and the latest EIA-912 weekly data. The trends exhibited by the data from the weekly sample group are used to estimate the latest weekly values for the storage operators not reporting on the EIA-912. Each individual company outside the weekly sample is considered based on its own past history in the monthly data from the EIA-191 survey and the weekly behavior of sampled companies within the same stratum. These company-level weekly estimates of working gas stocks for the reporting and non-reporting operators are summed to form the weekly estimated total for each of the four noncertainty strata.
More
specifically, for each company in the EIA-191 frame, 12-month
equal-weighted moving averages and corresponding standard deviations
and coefficients of seasonal variation are computed as described
below. For each weekly reporting company i,
we calculate a company-level ratio,
,
of the weekly stock volume reported in the EIA-912 for week t
(
)
to the most recent available 12-month moving average of reported
monthly stock volumes.
,
where
,
and T
represents the reference month for the most recent available monthly
stock volume
reported by company
.
(Usually month T
is 2 or 3 months prior to the month that includes week t.)
For each sampling stratum k,
let
represent the median value of
for all weekly-reporting companies
in the stratum. In addition to the mean (
),
the standard deviation across months (
)
and a coefficient of seasonal variation (
)
are calculated for
:
,
and
.
Let j denote a company in stratum k that is not in the weekly-reporting sample, and let
.
We compute
and
as described above for the weekly-reporting units. Let
denote the median of the
for weekly-reporting companies in stratum k.
The volume of natural gas stored by company j
in week t
is estimated as
,
where
,
a factor representing the seasonal pattern of company j
relative to that of weekly-reporting companies in stratum k.
The
company-level estimation equation captures the seasonal variation of
a specific company relative to that of weekly-reporting companies in
its stratum. The generality of the estimation equation makes it
quite flexible and capable of representing a wide variety of
possibilities. For example, if a given company has no variation over
the previous 12 months for which data are available, so that
,
the estimation equation implies that the latest weekly volume is
equal to the 12-month moving average (
).
If the company’s variation matches the median pattern of its
stratum, then
,
and the estimation equation implies that the latest weekly volume is
equal to the strict moving average estimator (
).
EIA estimates current working gas inventory for a region as the sum of two total components: the total volume of the reporting companies and the total of the estimated volumes for companies not reporting on the weekly (the Producing-Salt and Producing-Nonsalt strata are combined to obtain the Producing region total). For each stratum k, the estimated volume of working gas stored in week t is computed as:
,
where
is the number of companies in stratum k,
and
is
the number of weekly-reporting companies. Estimates for the
Producing region are computed by adding the estimates from the
Producing Salt and Producing Nonsalt strata.
The estimate for the Lower 48 States is the sum of the estimates for the three regions.
The estimation technique is not model-based. However, specific 12-month moving averages and their associated coefficients of seasonal variation are updated with the most recent month’s data as the data become available. Additional adjustments to the working gas data will be incorporated on an ongoing basis as necessary. Some examples are discussed below.
Reclassification of base and working gas by a sample company: Occasionally, operators of storage fields decide to change the classification of some of the gas in the storage field from base gas to working gas or from working gas to base gas. Because the EIA-912 is a survey of working gas, this reclassification leads to an apparent change in the volume of available gas. A reclassification of significant size is handled by including the reclassified working gas volume in the data used for the calculations of the 12-month moving average and the coefficient of variation. When EIA observes such a change in classification, EIA notifies report users of this change in inventory levels with a note about the reclassification if the effect of the reclassification and other changes are 7 billion cubic feet or more.
Purchase or sale of storage field: The adjustments to the estimation system will vary depending on whether the company is in the sample company or non-sample company groups.
Startup or shutdown of a field: Field shutdowns are handled by simply eliminating the company’s record, in the case of a single-field company, or by removing the associated volume from the 12-month moving average for the appropriate company. In the case of a field startup, the moving average is based on the available information from the EIA-191 survey, so a complete 12-month average is not formed until a year’s worth of data is reported on the EIA-191. Field startups with working gas volumes exceeding a certain threshold level will become part of the EIA-912 sample.
