MEC data collection form

Attachment 9 MEC data collection form 2010.doc

National Health and Nutrition Examination Survey (NHANES)

MEC data collection form

OMB: 0920-0237

Document [doc]
Download: doc | pdf

Attachment 9


Questionnaires and

MEC Data Collection Forms


OMB No. 0920-0237 (expires December 31, 2011)

Assurance of Confidentiality – All information which would permit identification of an individual, a practice, or an establishment will be held confidential, will be used only by NCHS staff, contractors, and agents only when required and with necessary controls, and will not be disclosed or released to other persons without the consent of the individual or establishment in accordance with section 308(d) of the Public Health Service Act (42 USC 242m) and the Confidential Information Protection and Statistical Efficiency Act (PL-107-347). By law, every employee as well as every agent has taken an oath and is subject to a jail term of up to five years, a fine of up to $250,000, or both if he or she willfully discloses ANY identifiable information about you.

NOTICE-Public reporting burden of this collection of information is estimated to average 2 hours per response, including the time for reviewing instructions, searching existing data sources, gathering and maintaining the data needed, and completing and reviewing the collection of information. An agency may not conduct or sponsor, and a person is not required to respond to a collection of information unless it displays a currently valid OMB control number. Send comments regarding this burden estimate or any other aspect of this collection of information, including suggestions for reducing this burden to CDC/ATSDR Reports Clearance Officer; 1600 Clifton Road, MS E-11, Atlanta, GA 30333. ATTN: PRA (0920-0237).

Questionnaire TABLE OF CONTENTS


Sections


pagEs

SCREENER QUESTIONNAIRE …………………………………………………………………..

4

SCREENER MODULE #1 (SCQ)…………………………………………………………………………..

5

FAMILY RELATIONSHIP QUESTIONNAIRE ……………………………………………….

30

SCREENER MODULE #2 (SFQ)…………………………………………………………………………...

31

SAMPLE PERSON QUESTIONNAIRE………………………………………………………….

41

RESPONDENT SELECTION (RIQ)………………………………………………………………………..

42

INTRODUCTION AND VERIFICATION (IVQ)…………………………………………………………….

47

EARLY CHILDHOOD (ECQ)………………………………………………………………………………..

50

HOSPITAL UTILIZATION AND ACCESS TO CARE (HUQ)…………………………………………….

53

IMMUNIZATION (IMQ)………………………………………………………………………………………

57

PHYSICAL FUNCTIONING (PFQ)…………………………………………………………………………

60

MEDICAL CONDITIONS (MCQ)……………………………………………………………………………

65

KIDNEY CONDITIONS (KIQ)……………………………………………………………………………….

80

DIABETES (DIQ)……………………………………………………………………………………………..

81

BLOOD PRESSURE (BPQ)…………………………………………………………………………………

92

CARDIOVASCULAR DISEASE (CDQ)…………………………………………………………………….

97

OSTEOPOROSIS (OSQ)……………………………………………………………………………………

99

RESPIRATORY HEALTH AND DISEASE (RDQ)………………………………………………………...

105

AUDIOMETRY (AUQ)………………………………………………………………………………………..

109

Dermatology (DEQ)…………………………………………………………………………………….

118

CHemosenses (CSQ) …………………………………………………………………………………..

121

ORAL HEALTH (OHQ)………………………………………………………………………………………

129

PHYSICAL ACTIVITY AND PHYSICAL FITNESS (PAQ)……………………………………………….

135

SLEEP DISORDERS (SLQ)…………………………………………………………………………………

143

Diet behavior &nutrition (DBQ)…………………………………………………………………

144

WEIGHT HISTORY (WHQ)………………………………………………………………………………….

160

SMOKING AND TOBACCO USE (SMQ)………………………………………………………………….

171

Coded occupation (OCQ)……………………………………………………………………………..

178

ACCULTURATION (ACQ)…………………………………………………………………………………..

196

Demographics (DMQ)…………………………………………………………………………………...

199

Health insurance (HIQ)………………………………………………………………………………..

215

Dietary supplements and antacids (DSQ)…………………………………………………….

221

mailing address (MAQ)…………………………………………………………………….................

260

Post interview………………………………………………………………………………………….

263

FAMILY QUESTIONNAIRE………………………………………………………………………….

264

Demographics (DMQ)…………………………………………………………………………………...

265

HOUSING CHARACTERISTICS (HOQ)…………………………………………………………………..

270

SMOKING (SMQ)…………………………………………………………………………………………….

271

CONSUMER BEHAVIOR (CBQ)……………………………………………………………………………

273

Income (INQ)……………………………………………………............................................................

276

Food Security (FSQ)……………………………………………………………………………………

290

TRACKING AND TRACING (TTQ)…………………………………………………………………………

297

MEC QUESTIONNAIRE - CAPI……………………………………………………………………

300

RESPONDENT SELECTION (RIQ)………………………………………………………………………..

301

Volatile Toxicant (VTQ)……………………………………………………………………………….

303

PESTICIDE USE (PUQ)……………………………………………………………………………………..

308

CURRENT HEALTH STATUS (HSQ)……………………………………………………………………...

309

DEPRESSION SCREEN (DPQ)…………………………………………………………………………….

313

TOBACCO (SMQ)……………………………………………………………………………………………

317

ALCOHOL USE (ALQ)……………………………………………………………………………………….

323

REPRODUCTIVE HEALTH (RHQ)…………………………………………………………………………

325

KIDNEY CONDITIONS (KIQ)……………………………………………………………………………….

344

PHYSICAL ACTIVITY AND PHYSICAL FITNESS (PAQ)……………………………………………….

347

WEIGHT HISTORY (WHQ)………………………………………………………………………………….

355

Creatine Kinase (CKQ) …………………………………………………………………………………

360

MEC Interview Critical Data Items (CDI)………………………………………………………..

362

MEC QUESTIONNAIRE – ACASI………………………………………………………………...

363

Introduction…………………………………………………………………………………………..…

364

Food security (FSQ)……………………………………………………………………………………

365

SMOKING (SMQ)…………………………………………………………………………………………….

367

ALCOHOL use (ALQ)……………………………………………………………………………………….

379

DRUG USE (DUQ)…………………………………………………………………………………………...

381

SEXUAL BEHAVIOR (SXQ)………………………………………………………………………………...

396

Pubertal Maturation (PMQ) ………………………………………………………………………..

431

SPECIAL FOLLOW-UP QUESTIONNAIRES…………………………………………………

453

HANES Hepatitis C Follow-Up Questionnaire (HCQ)………………………………………..

Validation Questionnaires………………………………………………………………

NHANES Vacant/not A DU (dwelling Unit) Validation………...……………………………

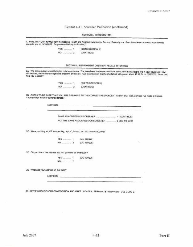
screener validation…………………………………………………………………..………………

SP validation…………………………………………………….………………………..………………


454

459

459

460

464


SCREENER QUESTIONNAIRE

SCREENER MODULE #1 (SCQ)



SCQ_INTR Hello, I’m {INTERVIEWER’S NAME} and we are conducting a survey for the Centers for Disease Control and Prevention (CDC).


SHOW ID CARD.


A letter was sent to you recently explaining a survey which is called the National Health and Nutrition Examination Survey and is about your family’s health.


IF RESIDENT DOES NOT REMEMBER LETTER, HAND NEW COPY.


All the information that you give us is voluntary and will be kept in the strictest confidence. Your name will not be attached to any of your answers without your specific permission.


HELP SCREEN:

Information will be collected under authority of Section 306 of the Public Health Service Act (42 USC 242k) with a guarantee of strict confidence. Federal law (Section 308(d) of the Public Health Service Act (42 USC 242m), the Privacy Act of 1974 (5 USC 552a) and the Confidential Information Protection Act http://aspe.hhs.gov/datacncl/privacy/titleV.pdf,) forbids us to release any information that identifies you or your family to anyone, for any purpose, without your consent. These laws carry stiff fines (up to $250,000) and a jail term if we violate your privacy. Public reporting burden for this collection of information is estimated to average 6.7 hours per response, including the time for reviewing instructions, searching existing data sources, gathering and maintaining the data needed, and completing and reviewing the collection of information. An agency may not conduct or sponsor, and a person is not required to respond to a collection of information unless it displays a currently valid OMB control number. Send comments regarding this burden estimate or any other aspect of this collection of information, including suggestions for reducing this burden to CDC/ATSDR Reports Clearance Officer; 1600 Clifton Road, MS D-74, Atlanta, GA 30333, ATTN: PRA (0920-0237).



SCQ.027 INTERVIEWER: IS THIS A DORMITORY ROOM?


YES 1

NO 2

DK 9

RF 7



SCQ.070a I would like to verify your address. Please give me your complete address.


{#} {DIRECTION} {STREET NAME} {STREET/ROAD/AVENUE} {DIRECTION} {#}

{PO BOX} {RURAL ROUTE #} {RURAL ROUTE BOX} {CITY} {STATE} { ZIP}


NO (WRONG ADDRESS) 1 (SCQ_END5)

YES (CORRECTIONS) 2 (SCQ.070b)

YES 3 (SCQ.090)



SCQ.070b I would like to verify your address. Please give me your complete address.

{ADDITIONAL ADDRESS LINE}

{#} {DIRECTION} {STREET NAME} {STREET/ROAD/AVENUE} {DIRECTION}

{UNIT/APT/BLDG} {UNIT #} {PO BOX} {RURAL ROUTE #} {RURAL ROUTE BOX}

{CITY} {STATE} { ZIP}-{ZIP-4}


CAPI INSTRUCTIONS: DISPLAY THE ADDRESS COLUMNS LISTED ABOVE AND ALLOW THE INTERVIEWER TO MAKE CORRECTIONS AS NEEDED. ONCE THE INTERVIEWER IS DONE, SHE WILL PRESS THE NEXT KEY TO CONTINUE.