Negative values: Although not a common occurrence, from time to time a company may report a negative working gas value, which may be caused by removal of base gas from storage in anticipation of sale or abandonment of a storage field or withdrawal from base gas at the end of the withdrawal season. When confirmed negative values are received for a field expected to be shut down, a value of zero is entered into the database. If the report is caused by temporary withdrawals from base gas, such as occurred toward the end of winter 2002-2003, EIA announces the occurrence and describes the adopted changes in estimation procedures at that time.
Weekly Report
The result of estimation for the most recent and current weeks, any revision to the estimates for the prior week, and historical data to use for comparisons are presented in the Weekly Natural Gas Storage Report, which will be posted at 10:30 a.m. on Thursday on the EIA web site at http://tonto.eia.doe.gov/oog/info/ngs/ngs.html except for certain weeks in which Federal Holidays occur.
For the Form EIA-757 (Schedule B), natural gas processing plant operators would be asked to submit summary information about their processing plant operations, internal and external plant constraints or damage, and expected time for recovery of plant operations. Data will be aggregated by region. EIA has an established procedure for both follow-up of non-respondents and for verification of data filed. Data will be reviewed and checked for mathematical consistency. EIA will apply appropriate statistical techniques to the processed data to estimate total processing plant capabilities, operating levels, and measures of plant damage and restoration schedule. EIA would publish aggregate information only. Company-specific data will be protected and not released to the public, as described in A10.
Revisions
Revisions may be presented for the most recent estimates of working gas in storage under a number of circumstances that occur after release of the estimates. These include:
I.
A respondent revises previously submitted data (respondents are
requested to submit revisions if the change is greater than 500
million cubic feet);
II. A respondent submits late
data for the week;
III. A respondent reports a change in
field operating status.
General EIA Weekly Natural Gas Storage Report (WNGSR) Revisions Policy. Revisions generally are disseminated in the WNGSR according to the established schedule and shall occur when the effect of reported changes is at least 7 billion cubic feet (Bcf) at either a regional or national level. If a revision is made, changes to all regions shall be recorded. Consequently, although all respondents' changes shall be entered into EIA's database for editing, imputation, and other analytic purposes, the changes shall only lead to a published revision when it is at least 7 Bcf. In the event of a cumulative revision of 10 Bcf or more at either a regional or national level, a special release of the WNGSR may occur as described below. The general policy was announced in a November 2002 Federal Register notice, a copy of which is available at http://www.eia.doe.gov/oss/WNGSR-Revision-Policy-Nov12-2002.pdf. Subsequently, EIA in early 2005 solicited via a Federal Register notice (70 FR 1426-28) public comment on possible modifications to the existing revision policy to allow certain releases on an unscheduled basis. The response to that solicitation resulted in the following policy that was announced in a Federal Register notice published on April 26, 2005.
EIA WNGSR Policy to Allow Unscheduled Release of Revisions. The unscheduled release of revisions to weekly estimates of working gas held in underground storage shall occur when the cumulative effect of data changes or corrections is at least 10 Bcf for the current or prior week. Revisions shall be disseminated on a Federal workday between 2:00 p.m. and 2:10 p.m. (Eastern Time) following notice of the pending release to the public between 1:00 p.m. and 1:10 p.m. (Eastern Time). If a revision is made, changes to all affected regions shall be recorded in the 2:00-2:10 p.m. release. Public notification will occur in a number of ways including a Web site notice of the impending release of revised data that will replace the current WNGSR, e-mail notification to selected media, and an e-mail notice that will be sent to all users of WNGSR data who have signed onto a free distribution service. There are two special circumstances related to handling certain data changes in the WNGSR. First, this unscheduled release policy will not apply to data changes resulting from changes in the estimation methodology or parameters because those changes will be announced in advance. Second, reclassification of gas (between working gas and base gas inventories) will be reported only in regularly-scheduled releases of the WNGSR. The policy for unscheduled releases of revisions was announced in April 2005 as a Federal Register notice (70 FR 21406-08), a copy of which is available at http://www.eia.doe.gov/oss/WNGSR-Unscheduled-Release-Policy-Final-April2005.pdf.
For the Form EIA-757, revisions will be included in the next release of the status report presenting aggregate information from Schedule B. A revised submission is required if actual or corrected data vary more than plus or minus four percent from the data previously reported.