THE FIELD FOR STATE MAY NOT BE UPDATED.


IF SCQ.070A = 2 AND NONE OF THE ADDRESS FIELDS ARE MODIFIED, AUTO-BACKCODE THE RESPONSE TO SCQ.070A = 3 (YES) AND GO TO SCQ.090.



SCQ.090 To begin, how many people live in this household? Please do not include anyone who usually lives somewhere else.


________

NUMBER


DK 99

RF 77



SCQ.130 What are the names of all of the persons living here? Start with the name of the person, or one of the persons, who owns or rents this home. (Please remember not to include anyone who usually lives somewhere else.)


PROBE: Any others?


______ _______
FIRST MIDDLE LAST SUFFIX GENDER


DK 9

RF 7


CAPI INSTRUCTIONS: WHEN THE FOCUS IS ON THE “GENDER” FIELD, DISPLAY:


ASK IF NOT OBVIOUS:

Is {NAME} male or female?


MALE 1

FEMALE 2

DK 9

RF 7


CAPI INSTRUCTIONS:

HARD EDIT: IF FOCUS IS SHIFTED FROM THE “GENDER” FIELD AND NO ENTRY HAS BEEN MADE FOR GENDER, DISPLAY THE FOLLOWING HARD EDIT:


“REQUIRED VALUE MISSING FOR GENDER IN ROW {ROW IN WHICH GENDER IS MISSING}. PLEASE ENTER A VALUE.”


SOFT EDIT: THE FIRST TIME DK OR RF IS ENTERED FOR GENDER, DISPLAY THE FOLLOWING:

“A MISSING VALUE HERE MAY RESULT IN INCONCLUSIVE SAMPLING. PLEASE RE-ENTER THE VALUE TO CONFIRM.”


ACCEPT THE SECOND ENTRY.


ENSURE THAT EACH NAME (COMBINATION OF FIRST, MIDDLE, LAST, SUFFIX) IS UNIQUE WITHIN THE HOUSEHOLD. IF A DUPLICATE NAME IS ENTERED, DISPLAY THE FOLLOWING HARD EDIT, “NAMES MUST BE UNIQUE. PERSONS # AND # HAVE IDENTICAL NAMES RECORDED. CORRECT THE ERROR TO CONTINUE.”



SCQ.145 I have {TOTAL # OF PERSONS ENUMERATED} {person/people} living here --


[READ NAMES LISTED BELOW.]


______ _______
FIRST MIDDLE LAST SUFFIX GENDER



SCQ.150

Have I missed . . .

SCQ.150 . . . any babies or small children?

SCQ.160 . . . any lodgers, boarders, or persons in your employ who live here?

SCQ.170 . . . anyone who usually lives here but is now away from home?

SCQ.180 . . . anyone else living or staying here?


YES 1 (SCQ.150N, 160N, 170N, 180N)

NO 2 (SCQ.190)

DK 9 (SCQ.190)

RF 7 (SCQ.190)


CAPI INSTRUCTIONS: THE SWEEP QUESTIONS (SCQ.150, 160, 170 AND 180) SHOULD BE DISPLAYED ON A SINGLE SCREEN. A "YES" RESPONSE TO A SWEEP QUESTION BRINGS UP THE HOUSEHOLD COMPOSITION MATRIX. BY CLICKING ON THE “INSERT ROW” BUTTON ON THIS SCREEN, A NEW ROW APPEARS FOR ENTRY OF NAME AND GENDER.


UPON EXITING THE NAME/GENDER SCREEN, THE CURSOR SHOULD RETURN TO THE SCREEN OF SWEEP QUESTIONS WITH THE CURSOR RESIDING ON THE NEXT LINE (QUESTION) THAT REQUIRES AN ANSWER.


IF ALL THE QUESTIONS HAVE BEEN ANSWERED, GO TO SCQ.190.


SCQ.150N [Have I missed any babies or small children?] (What are their names?)

PROBE: Is (he/she) a “Junior”, “Senior”, “the 3rd” or something like that? (What is that?)

PROBE: Any others?



______ _______
FIRST MIDDLE LAST SUFFIX GENDER


DK 9

RF 7




CAPI INSTRUCTIONS: IF THE FOCUS IS ON THE GENDER FIELD, DISPLAY:


ASK IF NOT OBVIOUS:

Is {NAME} male or female?

MALE 1

FEMALE 2

DK 9

RF 7



SCQ.160N [Have I missed any lodgers, boarders, or persons in your employ who live here?] (What are their names?)

PROBE: Any others?


______ _______
FIRST MIDDLE LAST SUFFIX GENDER


DK 9

RF 7


CAPI INSTRUCTIONS: IF THE FOCUS IS ON THE GENDER FIELD, DISPLAY:


ASK IF NOT OBVIOUS:

Is {NAME} male or female?

MALE 1

FEMALE 2

DK 9

RF 7



SCQ.170N [Have I missed anyone who usually lives here but is now away from home?] (What are their names?)

PROBE: Any others?


______ _______
FIRST MIDDLE LAST SUFFIX GENDER

DK 9

RF 7

CAPI INSTRUCTIONS: IF THE FOCUS IS ON THE GENDER FIELD, DISPLAY:


ASK IF NOT OBVIOUS:

Is {NAME} male or female?

MALE 1

FEMALE 2

DK 9

RF 7



SCQ.180N [Have I missed anyone else living or staying here?] (What are their names?)

PROBE: Any others?


______ _______
FIRST MIDDLE LAST SUFFIX GENDER

DK 9

RF 7

CAPI INSTRUCTIONS: IF THE FOCUS IS ON THE GENDER FIELD, DISPLAY:


ASK IF NOT OBVIOUS:

Is {NAME} male or female?

MALE 1

FEMALE 2

DK 9

RF 7



SCQ.190 [VERIFY HOUSEHOLD MEMBERS BY READING NAMES LISTED BELOW.]


______ _______
FIRST MIDDLE LAST SUFFIX GENDER


CAPI INSTRUCTIONS: THE APPLICATION SHOULD ALLOW THE INTERVIEWER TO ADD OR DELETE NAMES OR ROWS FROM THE HH COMPOSITION MATRIX, AS NECESSARY, BASED ON RESPONDENT’S CONFIRMATION OF THE PERSONS WHO HAVE BEEN ENUMERATED.



BOX 1


CHECK ITEM SCQ.191:

APPLY THE SAMPLING ALGORITHM. IF NO PERSON IN THE HOUSEHOLD IS “POTENTIALLY ELIGIBLE” FOR THE STUDY BASED ON SAMPLING MESSAGES FOR GENDER GO TO SCQ.430; ELSE


GO TO BOX 2.



BOX 2


CHECK ITEM SCQ.193:

IF SCQ.027 = YES (1), CODE SCQ.195 AS “DORM ROOM” (3) AND GO TO SCQ.220; ELSE


CONTINUE.






SCQ.195 Do {you/any of the persons in this household} have a home anywhere else?


STUDENTS LIVING AWAY AT SCHOOL ARE CONSIDERED TO HAVE A HOME SOMEWHERE ELSE.


YES 1 (SCQ.200)

NO 2 (SCQ.220)



SCQ.200 (Who is that?)


SELECT MEMBERS WITH HOME ELSEWHERE.


Name Other Home


CAPI INSTRUCTIONS: DISPLAY FIRST AND LAST NAMES OF ALL PERSONS LISTED ON THE HOUSEHOLD COMPOSITION MATRIX.


PROBE: Anyone else?



CAPI INSTRUCTIONS: THE DEFAULT FILL FOR THE “OTHER HOME” COLUMN IS “NO”. HOWEVER, THE DEFAULT CAN BE TOGGLED TO “YES” BY MOVING THE CURSOR TO THE “OTHER HOME” CELL ASSOCIATED WITH THE PERSON WHO HAS A SECOND RESIDENCE, AND SELECTING “YES”.


IF NONE OF THE “OTHER HOME” CELLS HAVE BEEN SET TO “YES”, DISPLAY THE FOLLOWING MESSAGE:

“NO ONE SELECTED WITH OTHER HOME, BACKCODING PREVIOUS RESPONSE.”


WHEN THE MESSAGE HAS BEEN CLEARED, AUTO-BACKCODE THE RESPONSE TO SCQ.195 TO “NO” AND PROCEED TO SCQ.220.



SCQ.210 Where {do you/does {NAME}} usually live and sleep; here or somewhere else?


Name Live Here


CAPI INSTRUCTIONS: DISPLAY “NAME” AND “LIVE HERE” COLUMNS. THE ANSWER CATEGORIES FOR THE LIVE HERE COLUMN ARE “HERE” (1), “SOMEWHERE ELSE” (2), “DK” (9), AND “RF” (7)

HERE 1

SOMEWHERE ELSE 2

DK 9

RF 7



CAPI INSTRUCTIONS: IF “1”, “9”, OR “7” IS SELECTED, LEAVE THE PERSON ON THE HH COMPOSITION MATRIX; ELSE


IF “2” IS SELECTED AND THIS IS A SINGLE PERSON HOUSEHOLD, OR IF “2” HAS BEEN SELECTED FOR ALL HOUSEHOLD MEMBERS, THE HOUSEHOLD IS “INELIGIBLE” AND THE SCREENER IS TERMINATED AFTER THE COLLECTION OF THE TELEPHONE NUMBER (SCQ.430); ELSE


IF “2” IS SELECTED FOR AT LEAST ONE PERSON AND THE HOUSEHOLD IS MORE THAN A SINGLE PERSON HOUSEHOLD AND “2” HAS NOT BEEN SELECTED FOR ALL MEMBERS OF THE HH, SET A FLAG TO INDICATE THIS PERSON’S PERMANENT RESIDENCE WAS SOMEWHERE ELSE.