Security
Several steps have been taken to assure protection and security of respondent data and estimates during data processing and report preparation. One example is that respondent data can be submitted using the secure file transfer (SFT) e-mail system to EIA. SFT is based on the secure hypertext transfer protocol (HTTPS), an industry standard method to send information over the web using a secure, encrypted process. All information is protected by 128-bit encryption to maintain the privacy and protection of transmitted data. See Section A10 for a discussion on protection of the data.
For the EIA-912, a number of additional actions regarding data security also have been taken. One example is the decision to operate the data processing and estimation system on computers that are not connected to the EIA network. When estimates are ready to be released on the EIA website, they are transferred to the EIA network on disks. This prevents unauthorized access of the estimates by hacking into the EIA system and it also prevents accidental early release of data.
To maximize response rates, forms are designed to be easily completed, and instructions are written to be clear, concise, and easily understood. Forms are mailed as early as possible to maximize the time that respondents have to complete the surveys. Also, the forms and instructions are available from EIA's internet site.
Survey nonrespondents are contacted by telephone to discuss the requirement to file and any problems or questions that are delaying filing. Follow-up letters regarding the failure to file may also be mailed to nonresponders.
Specific schedules are followed for telephone calls and letters to nonrespondents for the various surveys. Every effort is made to assist respondents in completing the survey and submitting them in a timely manner.
Form EIA-757 would be collected under EIA’s mandatory data collection authority. Response to EIA’s surveys is typically very high. To maximize response rates, the form was designed for ease of completion, and instructions are written in a clear and concise manner to make them easily understood. Potential respondents reviewed the form, which was modified based on respondent feedback. Schedule A forms would be mailed as early as possible to maximize the time that respondents have to complete the survey. It is expected that Schedule A will collect data no more frequently than once every three years unless there is a supply disruption. Also, the forms and instructions would be available from EIA's Internet site to replace any lost materials. Survey non-respondents are contacted by telephone to discuss the requirement to file and any problems or questions that are delaying filing. Follow-up letters regarding the failure to file may also be mailed to non-respondents. If necessary, non-respondents would be contacted by telephone calls and letters. Every effort would be made to assist respondents in completing the survey and submitting it in a timely manner.
The natural gas surveys are established continuing surveys. Modifications to all of the existing forms were made by the EIA staff in conjunction with discussions with industry representatives and consultations through the Federal Register notice discussed earlier. These actions served as a test of the availability of data and the clarity of instructions of the survey forms, as well as the proposed modifications.
B5. Forms Consultation
For additional information concerning the survey designs, please contact Barbara Mariner-Volpe at (202) 586-5878. For more information regarding the approval request, please contact Grace Sutherland at (202) 586-6264.
Appendix A
Natural Gas Program Package Forms and Instructions
The following forms and instructions are enclosed:
1) EIA‑176, “Annual Report of Natural and Supplemental Gas Supply and Disposition,”
2) EIA‑191, “Monthly and Annual Underground Natural Gas Storage Report,”
3) EIA-757, “Natural Gas Processing Plant Survey,”
3) EIA‑857, “Monthly Report of Natural Gas Purchases and Deliveries to Consumers,”
EIA‑895, “Monthly and Annual Quantity and Value of Natural Gas Production Report,”
EIA-910, “Monthly Natural Gas Marketers Survey,” and
EIA‑912, “Weekly Underground Natural Gas Storage Report.”
Sample Form EIA-176 e-mail notification:
Dear Respondent:
The Energy Information Administration (EIA) is conducting its annual mailing of Form EIA‑176, "Annual Report of Natural and Supplemental Gas Supply and Disposition," for report year 2007.
According to our records, you are the contact person responsible for submitting information for operations in the following company/state list:
Control ID Company for State
176xxxxxxx xxxxxxxxxxxxxxxxxxxx OPERATIONS IN xxxxxxxxx
If you are not the person who would be responsible for completing this form, please forward the form to the appropriate person and provide EIA with the name and email address for the appropriate contact person.
Your company is required to file for the State(s) specified above and also for any other operations that meet the filing requirements outlined in the instructions. Response to Form EIA-176 is mandatory under Section 13(b) of the Federal Energy Administration Act of 1974 (FEA Act) (Public Law 93-275).