THE FLAG IS AN INDICATION THAT ON ALL FUTURE DISPLAYS OF THE HH COMPOSITION MATRIX, THIS PERSON (AND ALL PERSON-LEVEL DATA) WILL NOT BE DISPLAYED.


IF THE REFERENCE PERSON IS NOT ELIGIBLE TO BE THE REFERENCE PERSON BASED ON WHERE S/HE USUALLY LIVES, IDENTIFICATION OF A NEW REFERENCE PERSON IS REQUIRED. RE-APPLY THE REFERENCE PERSON EDIT LOGIC TO IDENTIFY THE REFERENCE PERSON AS THE FIRST PERSON ON THE ENUMEARATION TABLE WHO IS > 18 YEARS OLD; ELSE


IF NO ONE ON THE ENUMBERATION TABLE IS AGE 18 OR OLDER, IDENTIFY THE REFERENCE PERSON AS THE OLDEST PERSON IN THE HOUSEHOLD FOR WHOM THIS IS THE PRIMARY RESIDENCE.



SCQ.220 Are {you/any of the persons in this household} now on full-time active duty with the Armed Forces of the United States?


YES 1 (SCQ.230)

NO 2 (SCQ.250)

DK 9 (SCQ.250)

RF 7 (SCQ.250)


CAPI INSTRUCTIONS: IF CODED “1” AND THIS IS A SINGLE PERSON HOUSEHOLD, OR IF ALL HOUSEHOLD MEMBERS ARE "1", THE HOUSEHOLD IS “INELIGIBLE” AND THE SCREENER IS TERMINATED AFTER THE COLLECTION OF THE TELEPHONE NUMBER (SCQ.430); ELSE


IF THE HOUSEHOLD IS MORE THAN A SINGLE PERSON HOUSEHOLD, THE SKIPS SHOULD BE FOLLOWED AS SPECIFIED ABOVE.



SCQ.230 Who is that?


Name Military


SELECT ACTIVE MILITARY MEMBERS.


CAPI INSTRUCTIONS: DISPLAY FIRST AND LAST NAMES OF ALL PERSONS LISTED ON THE HOUSEHOLD COMPOSITION MATRIX.


PROBE: Anyone else?


CAPI INSTRUCTIONS: THE CURSOR SHOULD RESIDE IN THE COLUMN “Military”. THE DEFAULT FILL FOR THIS COLUMN SHOULD BE “NO”. HOWEVER, WHEN ON THIS QUESTION, THE DEFAULT CAN BE TOGGLED TO “YES” BY MOVING THE CURSOR TO THE “Military” CELL ASSOCIATED WITH THE PERSON IDENTIFIED AND SELECTING “YES”. WHEN LEAVING THIS SCREEN, IF NONE OF THE “Military” CELLS HAVE BEEN SET TO “YES”, AUTO-BACKCODE THE RESPONSE TO SCQ.220 TO “NO” AND GO TO SCQ.250; ELSE


CONTINUE.



SCQ.240 Where {do you/does {NAME}} usually live and sleep; here or somewhere else?


HERE 1

SOMEWHERE ELSE 2

DK 9

RF 7



CAPI INSTRUCTIONS: IF “1”, “9”, OR “7” IS ENTERED, LEAVE PERSON ON HH COMPOSITION MATRIX; DO NOT FLAG FOR SAMPLING.


IF “2” IS ENTERED, SET A FLAG TO INDICATE PERSON’S PERMANENT RESIDENCE WAS SOMEWHERE ELSE. THE FLAG IS AN INDICATION THAT ON ALL FUTURE DISPLAYS OF THE HH COMPOSITION MATRIX, THIS PERSON (AND ALL PERSON-LEVEL DATA) WILL NOT BE DISPLAYED.


IN THE EVENT THAT THE PERSON BEING FLAGGED AS LIVING “SOMEWHERE ELSE” IS THE REFERENCE PERSON, IDENTIFICATION OF A NEW REFERENCE PERSON IS REQUIRED. RE-APPLY THE REFERENCE PERSON EDIT LOGIC TO IDENTIFY THE REFERENCE PERSON AS THE FIRST PERSON ON THE ENUMEARATION TABLE WHO IS > 18 YEARS OLD; ELSE


IF NO ONE ON THE ENUMERATION TABLE IS AGE 18 OR OLDER, IDENTIFY THE REFERENCE PERSON AS THE OLDEST PERSON IN THE HOUSEHOLD FOR WHOM THIS IS THE PRIMARY RESIDENCE.



SCQ.new#1 Has anyone who lives here ever served on active duty in the U.S. Armed Forces, military Reserves, or National Guard? {Do not include anyone you just told me about who is currently on active duty.}


YES 1 (SCQ.new#2)

NO 2 (SCQ.250)

DK 9 (SCQ.250)

RF 7 (SCQ.250)


HELP SCREEN:

Active duty does not include training for the Reserves or National Guard, but does include activation, for example, for service in the U.S. or in a foreign country in support of military or humanitarian operations.


CAPI INSTRUCTION: DISPLAY 3 ONLY IF SCQ.220 = 1.



SCQ.new#2 Who is that?


NAME EVER SERVED IN MILITARY


CAPI INSTRUCTIONS: DISPLAY FIRST AND LAST NAMES OF ALL PERSONS LISTED ON THE HOUSEHOLD COMPOSITION MATRIX.


PROBE: Anyone else?


CAPI INSTRUCTIONS: THE CURSOR SHOULD RESIDE IN THE COLUMN “EVER SERVED IN MILITARY”. THE DEFAULT FILL FOR THIS COLUMN SHOULD BE “NO”. HOWEVER, WHEN ON THIS QUESTION, THE DEFAULT CAN BE TOGGLED TO “YES” BY MOVING THE CURSOR TO THE “EVER SERVED IN MILITARY” CELL ASSOCIATED WITH THE PERSON IDENTIFIED AND SELECTING “YES”. WHEN LEAVING THIS SCREEN, IF NONE OF THE “EVER SERVED IN MILITARY” CELLS HAVE BEEN SET TO “YES”, AUTO-BACKCODE THE RESPONSE TO SCQ.NEW#1 TO “NO” AND GO TO SCQ.250.



SCQ250 THESE ARE THE MEMBERS OF THE DU WHO HAVE BEEN LISTED AS HH MEMBERS.


{NAME GENDER}




BOX 3


CHECK ITEM SCQ.255:

APPLY THE SAMPLING ALGORITHM. IF NO PERSON IN THE HOUSEHOLD IS “POTENTIALLY ELIGIBLE” FOR THE STUDY BASED ON SAMPLING MESSAGES FOR PLACE OF RESIDENCE, GO TO SCQ.430; ELSE


CONTINUE.



BOX 3A


CHECK ITEM SCQ.___:

ASK SCQ.260 FOR EACH PERSON ON HH ROSTER.



SCQ.260 [Do you/Does NAME] consider [yourself/himself/herself] to be Hispanic or Latino?


READ IF NECESSARY: Where do your ancestors come from?

Puerto Rican

Cuban/Cuban American

Dominican (Republic)

Mexican/Mexican American

Central/South American

Other Latin American

Other Hispanic or Latino


YES 1

NO 2

DK 9

RF 7


HELP SCREEN:

SPANISH, HISPANIC OR LATINO PEOPLE MAY BE OF ANY RACE. LISTED BELOW ARE HISPANIC OR LATINO CATEGORIES/COUNTRIES.


MEXICAN

PUERTO RICAN

CUBAN

DOMINICAN REPUBLIC

CENTRAL AMERICAN:

COSTA RICAN

GUATEMALAN

HONDURAN

NICARAGUAN

PANAMANIAN

SALVADORAN

OTHER CENTRAL AMERICAN

SOUTH AMERICAN:

ARGENTINEAN

BOLIVIAN

CHILEAN

COLOMBIAN

ECUADORIAN

PARAGUAYAN

PERUVIAN

URUGUAYAN

VENEZUELAN

OTHER SOUTH AMERICAN

OTHER HISPANIC OR LATINO:

SPANIARD

SPANISH

SPANISH AMERICAN



CAPI INSTRUCTIONS: DISPLAY THE FOLLOWING SOFT EDIT THE FIRST TIME A DK OR RF IS ENTERED:

“A missing value here may result in inconclusive sampling. Please re-enter the value to confirm.”


ACCEPT THE SECOND ENTRY.



SCQ.262 WARNING: REVIEW HISPANIC STATUS FOR EACH PERSON! SAMPLING ALGORITHM WILL BE APPLIED.


{NAME ETHNICITY}


CAPI INSTRUCTIONS: DISPLAY NAME AND ETHNICITY FOR EACH ENUMERATED PERSON AS DETERMINED AT SCQ.260. INTERVIEWER MAY BACK-UP TO CORRECT.



BOX 3B


CHECK ITEM SCQ.265:

CYCLE THROUGH SCQ.270 FOR EACH PERSON LISTED ON HH ROSTER.



SCQ.270 HAND CARD NEW #1


Please look at the categories on this card. What race or races do you consider {yourself/NAME} to be? Please select one or more.


CHECK ALL THAT APPLY.