Form EIA-176 is available in three formats:
Electronic Filing System (EFS), a Windows-based application that can be installed on a personal computer (PC) offering respondents the ability to enter data interactively, import data from an external database, validate data online prior to submission, and transmit an encrypted data file to EIA electronically via the Internet.
spreadsheet (XLS) version that can also be installed on a PC.
hard copy form in a Portable Document Format (PDF).
All three options, along with instructions, can be downloaded from the EIA website http://www.eia.doe.gov/oil_gas/natural_gas/survey_forms/nat_survey_forms.html.
Many companies have filed Form EIA-176 submissions via EFS in past years and have found it to be a helpful, user-friendly, and convenient alternative. We strongly encourage you to try EFS this year if you have not done so in the past. Installation instructions can be found on the EIA website. A CD version of EFS is also available upon request. Please contact the Electronic Data Collection Support Staff at (202) 586‑9659, if you would like a CD mailed to you. The Electronic Data Collection Support Staff can help if you encounter an installation problem or have questions regarding EFS or the other reporting options.
Timely and accurate reporting is essential for EIA to accomplish its mission. Form EIA-176 is due to EIA no later than March 3, 2008. Completed forms may be submitted by email to OOG.SURVEYS@eia.doe.gov, faxed to (202) 586‑1076, or sent by U.S. mail as described in both the form and instructions. A request for an extension beyond the March 1, 2005, deadline should be submitted to OOG.SURVEYS@eia.doe.gov.
Estimates based on data collected through Form EIA-176 are published in many EIA products, including the Natural Gas Annual (NGA) and the Annual Energy Review (AER). Congress, Federal and State governments, and the private sector use this information for analysis of industry trends and for strategic planning purposes. EIA natural gas data products can be found on the EIA website at http://www.eia.doe.gov. Individual company data are available on-line through the EIA-176 Query System which can also be found on the EIA website after the release of the 2004 NGA.
Thank you in advance for your time and effort in completing Form EIA-176.
Call 1-877-800-5261 if you need assistance or have a question about completing Form EIA‑176.
Natural Gas Division
Office of Oil and Gas
Energy Information Administration
Sample Form EIA-191 e-mail notification:
January ?, 2008
Dear Respondent:
On behalf of the Energy Information Administration (EIA), thank you for your participation in the survey EIA-191, “Monthly and Annual Underground Gas Storage Report.”
Form EIA-191 collects information on the operations of all active underground natural gas storage facilities. Your company is required to file Form EIA-191 for the report year 2007 for all operations that meet the filing requirements outlined in the EIA-191 instructions. In addition, your firm is required to complete Form EIA-191, Part V, Annual Field Characteristics, each year for all active fields operated by your firm as of December 31, 2007. Response to Form EIA-191 is mandatory under Section 13(b) of the Federal Energy Administration Act of 1974 (FEA Act) (Public Law 93-275).
Form EIA-191 and instructions are available on the EIA website: http://www.eia.doe.gov/oil_gas/natural_gas/survey_forms/nat_survey_forms.html.
Timely and accurate reporting is essential for EIA to accomplish its mission. Monthly reports are due to the EIA no later than 20 days after the end of the reporting period. Your report for reference period January 2005, for example, is due to the EIA on or before February 20, 2008. Form EIA-191, Part V, Annual Field Characteristics, is to be submitted with your January 2008 report, and is also due on or before February 20, 2008. Annual Field Characteristics should reflect the state of operations as of December 31, 2005. If additional fields are acquired by your firm or storage activities begin in a new facility during the year, you are required to submit Form EIA-191, Part V, Annual Field Characteristics when initial activity occurs. Completed forms can either be submitted by e-mail to OOG.SURVEYS@eia.doe.gov, sent over the internet by secure file transfer, or faxed to (202) 586-1076.
EIA’s goal is to protect the confidentiality of company-level data; however, the FEA Act requires EIA to provide data to the Department of Justice and other Federal agencies upon request for official use. Information collected through any Government survey may be subject to a Freedom of Information (FOIA) request which allows for public release of data. Specific information related to confidentiality for Form EIA-191 can be found in the “Provisions Regarding Confidentiality Information” section of the EIA-191 instructions. Concerns regarding how the public release of your firm’s data reported on Form EIA-191 might compromise your competitive position should be addressed in writing to:
Director, Natural Gas Division
Energy Information Administration, EI-44
1000 Independence Avenue SW
Washington D.C. 20585
FAX: 202-586-4420
Estimates based on data collected through Form EIA-191 are published in many EIA products, including the Natural Gas Monthly (NGM) and the Monthly Energy Review (MER). Congress, Federal and State governments, and the private sector use this information for analysis of industry trends and for strategic planning purposes. EIA natural gas data products can be found on the EIA website at http://www.eia.doe.gov
If you have any questions regarding Form EIA-191, please call Sharon Belcher on (202) 586-6119.
Thank you again for your continued cooperation in our information gathering activities.
Sincerely,
Director, Natural Gas Division
Office of Oil and Gas
Energy Information Administration
Sample Form EIA-857 e-mail notification:
Dear Respondent:
The Energy Information Administration (EIA) has again selected your firm to report Form EIA-857, "Monthly Report of Natural Gas Purchases and Deliveries to Consumers," for report year 2008. Form EIA-857 collects data on the quantity and cost of natural gas purchases and deliveries. Companies selected to report Form EIA-857 provide a statistical representation of monthly natural gas distribution in the various States and the District of Columbia.
According to our records, you are the contact person for the following
company/state list:
Control ID Company for State
857XXXXX Company name for STATE
If you are no longer responsible for completing this form, please forward this letter to the appropriate person and provide EIA with the name and email address for the appropriate contact person.
The EIA-857 is a sample-based survey and your company was selected to represent similar companies within the above referenced report State(s). Your company is required to file for the State(s) specified above and for any other operations that meet the filing requirements outlined in the instructions. Response to Form EIA-857 is mandatory under Section 13(b) of the Federal Energy Administration Act of 1974 (FEA Act) (Public Law 93-275).
Form EIA-857, instructions, and Frequently Asked Questions are available on the EIA website: http://www.eia.doe.gov/oil_gas/natural_gas/survey_forms/nat_survey_forms.html.
Timely and accurate reporting is essential for EIA to accomplish its mission. Monthly reports are due to the EIA no later than 30 days after the end of the reporting period. For example, data for report month January 2005 is due on or before February 28, 2008. Completed forms can either be submitted by e-mail to OOG.SURVEYS@eia.doe.gov, sent over the Internet via secure file transfer, or faxed to (202) 586-1076.
EIA’s goal is to protect the confidentiality of company-level data; however, the FEA Act requires EIA to provide data to the Department of Justice and other Federal agencies upon request for official use. Information collected through any Government survey may be subject to a Freedom of Information (FOIA) request which allows for public release of data. Specific information related to confidentiality for Form EIA-857 can be found in the “Provisions Regarding Confidentiality Information” section of the EIA-857 instructions. Concerns regarding how the public release of your firm’s data reported on Form EIA-857 might compromise your competitive position should be addressed in writing to:
Director, Natural Gas Division
Energy Information Administration, EI-44
1000 Independence Avenue SW
Washington D.C. 20585
FAX: 202-586-4420
Estimates based on data collected through Form EIA-857 are published in many EIA products, including the Natural Gas Monthly (NGM) and the Monthly Energy Review (MER). Congress, Federal and State governments, and the private sector use this information for analysis of industry trends and for strategic planning purposes. EIA natural gas data products can be found on the EIA website at http://www.eia.doe.gov.
Thank you in advance for your continued time and effort in completing Form EIA-857.
Please call Amy Sweeney at (202) 586-2627 if you have any questions or need clarification regarding Form EIA-857.
Office of Oil and Gas
Energy Information Administration
Sample EIA-757 letter/e-mail notification for Schedule A:
EIA notifies survey respondents by e-mail of their obligation to file natural gas data collection forms. A sample e-mail notification message for the Form EIA-757, Schedule A is shown below.
Name
Company
Address
City, State, Zip Code
Dear Respondent:
Your plant or facility has been selected to participate in the Energy Information Administration’s (EIA) EIA-757, “Natural Gas Processing Plant Survey, “Baseline Report,” Schedule A.” This schedule is being used to collect information on plant characteristics, operations and operator contacts. Your response to this survey is essential for EIA to prepare accurate and timely information about natural gas processing plants.