AMERICAN INDIAN OR ALASKAN NATIVE 1

ASIAN 2

BLACK OR AFRICAN AMERICAN 3

NATIVE HAWAIIAN OR PACIFIC ISLANDER 4

WHITE 5

OTHER 6

DK 9

RF 7


CAPI INSTRUCTIONS: DISPLAY THE FOLLOWING SOFT EDIT THE FIRST TIME A DK OR RF IS ENTERED.

“A missing value here may result in inconclusive sampling. Please re-enter the value to confirm.”


ACCEPT THE SECOND ENTRY.



BOX 3C


CHECK ITEM SCQ.___:

ASK FOR NEXT PERSON. IF NO NEXT PERSON, CONTINUE WITH BOX 3D.



BOX 3D


CHECK ITEM SCQ.___:

CYCLE THROUGH BOX 3E THROUGH SCQ.NEW#3 FOR EACH PERSON ON HH ROSTER.



BOX 3E


CHECK ITEM __________:

CHECK SCQ.260 FOR EACH PERSON. IF PERSON LISTED AS NOT HISPANIC (CODE 2), CONTINUE.

OTHERWISE, SKIP TO BOX 3H.



BOX 3F


CHECK ITEM __________:

CHECK SCQ.270 – IF ANY PERSON’S RACE = CODE 6 (OTHER) AND DOES NOT = CODE 2 OR CODE 3 (ASIAN OR BLACK), CONTINUE.

OTHERWISE, SKIP TO BOX 3H.



BOX 3G


CHECK ITEM __________:

ASK QUESTION SCQ.NEW#3 FOR EACH PERSON ON HH ROSTER WHO MEET THE CRITERIA SPECIFIED IN BOXES 3E AND 3F (CODE 2 IN SCQ.260 AND CODE 6 ALONE OR WITH CODE 1, 4 OR 5 IN SCQ.270.



SCQ.new#3


Do any of the groups on this card represent your national origin or ancestry?


NEW HAND CARD #2


YES 1 (CONTINUE WITH CAPI

INSTRUCTION SCQ.NEW#4)

NO 2 (BOX 3H)



SCQ.new#4


CAPI INSTRUCTION: ADD CODE #2 (ASIAN) AS RACE IN SCQ.270.



BOX 3H


CHECK ITEM __________:

CYCLE THROUGH BOX 3D – SCQ.NEW#3 FOR NEXT PERSON. IF NO NEXT PERSON, CONTINUE.


WARNING! REVIEW RACE FOR EACH PERSON! SAMPLING ALGORITHM WILL BE APPLIED.


{NAME RACE}



CAPI INSTRUCTIONS: DISPLAY NAME AND RACE(S) FOR EACH ENUMERATED PERSON AS DETERMINED AT SCQ.270, SCQ.new#3, or SCQ.new#4. INTERVIEWER MAY BACK-UP TO CORRECT.



BOX 3I


CHECK ITEM __________:

IF SCQ.260 = CODE 1 (YES-HISPANIC), APPLY HISPANIC SAMPLING ALGORITHM AND SKIP TO BOX 4. OTHERWISE, CONTINUE WITH BOX 3J.



BOX 3J


CHECK ITEM __________:

IF AT LEAST ONE CODE IN SCQ.270 = CODE 3 (BLACK), APPLY BLACK/AFRICAN AMERICAN SAMPLING ALGORITHM AND SKIP TO BOX 4. OTHERWISE, CONTINUE WITH BOX 3K.



BOX 3K


CHECK ITEM __________:

IF SCQ.270 = 2 (ASIAN) OR IF SCQ.NEW#3 = 1, APPLY ASIAN SAMPLING ALGORITHM AND SKIP TO BOX 4. OTHERWISE, GO TO BOX 3L.



BOX 3L


CHECK ITEM __________:

APPLY WHITE/OTHER SAMPLING ALGORITHM.



BOX 4


CHECK ITEM SCQ.285:

IF NO PERSON IN THE HOUSEHOLD IS “POTENTIALLY ELIGIBLE” FOR THE STUDY BASED ON SAMPLING MESSAGES FOR ETHNICITY OR RACE, GO TO SCQ.430; OTHERWISE, CONTINUE.




SCQ.290 What is {your/{NAME}’s} birthdates?


____ ____ ____

MM DD YYYY (SCQ.291)


DK 9 (SCQ.292)

RF 7 (SCQ.292)



CAPI INSTRUCTIONS: IF DATE OF BIRTH IS SPECIFIED, CALCULATE AGE AND POST IN THE “AGE” CELL FOR THE APPROPRIATE PERSON WITH THE CURSOR RESIDING IN THAT CELL AND SCQ.291 DISPLAYED ABOVE THE HH COMPOSITION MATRIX; ELSE


GO TO SCQ.292.



SCQ.291 So {you are/{NAME} is} {AGE AS CALCULATED FROM DOB}?


IF NECESSARY, RE-ENTER CORRECT AGE.



CAPI INSTRUCTIONS: IF AGE IS RE-ENTERED BY THE INTERVIEWER, THE APPLICATION SHOULD ADJUST DOB YEAR IF VALID VALUES FOR DOB MONTH AND DAY EXIST. IF DOB MONTH, DAY AND YEAR ARE RF OR DK, DO NOT BACK-FILL THE DOB YEAR BASED ON THE ENTERED AGE.



SCQ.292 How old {are you/is {NAME}}?


IF AGE IS LESS THAN 12 MONTHS, ENTER 0.


_____

AGE (SCQ.301)


DK 999 (SCQ.300)

RF 777 (SCQ.300)



SCQ.300 About how old {are you/is {NAME}}?


{AGE RANGES FOR SAMPLED RACE/ETHNICITY = BLACK OR HISPANIC}/{AGE RANGES FOR SAMPLED RACE/ETHNICITY = ASIAN}/{AGE RANGES FOR SAMPLED RACE/ETHNICITY = WHITES/OTHERS}; {AGE RANGES FOR DK/RF RACE/ETHNICITY}


DK 9999

RF 7777


CAPI INSTRUCTIONS: DISPLAY QUESTION TEXT ABOVE THE HH COMPOSITION MATRIX WITH THE CURSOR RESIDING IN THE “AGE RANGE” CELL ON THE MATRIX.


AGE RANGE CATEGORIES

Black non-Hispanic

M&F

0-11 mos.


White/Other

M&F

0-11 mos.



1-2 yrs.


Low Income


1-2 yrs.



3-5 yrs.




3-5 yrs.


M

6-11 yrs.



M

6-11 yrs.



12-19 yrs.




12-19 yrs.



20-39 yrs.




20-29 yrs.



40-49 yrs.




30-39 yrs.



50-59 yrs.




40-49 yrs.



60+ yrs.




50-59 yrs.


F

6-11 yrs.




60-69 yrs.



12-19 yrs.




70-79 yrs.



20-39 yrs.




80+ yrs.



40-49 yrs.



F

6-11 yrs.



50-59 yrs.




12-19 yrs.



60+ yrs.




20-29 yrs.

Hispanic

M&F

0-11 mos.




30-39 yrs.



1-2 yrs.




40-49 yrs.



3-5 yrs.




50-59 yrs.


M

6-11 yrs.




60-69 yrs.



12-19 yrs.




70-79 yrs.



20-39 yrs.




80+ yrs.



40-49 yrs.


White/Other

M&F

0-11 mos.



50-59 yrs.


Not Low Income


1-2 yrs.



60+ yrs.




3-5 yrs.


F

6-11 yrs.



M

6-11 yrs.



12-19 yrs.




12-19 yrs.



20-39 yrs.




20-29 yrs.



40-49 yrs.




30-39 yrs.



50-59 yrs.




40-49 yrs.



60+ yrs.




50-59 yrs.

Asian non-Black/

M&F

0-11 mos.




60-69 yrs.

non-Hispanic


1-2 yrs.




70-79 yrs.



3-5 yrs.




80+ yrs.


M

6-11 yrs.



F

6-11 yrs.



12-19 yrs.




12-19 yrs.



20-39 yrs.




20-29 yrs.



40-49 yrs.




30-39 yrs.



50-59 yrs.




40-49 yrs.



60+ yrs.




50-59 yrs.


F

6-11 yrs.




60-69 yrs.



12-19 yrs.




70-79 yrs.



20-39 yrs.




80+ yrs.



40-49 yrs.







50-59 yrs.







60+ yrs.






DISPLAY THE FOLLOWING SOFT EDIT THE FIRST TIME A DK OR RF IS ENTERED. ACCEPT THE SECOND ENTRY.

“A missing value here may result in inconclusive sampling. Please re-enter the value to confirm.”


ACCEPT THE SECOND ENTRY.

SCQ.301 WARNING: REVIEW AGE FOR EACH PERSON! SAMPLING ALGORITHM WILL BE APPLIED.


{NAME AGE RANGE}



CAPI INSTRUCTIONS: DISPLAY NAME AND AGE AS DETERMINED AT SCQ291, SCQ292, OR SCQ300 FOR EACH ENUMERATED PERSON. INTERVIEWER MAY BACK-UP TO CORRECT.



BOX 5


CHECK ITEM SCQ.303:

APPLY THE SAMPLING ALGORITHM. IF NO PERSON IN THE HOUSEHOLD IS “POTENTIALLY ELIGIBLE” FOR THE STUDY BASED ON SAMPLING MESSAGES FO AGE, GO TO SCQ.430; ELSE


CONTINUE.



BOX 6


CHECK ITEM SCQ.315:

IF SAMPLING MESSAGE FOR LOW INCOME IS SET, CONTINUE; ELSE


GO TO BOX 12.



BOX 7


CHECK ITEM SCQ.320:

IF SCQ.027 = YES (1), GO TO BOX 12; ELSE


CONTINUE.