The survey will be mandatory pursuant to the Federal Energy Administration (FEA) Act of 1974, Public Law 93-275, and will be protected and not disclosed to the public to the extent that it satisfies the criteria for exemption under the Freedom of Information Act (FOIA), 5 U.S.C. 522, the Department of Energy regulations, 10 C.F.R. §1004.11, implementing the FOIA, and the Trade Secrets Act, 18 U.S.C. §1905.
The Federal Energy Administration Act requires the EIA to provide company-specific data to other Federal agencies when requested for official use. The information reported on this form may also be made available, upon request, to another component of the Department of Energy; to any Committee of Congress, the Government Accountability Office, or other Federal agencies authorized by law to receive such information. A court of competent jurisdiction may obtain this information in response to an order. The information may be used for any non-statistical purposes such as administrative, regulatory, law enforcement, or adjudicatory purposes.
Disclosure limitation procedures are not applied to the statistical data published from this survey’s information. Thus, there may be some statistics that are based on data from fewer than three respondents, or that are dominated by data from one or two large respondents. In these cases, it may be possible for a knowledgeable person to estimate the information reported by a specific respondent.
You are required to report only for the facility identified in this letter. If you have received more than one letter identifying separate facilities, you must respond separately for each facility.
The survey will be conducted (specify frequency of reporting). Every completed form is due to EIA by XX pm on (specify reporting requirement). The completed form can be returned by: fax (202-586-xxxx) or email (#####@eia.doe.gov) or mail (list address) or telephone to (202-586-xxxx).
If you have any questions, or need assistance in completing the form, please contact Lejla Alic at 202-586-0858 or Lejla.Alic@eia.doe.gov. We appreciate your participation in this important energy information program.
Sincerely,
(Signature)
Energy Information Administration
Sample EIA-757 letter/e-mail notification:
Name
Company
Address
City, State, Zip Code
Dear Respondent:
Your plant or facility has been selected to participate in the Energy Information Administration’s (EIA) EIA-757, “Natural Gas Processing Plant Survey, “Emergency Status Report,” Schedule B.” This schedule is being used to collect information on the operating status of natural gas processing plants following EVENT X.
Your response to this survey is essential for EIA to prepare accurate and timely assessments of the amount of natural gas and liquids that has been affected by EVENT X. The survey will be mandatory pursuant to the Federal Energy Administration (FEA) Act of 1974, Public Law 93-275, and will be protected and not disclosed to the public to the extent that it satisfies the criteria for exemption under the Freedom of Information Act (FOIA), 5 U.S.C. 522, the Department of Energy regulations, 10 C.F.R. §1004.11, implementing the FOIA, and the Trade Secrets Act, 18 U.S.C. §1905.
The Federal Energy Administration Act requires the EIA to provide company-specific data to other Federal agencies when requested for official use. The information reported on this form may also be made available, upon request, to another component of the Department of Energy; to any Committee of Congress, the Government Accountability Office, or other Federal agencies authorized by law to receive such information. A court of competent jurisdiction may obtain this information in response to an order. The information may be used for any non-statistical purposes such as administrative, regulatory, law enforcement, or adjudicatory purposes.
Disclosure limitation procedures are not applied to the statistical data published from this survey’s information. Thus, there may be some statistics that are based on data from fewer than three respondents, or that are dominated by data from one or two large respondents. In these cases, it may be possible for a knowledgeable person to estimate the information reported by a specific respondent.
You are required to report only for the facility identified in this letter. If you have received more than one letter identifying separate facilities, you must respond separately for each facility.
The survey will be conducted (specify frequency of reporting). Every completed form is due to EIA by XX pm on (specify reporting requirement). The completed form can be returned by: fax (202-586-xxxx) or email (#####@eia.doe.gov) or telephone to (202-586-xxxx).
If you have any questions, or need assistance in completing the form, please contact Lejla Alic at 202-586-0858 or Lejla.Alic@eia.doe.gov. We appreciate your participation in this important energy information program.
Sincerely,
(Signature)
Energy Information Administration
| File Type | application/msword |
| Author | GS1 |
| Last Modified By | GS1 |
| File Modified | 2008-09-29 |
| File Created | 2008-09-29 |