BOX 8


CHECK ITEM SCQ.325:

IF ALL HOUSEHOLD MEMBER'S SAMPLED RACE/ETHNICITY = HISPANIC (1) OR BLACK (2), GO TO BOX 12; ELSE


IF ANY HOUSEHOLD MEMBER'S SAMPLED RACE/ETHNICITY = WHITE/OTHER (3) AND ONE OR MORE PERSON'S IN THE HOUSEHOLD COULD MEET THE LOW INCOME SAMPLING CRITERIA AND THOSE PERSONS ARE NOT ALL ACTIVE MILITARY, CONTINUE; ELSE


GO TO BOX 12.



BOX 9


CHECK ITEM SCQ.330:

IF ALL HOUSEHOLD MEMBER'S WHO WOULD MEET THE LOW INCOME SAMPLING CRITERIA ARE ALREADY SAMPLED BASED ON GENDER, ETHNICITY, RACE, AGE OR ARE ACTIVE MILITARY, GO TO BOX 12; ELSE


CONTINUE.



SCQ.340 Please think for a moment about the various sources from which the members of this household received income during the last 12 months, that is from {CURRENT MONTH} {LAST YEAR IN 4-DIGITS} to {LAST MONTH} {CURRENT YEAR IN 4-DIGITS}. Thinking about all the sources of income, please tell me whether the total income received by the members of this household during the last 12 months was more or less than {DISPLAY EXACT THRESHOLD DOLLAR AMOUNT FOR # OF PEOPLE LIVING IN HOUSEHOLD}.


INCOME THRESHOLDS:


2010 HHS Poverty Guidelines (not yet published)

Persons in
Family or Household

48 Contiguous
States and D.C.

1


2


3


4


5


6


7


8


For each additional person, add




CAPI INSTRUCTIONS: IF INCOME EQUAL TO {DISPLAY EXACT THRESHOLD DOLLAR AMOUNT FOR # OF PEOPLE LIVING IN HOUSEHOLD}, CODE 'LESS'.


MORE 1 (BOX 12)

LESS 2 (BOX 12)

DK 9

RF 7


BOX 10


CHECK ITEM SCQ.345:

IF ANY CHILDREN IN HOUSEHOLD <6 YEARS OLD, CONTINUE; ELSE


GO TO BOX 12.



BOX 11


CHECK ITEM SCQ.347:

IF ANY MALES IN HOUSEHOLD >18, GO TO BOX 12; ELSE


TREAT HOUSEHOLD AS LOW INCOME FOR PURPOSES OF SAMPLING.



BOX 12


CHECK ITEM SCQ.355:

IF ANY INDIVIDUAL MEETS THE SPECIFIED SAMPLING CRITERIA BASED ON GENDER, ETHNICITY, RACE, AGE; OR INCOME LEVEL AND IS NOT ON ACTIVE MILITARY STATUS, GO TO SCQ.370; ELSE


IF SAMPLING FOR ALL INDIVIDUALS IS INCONCLUSIVE DUE TO CONFIRMED MISSING DATA (DK/RF) IN THE CRITICAL SAMPLING VARIABLES, GO TO SCQ.430, THEN TERMINATE THE SCREENER WITH AN ASSIGNED STATUS OF “INCOMPLETE”; ELSE


GO TO SCQ.430.



SCQ.370 THIS HOUSEHOLD HAS ELIGIBLE SURVEY PARTICIPANTS.


THE ELIGIBLE PERSON(S) SAMPLED IN THIS HOUSEHOLD ARE:


{UNIQUE NAMES, GENDERS, ETHNICITIES RACES, AGES OF SAMPLED PERSONS}



CAPI INSTRUCTIONS: SINCE THE SAMPLING ALGORITHM HAS BEEN RUN FOR THE LAST TIME, BACK-UP IS NOT ALLOWED AFTER THIS SCREEN.



SCQ.420 Is {REFERENCE PERSON}’s mailing address the same as {his/her} street address?


YES 1 (SCQ.430)

NO 2 (SCQ.425)

DK 9 (SCQ.430)

RF 7 (SCQ.430)



SCQ.425 Please give me {REFERENCE PERSON}'s complete mailing address.


{#} {DIRECTION} {STREET NAME} {STREET/ROAD/AVENUE} {DIRECTION} {#}

{PO BOX} {RURAL ROUTE #} {RURAL ROUTE BOX} {CITY} {STATE} { ZIP}



CAPI INSTRUCTIONS: DISPLAY THE COMPLETE ADDRESS OF THE HOUSEHOLD AS COLLECTED IN SCQ070 OR SCQ080 AND ALLOW UPDATES IN ALL FIELDS. IF UPDATES ARE MADE, STORE THIS ADDRESS AS THE MAILING ADDRESS. IF NO UPDATES ARE MADE, RESET SCQ.420 TO “NO” AND CONTINUE TO SCQ.430.



SCQ.430 Please give me your home telephone number in case my office wants to check my work.


( ) - ______ - __________ - __________

HOME TELEPHONE NUMBER (SCQ.440a)


NO HOME TELEPHONE 2 (SCQ.460)

DK 9 (SCQ.460)

RF 7 (SCQ.460)


CAPI INSTRUCTIONS: THE FIELD FOR "EXTENSION" IS ALLOWED TO BE BLANK.



SCQ.440a In whose name is the telephone listed?


________ ________

FIRST LAST (BOX 13)


UNLISTED 1 (BOX 13)

NOT ON LIST 2 (SCQ440b)

DK 9 (BOX 13)

RF 7 (BOX 13)



SCQ.440b [In whose name is the telephone listed?]


Name ________ ________

{FIRST} {LAST} (BOX 13)



CAPI INSTRUCTIONS: THE DEFAULT FILL FOR THE “NAME” FIELD SHOULD BE THE FIRST AND LAST NAME OF THE REFERENCE PERSON. HOWEVER, MOVING THE FOCUS OF THE CURSOR OVER THE “NAME” FILL PRODUCES A LIST DISPLAYING THE FIRST AND LAST NAMES OF ALL HH MEMBERS ON THE HH COMPOSITION MATRIX AND THE OPTIONS OF “”UNLISTED”, AND “NOT ON LIST”.



SCQ.460 Is there another number where you can be reached?


( ) - ______ - __________ - __________

OTHER TELEPHONE NUMBER (SCQ461)


NO 2 (BOX 13)

DK 9 (BOX 13)

RF 7 (BOX 13)



CAPI INSTRUCTIONS: THE FIELD FOR "EXTENSION" IS ALLOWED TO BE BLANK.



SCQ461 Where is that telephone located?


WORK 1

RELATIVE’S HOME 2

NEIGHBOR’S HOME 3

CELL PHONE 4

OTHER 5

DK 9

RF 7



BOX 13


CHECK ITEM SCQ.465:

IF THIS IS AN INELIGIBLE HOUSEHOLD, GO TO SCQ_END1; ELSE

IF THIS IS AN ELIGIBLE HOUSEHOLD, GO TO SCQ_END2; ELSE

IF THIS IS A BREAK-OF, GO TO SCQ_END3 AND REQUIRE ENTRY OF DISPOSITION; ELSE

IF MISSING CRITICAL SAMPLING DATA, GO TO SCQ_END4; ELSE

IF SCQ.070 (ADDRESS VERIFICATION) IS “NO (WRONG ADDRESS)”; GO TO SCQ_END 5.




SCQ_END1 Thank you.



SCQ_END2 Thank you. This household has eligible survey participants.


[READ NAMES LISTED BELOW.]



{UNIQUE NAMES, GENDERS, AGES OF SAMPLE PERSONS}



[IF APPROPRIATE, EXPLAIN PARTICIPATION IN STUDY TO RESPONDENT.]



SCQ_END2a PERFORM THE RELATIONSHIP INTERVIEW AT THIS TIME?


YES 1 SCQ_MODULE 2)

NO 2 (SCQ_END2b)


CAPI INSTRUCTIONS: IF CODED “YES” (1), UPON LEAVING THIS SCREEN, LAUNCH MODULE 2 OF THE SCREENER, COLLECTING RELATIONSHIP INFORMATION.



SCQ_END2b SELECT RESPONDENT FOR THE SCREENER MODULE 1 – HOUSEHOLD COMPOSITION.


Respondent

{FIRST NAME} {LAST NAME}


CAPI INSTRUCTIONS: WHEN THE FOCUS OF THE CURSOR IS ON THE “RESPONDENT” FIELD, THE ANSWER CHOICES SHOULD BE A LIST THAT DISPLAYS FIRST AND LAST NAMES OF ALL HH MEMBERS ON THE HH COMPOSITION MATRIX.



SCQ_END2c WAS INTERPRETER USED?


YES 1 (SCQ_END2d)

NO 2



CAPI INSTRUCTIONS: IF CODED “NO” (1), UPON LEAVING THIS SCREEN, SET THE APPROPRIATE SCREENER DISPOSITION AND RETURN TO THE SCREENER CASE SELECTION SCREEN.



SCQ_END2d CODE TYPE OF INTERPRETER.


LIVING IN HOUSEHOLD (SCQ_END2e)

NEIGHBOR OR FRIEND (SCQ_END2f)

PAID INTERPRETER (SCQ_END2f)



SCQ_END2e SELECT NAME OF INTERPRETER FROM HOUSEHOLD ROSTER.


Name (SCQ_END2__)

{FIRST NAME} {LAST NAME}


CAPI INSTRUCTIONS: WHEN THE FOUCUS OF THE CURSOR IS ON THE “NAME” FIELD, THE ANSWER CHOICES SHOULD BE A LIST THAT DISPLAYS FIRST AND LAST NAMES OF ALL HH MEMBERS ON THE HH COMPOSITION MATRIX.




SCQ_END2f ENTER NAME OF INTERPRETER.


First Name

Last Name


CAPI INSTRUCTIONS: ALLOW TEXT ENTRY IN “First Name” AND “Last Name”. ALLOW DK/RF IN BOTH FIELDS.


SCQ_END2g ENTER PHONE NUMBER OF INTERPRETER.


Phone # ( ) -

Last Name


CAPI INSTRUCTIONS: ALLOW TEXT ENTRY “PHONE #” FIELD. ALLOW DK/RF IN BOTH FIELDS.



SCQ_END2h LANGUAGE OF INTERVIEW.



CAPI INSTRUCTIONS: WHEN THE FOCUS OF THE CURSOR IS ON THE LANGUAGE OF INTERVIEW FIELD, THE ANSWER CATEGORIES DISPLAYED ARE: CHINESE, FRENCH, GERMAN, ITALIAN, JAPENESE, RUSSIAN, VIETNAMESE, SPANISH AND OTHER, SPECIFY.


IF OTHER, SPECIFY IS SELECTED, DISPLAY THIS QUESTION:


SPECIFY (LANGUAGE OF INTERVIEW)


UPON LEAVING THIS SCREEN, SET THE APPROPRIATE SCREENER DISPOSITION AND RETURN TO THE SCREENER CASE SELECTION SCREEN.


SCQ_END3 Thank you.



SCQEND3 PROGRAMMER SPEC: AFTER EXITING FROM THIS SCREEN, PRESENT THE LIST OF DISPOSITIONS AND DO NOT ALLOW EXIT FROM THE APPLICATION WITHOUT ENTRY OF A DISPOSITION.



SCQ_END4 Thank you.


[EXPLAIN TO RESPONDENT THAT YOU WILL NEED TO RETURN TO THE HOUSEHOLD TO COLLECT CRITICAL INFORMATION THAT WAS NOT PROVIDED THIS TIME.]



SCQ_END5 Thank you.


LOCATE CORRECT ADDRESS AND RESTART SCREENER.
















FAMILY RELATIONSHIP QUESTIONNAIRE

SCREENER MODULE #2 (SFQ)



TO BE ADMINISTERED TO ALL ELIGIBLE HOUSEHOLDS


BOX 1


CHECK ITEM SFQ.001:

IF ONLY 1 PERSON HOUSEHOLD, CODE PERSON AS "REFERENCE PERSON", CODE RELATIONSHIP AS "SELF", ASSIGN FAMILY #1 TO PERSON AND GO TO END OF SECTION.

OTHERWISE, CONTINUE.


BOX 2


CHECK ITEM SFQ.004:

CODE FIRST PERSON LISTED ON H.H. MATRIX WHOSE AGE IS > 18 AND IS NOT FLAGGED AS LIVING "SOMEWHERE ELSE" AS "REFERENCE PERSON", HEAD OF FAMILY #1 AND RELATIONSHIP AS "SELF".


BOX 3


LOOP 1:

ASK NEW BOX 3A – SFQ.040 AS APPROPRIATE FOR EACH PERSON {P} LISTED BELOW REFERENCE PERSON ON THE HOUSEHOLD MATRIX.


NEW BOX 3A


CHECK ITEM ???????:

CHECK GENDER OF {PERSON} FROM SCREENER. IF {PERSON} IS MALE, DISPLAY SFQ.new012. IF FEMALE, DISPLAY SFQ.new014.



SFQ.new012 CAPI DESIGN = RADIO BUTTONS


RELATED

HUSBAND 01

PARTNER 02

SON (BIOLOGICAL, SON-IN-LAW,
ADOPTIVE, FOSTER, STEP) 03

SON OF PARTNER 04

GRANDSON 05

FATHER 06

BROTHER 07

GRANDFATHER 08

UNCLE 09

NEPHEW 10

OTHER RELATIVE 11

NOT RELATED

HOUSEMATE/ROOMMATE 12

ROOMER/BOARDER 13

OTHER/NON RELATED 14


LEGAL GUARDIAN 15

WARD 16


REFUSED 77

DON’T KNOW 99



SFQ.new014 CAPI DESIGN = RADIO BUTTONS


RELATED

WIFE 01

PARTNER 02

DAUGHTER (BIOLOGICAL,
DAUGHTER-IN-LAW, ADOPTIVE,
FOSTER, STEP) 03

DAUGHTER OF PARTNER 04

GRANDDAUGHTER 05

MOTHER 06

SISTER 07

GRANDMOTHER 08

AUNT 09

NIECE 10

OTHER RELATIVE 11

NOT RELATED

HOUSEMATE/ROOMMATE 12

ROOMER/BOARDER 13

OTHER/NON RELATED 14


LEGAL GUARDIAN 15

WARD 16


REFUSED 77

DON’T KNOW 99



NEW BOX 3B


CHECK ITEM ???????:

IF CODE 1 AND {PERSON} IS <16 YEARS OLD, GO TO SPQ.new016.

OTHERWISE, SKIP TO BOX 5.



SFQ.new016 {PERSON} IS LISTED IN SCREENER AS BEING UNDER 16 YEARS OLD. ARE YOU SURE {PERSON} SHOULD BE CODED AS SPOUSE?


YES 1

NO 2



BOX 5


CHECK ITEM SFQ.017:

IF {P} RELATIONSHIP IN SFQ.new012 or SFQ.new014 = SON OR DAUGHTER (CODE 3), CONTINUE.

OTHERWISE, SKIP TO BOX 6.



SFQ.020 Is {PERSON}, {REFERENCE PERSON'S} biological (natural), adoptive, step, foster {son/daughter} or (son/daughter)-in-law?


BIOLOGICAL (NATURAL) {SON/
DAUGHTER} 1

ADOPTIVE {SON/DAUGHTER} 2

STEP {SON/DAUGHTER} 3

FOSTER {SON/DAUGHTER} 4

{SON/DAUGHTER}-IN-LAW 5

REFUSED 7

DON'T KNOW 9



BOX 6


CHECK ITEM SFQ.025:

IF {P} RELATIONSHIP IN SFQ.new012 or SFQ.new014 = FATHER OR MOTHER (CODE 6), CONTINUE.

OTHERWISE, GO TO BOX 7.



SFQ.030 Is {PERSON}, {REFERENCE PERSON'S} biological (natural), adoptive, step, or foster parent or {mother/father}-in-law?


BIOLOGICAL (NATURAL) PARENT 1

ADOPTIVE PARENT 2

STEP PARENT 3

FOSTER PARENT 4

{MOTHER/FATHER}-IN-LAW 5

REFUSED 7

DON'T KNOW 9



BOX 7


CHECK ITEM SFQ.035:

IF {P} RELATIONSHIP IN SFQ. new012 or SFQ.new014 = BROTHER OR SISTER (CODE 7), CONTINUE.

OTHERWISE, GO TO BOX 8.



SFQ.040 Is {PERSON}, {REFERENCE PERSON'S} full, half, adoptive, step, or foster {brother/sister} or {brother/sister}-in-law?


FULL {BROTHER/SISTER} 1

HALF {BROTHER/SISTER} 2

ADOPTED {BROTHER/SISTER} 3

STEP {BROTHER/SISTER} 4

FOSTER {BROTHER/SISTER} 5

{BROTHER/SISTER}-IN-LAW 6

REFUSED 7

DON'T KNOW 9



BOX 8


END LOOP 1:

ASK NEW BOX 3A – SFQ.040 AS APPROPRIATE FOR NEXT PERSON {P} LISTED BELOW REFERENCE PERSON OR NEXT PERSON RELATED TO HEAD OF FAMILY ON THE HOUSEHOLD MATRIX.

IF NO NEXT PERSON, GO TO BOX 9.



BOX 9


CHECK ITEM SFQ.043:

IF ALL PERSONS IN HOUSEHOLD ARE RELATED (HAVE RELATIONSHIP CODES ASSOCIATED WITH CODES 1, 2, 3, 4, 5, 6, 7, 8, 9, 10, 11, 15, 16, 77 OR 99 IN SFQ.new012 OR SFQ.new014), GO TO BOX 20.

OTHERWISE, CONTINUE WITH BOX 10.



BOX 10


CHECK ITEM SFQ.045:

CODE FIRST PERSON REMAINING UNRELATED TO REFERENCE PERSON AND HEADS OF ADDITIONAL FAMILIES AND WHOSE AGE IS >18 AS HEAD OF NEXT FAMILY {H OF F} AS APPROPRIATE (#2, 3, 4, ETC.), AND GO TO BOX 11.

IF NO PERSONS AGE > 18, CODE OLDEST PERSON FROM THIS GROUP AS HEAD OF FAMILY.



BOX 11


CHECK ITEM SFQ.047:

IF MORE THAN ONE PERSON CODED AS UNRELATED, CONTINUE WITH SFQ.050.

OTHERWISE, GO TO BOX 20.



SFQ.050 Now I would like to talk about those persons in the household who are not related to {REFERENCE PERSON/REFERENCE PERSON OR HEADS OF FAMILY}. That is {LIST ALL PERSONS IN HOUSEHOLD NOT RELATED TO {REFERENCE PERSON/REFERENCE PERSON OR HEADS OF FAMILY}.


DISPLAY NAME OF REFERENCE PERSON IF THIS IS THE FIRST TIME THIS QUESTION IS ASKED. DISPLAY NAMES OF REFERENCE PERSON AND ALL HEADS OF ADDITIONAL FAMILIES IF THIS IS NOT THE FIRST TIME QUESTION IS ASKED.


Is {HEAD OF FAMILY #2, 3, 4, ETC} related to anyone in the household?


YES 1

NO 2 (BOX 19)

REFUSED 7

DON'T KNOW 9



SFQ.060 Who is {HEAD OF FAMILY #2, 3, 4, ETC. FROM BOX 10} related to? {DISPLAY LIST OF NAMES OF ALL PERSONS WHO ARE NOT REFERENCE PERSON, OR HEAD OF FAMILY AND WHO ARE NOT RELATED TO ANYONE ELSE IN HOUSEHOLD (DO NOT HAVE RELATIONSHIP CODE = CODE 1, 2, 3, 4, 5, 6, 7, 8, 9, 10, 11, 15 OR 16)}.


SELECT NAMES OF PERSONS RELATED TO {REFERENCE PERSON OR HEAD(S) OF FAMILY}.



BOX 13


EMBEDDED LOOP 2A:

ASK NEW BOX 3A THROUGH SFQ.040 FOR EACH PERSON SELECTED IN SFQ.060.





BOX 18


END EMBEDDED LOOP 2A:

ASK NEW BOX 3A THROUGH SFQ.040 AS APPROPRIATE FOR NEXT PERSON SELECTED AS RELATED TO HEAD OF FAMILY IN SFQ.060.

IF NO NEXT PERSON, GO TO BOX 19.



BOX 19


END LOOP 2:

IF MORE THAN 1 PERSON REMAINS UNRELATED TO THE REFERENCE PERSON OR THE HEAD OF ADDITION FAMILY:


DESIGNATE NEXT HEAD OF FAMILY AS INSTRUCTED IN BOX 10.

ASK NEW BOX 3A THROUGH SFQ.040 FOR NEXT HEAD OF FAMILY AND PERSONS WHO REMAIN AS UNRELATED.


IF NO NEXT PERSONS GO TO BOX 20.





BOX 20


CHECK ITEM SFQ.105:

IF REFERENCE PERSON OR HEAD OF FAMILY IS MARRIED (CODED AS 01 IN SFQ.new012 OR SFQ.new014) OR
LIVING WITH A PARTNER (CODED AS UNMARRIED PARTNER IN SFQ.new012 OR SFQ.new014).


AND


REFERENCE PERSON OR HEAD OF FAMILY HAS A CHILD OR THE PARTNER HAS A CHILD (CODED AS 03 OR 04 IN SFQ.new012 OR SFQ.new014) CONTINUE


OTHERWISE GO TO BOX 23.




BOX 21


LOOP 3:

ASK SFQ.110 FOR EACH PERSON (CHILD OF REFERENCE PERSON AND CHILD OF PARTNER – RELATIONSHIP CODE 3 OR 4).



SFQ.110 I recorded that {NAME OF MOTHER/FATHER OF CHILD – THIS IS SPOUSE OR PARTNER OF REFERENCE PERSON} is the {father/mother} of {NAME OF CHILD – THIS IS CHILD OF REFERENCE PERSON AND SPOUSE OR REFERENCE PERSON AND PARTNER OR CHILD OF PARTNER}. Is {NAME OF CHILD} {his/her} biological, adoptive, step, foster child or (son or daughter)-in-law?


BIOLOGICAL CHILD 1

ADOPTIVE CHILD 2

STEP CHILD 3

FOSTER CHILD 4

(SON/DAUGHTER)-IN-LAW 5

REFUSED 7

DON'T KNOW 9



BOX 22


END LOOP 3:

ASK SFQ.110 FOR NEXT PERSON (CHILD OR CHILD OF PARTNER).

IF NO NEXT PERSON, CONTINUE WITH BOX 23.



BOX 23


CHECK ITEM 115:

CHECK RELATIONSHIPS. IF ALL HOUSEHOLD MEMBERS HAVE MOTHER, FATHER, AND SPOUSE OR PARTNER IDENTIFIED, GO TO BOX 31.

OTHERWISE, IF ANY OF THESE RELATIONSHIPS FOR EACH PERSON IS NOT ALREADY IDENTIFIED, CONTINUE.


BOX 24


LOOP 4:

ASK SFQ.120 – SFQ.200 AS APPROPRIATE FOR EACH PERSON WHO DOES NOT HAVE A MOTHER AND FATHER AND SPOUSE OR PARTNER IDENTIFIED IN HOUSEHOLD.



BOX 25


CHECK ITEM SFQ.117:

IF PERSON'S MOTHER HAS NOT BEEN IDENTIFIED, AND THERE ARE FEMALES IN THE HOUSEHOLD WHO ARE > 13 YEARS OLDER THAN PERSON, CONTINUE OTHERWISE, GO TO BOX 27.



SFQ.120 Is {PERSON'S} mother a household member? [Include mother-in-law].


IF OBVIOUS, VERIFY ONLY.


CHOOSE MOTHER OVER MOTHER-IN-LAW IF BOTH PRESENT.


YES – MOTHER IN HOUSEHOLD 1

NO – MOTHER NOT IN HOUSEHOLD 2 (BOX 27)

LEGAL GUARDIAN IN HOUSEHOLD 3

REFUSED 7 (BOX 27)

DON'T KNOW 9 (BOX 27)



SFQ.130 Who is that?

[SELECT PERSON FROM HOUSEHOLD MATRIX.



BOX 26


CHECK ITEM SFQ.135:

IF LEGAL GUARDIAN CODED IN SFQ.120, GO TO BOX 27.

OTHERWISE, CONTINUE.



SFQ.140 Is {NAME OF MOTHER IN SFQ.130}, {PERSON'S} biological [natural], adoptive, step, or foster mother or mother-in-law?


BIOLOGICAL MOTHER 1

ADOPTIVE MOTHER 2

STEP MOTHER 3

FOSTER MOTHER 4

MOTHER-IN-LAW 5

REFUSED 7

DON'T KNOW 9



BOX 27


CHECK ITEM SFQ.145:

IF PERSON'S FATHER HAS NOT BEEN IDENTIFIED, AND THERE ARE MALES IN THE HOUSEHOLD WHO ARE > 13 YEARS OLDER THAN PERSON CONTINUE

OTHERWISE, GO TO BOX 29A.



SFQ.150 Is {PERSON'S} father a household member? [Include father-in-law].


IF OBVIOUS, VERIFY ONLY.


CHOOSE FATHER OVER FATHER-IN-LAW IF BOTH PRESENT.


YES – FATHER IN HOUSEHOLD 1

NO – FATHER NOT IN HOUSEHOLD 2 (BOX 29)

LEGAL GUARDIAN IN HOUSEHOLD 3

REFUSED 7 (BOX 29)

DON'T KNOW 9 (BOX 29)

SFQ.160 Who is that?

[SELECT PERSON FROM HOUSEHOLD MATRIX.



BOX 28


CHECK ITEM SFQ.165:

IF LEGAL GUARDIAN CODED IN SFQ.150, GO TO BOX 29A.

OTHERWISE, CONTINUE.



SFQ.170 Is {NAME OF FATHER IN SFQ.160}, {PERSON'S} biological (natural), adoptive, step, or foster father or father-in-law?


BIOLOGICAL FATHER 1

ADOPTIVE FATHER 2

STEP FATHER 3

FOSTER FATHER 4

FATHER-IN-LAW 5

REFUSED 7

DON'T KNOW 9



BOX 29A


CHECK ITEM SFQ.175:

IF PERSON'S AGE >= 16 AND SPOUSE OR UNMARRIED PARTNER HAS NOT BEEN IDENTIFIED, CONTINUE.

OTHERWISE, GO TO BOX 30.



SFQ.180 Is {PERSON'S NAME} now married, widowed, divorced, separated, never married or living with a partner?


MARRIED 1

WIDOWED 2 (BOX 30)

DIVORCED 3 (BOX 30)

SEPARATED 4 (BOX 30)

NEVER MARRIED 5 (BOX 30)

LIVING WITH PARTNER 6

REFUSED 7 (BOX 30)

DON'T KNOW 9 (BOX 30)



BOX 29B


CHECK ITEM SFQ.185:

IF THERE ARE PERSONS IN THE HOUSEHOLD WHO ARE > = 14 YEARS OLD, CONTINUE.

OTHERWISE, GO TO BOX 30.



SFQ.190 Is {PERSON'S} {spouse/partner} living in the household?


YES 1

NO 2 (BOX 30)

REFUSED 7 (BOX 30)

DON'T KNOW 9 (BOX 30)



SFQ.200 Who is that?


DISPLAY LIST OF ALL NONDELETED HOUSEHOLD MEMBERS WHO ARE 14 YEARS OLD OR OLDER.



BOX 30


END LOOP 4:

ASK SFQ.120 – SFQ.200 FOR NEXT PERSON.

IF NO NEXT PERSON, GO TO BOX 31.



BOX 31


CHECK ITEM SFQ.205:

APPLY NHANES AND CPS FAMILY DEFINITIONS.

IF MORE THAN 1 NHANES FAMILY, CONTINUE.

IF ONLY 1 NHANES FAMILY, GO TO SFQ.210. DO NOT REASK SCQ.430 –
SCQ.461.


OTHERWISE, GO TO SFQ.210.



BOX 32


LOOP 5:

ASK MODULE 1 – SCQ.420 – SCQ.461 FOR EACH ADDITIONAL NHANES FAMILY.

NOTE: THE SUBJECT OF QUESTIONS SHOULD BE EACH ADDITIONAL HEAD OF NHANES FAMILY

DO NOT REASK SCQ.430 – SCQ.461 OF THE FIRST NHANES FAMILY.



SFQ.210 Thank you. That completes the questions about family relationships.


SAMPLE PERSON QUESTIONNAIRE


RESPONDENT SELECTION


NOTE: THIS IS ADMINISTRATIVE INFORMATION ENTERED BY THE INTERVIEWER NOT

QUESTIONS ASKED OF THE PARTICIPANT


RIQ.010 SELECT RESPONDENT FOR THE SP QUESTIONNAIRE FOR {SP NAME}.


CAPI INSTRUCTION:

DISPLAY FAMILY ROSTER AND 'SOMEONE OUTSIDE FAMILY' AS OPTION.



BOX 1

CHECK ITEM RIQ.015:

IF SP IS SELECTED AS RESPONDENT AND SP AGE IS <=

15, GO TO RIQ.020.

IF SP IS SELECTED AS RESPONDENT AND SP AGE IS >=

16, GO TO RIQ.080.

IF SP IS NOT SELECTED AS RESPONDENT AND SP AGE

IS <= 15, GO TO BOX 2.

IF SP IS NOT SELECTED AS RESPONDENT AND SP AGE

IS >= 16, GO TO RIQ.030.












RIQ.020 INTERVIEW SHOULD BE CONDUCTED WITH A PROXY BECAUSE SP IS UNDER 16 YEARS OLD.


ENTER ONE OPTION.


SP IS AN INDEPENDENT MINOR 1 (RIQ.080)

PERSON SELECTED AS

RESPONDENT IN ERROR 2 (RIQ.010)

SP AGE ENTERED IN ERROR -- SP IS

AGE 16+ 3 (RIQ.080)


RIQ.030 WHY IS INTERVIEW BEING CONDUCTED WITH A PROXY?


SP HAS COGNITIVE PROBLEMS 1

SP HAS PHYSICAL PROBLEMS (SPECIFY)… 2

OTHER (SPECIFY) 3

BOX 2

CHECK ITEM RIQ.031:

IF 'SOMEONE OUTSIDE THE FAMILY' SELECTED AS RESPONDENT, CONTINUE.

OTHERWISE, GO TO RIQ.080.










RIQ.040 WHY IS INTERVIEW BEING CONDUCTED WITH SOMEONE OUTSIDE THE

HOUSEHOLD?



RIQ.050 ENTER RESPONDENT NAME.


FIRST NAME LAST NAME



RIQ.060 ENTER RESPONDENT'S PHONE NUMBER.


ENTER '00' IN AREA CODE IF NO PHONE.


|___|___|___| |___|___|___| - |___|___|___|___|

AREA CODE ENTER PHONE NUMBER



RIQ.070 DESCRIBE RESPONDENT'S RELATIONSHIP TO SP.




RIQ.080 HAS RESPONDENT SIGNED A HOUSEHOLD INTERVIEW CONSENT FORM?


CAPI INSTRUCTION:

IF 'NO' (CODE 2), DISPLAY THE FOLLOWING MESSAGE: "EACH RESPONDENT FOR HOUSEHOLD QUESTIONNAIRE MUST SIGN A HOUSEHOLD INTERVIEW CONSENT FORM BEFORE THE INTERVIEW CAN BE ADMINISTERED" AND RETURN TO RIQ.080.

NOTE: IF INTERPRETER USED, RESPONDENT MUST SIGN FORM.


YES 1

NO 2


RIQ.090 INTERPRETER USED FOR THIS INTERVIEW?


YES 1

NO 2 (END OF SECTION)


RIQ.100 CODE TYPE OF INTERPRETER.


LIVING IN HOUSEHOLD 1

NEIGHBORHOOD/FRIEND 2 (RIQ.120)

PAID INTERPRETER 3 (RIQ.120)


RIQ.110 SELECT NAME OF INTERPRETER FROM HOUSEHOLD ROSTER.


{DISPLAY NAMES OF HOUSEHOLD MEMBERS}



BOX 3

CHECK ITEM RIQ.115:

GO TO RIQ.140.






RIQ.120 ENTER NAME OF INTERPRETER.


FIRST NAME LAST NAME



BOX 4

CHECK ITEM RIQ.125:

IF INTERPRETER IS NEIGHBOR OR FRIEND (CODE 2 IN RIQ.100), CONTINUE.

OTHERWISE, GO TO RIQ.140.








RIQ.130 ENTER PHONE NUMBER OF INTERPRETER.


ENTER '00' IN AREA CODE IF NO PHONE.


|___|___|___| |___|___|___| - |___|___|___|___|


REFUSED 7

DON'T KNOW 9


RIQ.140 LANGUAGE OF INTERVIEW.


CHINESE 1

FRENCH 2

GERMAN 3

ITALIAN 4

JAPANESE 5

RUSSIAN 6

OTHER (SPECIFY) 7

DON'T KNOW 9

END OF SECTION


INTRODUCTION AND VERIFICATION (IVQ)


DMQ.010 [You have been chosen to participate in the National Health and Nutrition Examination Survey conducted by the U.S. Public Health Service. All the information that you give us will be kept in the strictest of confidence. Your name will not be attached to any of your answers without your specific permission. HAND RESPONDENT THE ADVANCE LETTER.] I would like to begin the health interview by verifying some information about {you/SP}.


VERIFY OR ASK DATE OF BIRTH AND AGE.


CAPI INSTRUCTION:

DISPLAY DATE OF BIRTH AND SP AGE FROM SCREENER.

IF AGE OR ALL OR PART OF DATE OF BIRTH NOT AVAILABLE, FILL CORRESPONDING FIELDS WITH 'DK' OR 'REF' AS APPROPRIATE.

IF AGE IS A RANGE, DISPLAY THE RANGE FOR AGE.

IF AGE IS LESS THAN 1 YEAR, DISPLAY AGE IN MONTHS.

IF AGE IS CHANGED, DISPLAY MESSAGE TO CORRECT DOB.

IF DOB IS CHANGED, RECALCULATE AGE.


{ |___|___|___|___|___|___|___|___| } { |___|___|___| }

DATE OF BIRTH (MONTH, DAY, YEAR) AGE


REFUSED 77777777

DON'T KNOW 99999999



DMQ.020 VERIFY GENDER.


CAPI INSTRUCTION:

DISPLAY SP GENDER FROM SCREENER. IF GENDER NOT AVAILABLE, DISPLAY DK OR REF AS APPROPRIATE.


{ |___| }

GENDER



BOX 1


CHECK ITEM DMQ.025:

RUN SAMPLING ALGORITHM. IF PERSON NO LONGER IN THE SAMPLE DUE TO UPDATED AGE OR GENDER INFORMATION, CONTINUE.

OTHERWISE, GO TO BOX 4.



DMQ.030 Thank you for your participation in the study. Our scientific, random selection process indicates that {you/SP} {have/has} not been selected for the next part of the study.



BOX 2


CHECK ITEM DMQ.035:

GO TO END OF INTERVIEW.



DMQ.040 What is {your/SP's} full name, including middle name?


What is your first name?


VERIFY SPELLING

USE F1 FOR HELP RECORDING FIRST NAME


|___|___|___|___|

ENTER PREFIX (MS, MR, MRS, DR)


REFUSED 7777

DON'T KNOW 9999


ENTER FIRST NAME


REFUSED 7

DON'T KNOW 9



DMQ.050 What is {your/SP's} middle name?


VERIFY SPELLING

USE F1 FOR HELP RECORDING MIDDLE NAME(S)

IF NO MIDDLE NAME, MARK CHECK BOX


ENTER MIDDLE NAME #1


REFUSED 7

DON'T KNOW 9


ENTER MIDDLE NAME #2


REFUSED 7

DON'T KNOW 9



DMQ.060 What is {your/SP's} last name?


VERIFY SPELLING

USE F1 FOR HELP RECORDING LAST NAME(S)


ENTER LAST NAME #1


REFUSED 7

DON'T KNOW 9


ENTER LAST NAME #2


REFUSED 7

DON'T KNOW 9



DMQ.070 {Do you/Does SP} have a suffix? [What is it?]


ENTER SUFFIX (JR, SR, III)

or

NO 2

REFUSED 7

DON'T KNOW 9






















EARLY CHILDHOOD



ECQ.010 First I have some questions about {SP NAME's} birth.


How old was {SP NAME's} biological mother when {s/he} was born?


|___|___|

ENTER AGE IN YEARS


CAPI INSTRUCTION:

HARD EDIT 10-59, SOFT EDIT <13


REFUSED 77

DON'T KNOW 99



ECQ.020 Did {SP NAME's} biological mother smoke at any time while she was pregnant with {him/her}?


YES 1

NO 2

REFUSED 7

DON’T KNOW 9

ECQ.071/ How much did {SP NAME} weigh at birth?

L/O/K/M

IF ANSWER GIVEN IN POUNDS ONLY, PROBE FOR OUNCES.

IF ANSWER GIVEN IN EXACT POUNDS, ENTER NUMBER OF POUNDS AND 0 OUNCES.


|___|___|

ENTER NUMBER OF POUNDS


CAPI INSTRUCTION:

SOFT EDIT 3-13, HARD EDIT 0-20


AND


|___|___|

ENTER NUMBER OF OUNCES


CAPI INSTRUCTION:

HARD EDIT 0-15, NO SOFT EDIT


OR


|___|___|___|

ENTER NUMBER IN KILOGRAMS


CAPI INSTRUCTION:

SOFT EDIT 1.5-6, HARD EDIT 0-9


OR


|___|___|___|

ENTER NUMBER IN GRAMS


CAPI INSTRUCTION:

SOFT EDIT 1,500-6,000, HARD EDIT 0-9,000


OR


REFUSED 7777

DON’T KNOW 9999



BOX 1


CHECK ITEM ECQ.075:

IF REFUSED (CODE 7) OR DON'T KNOW (CODE 9), CONTINUE.

OTHERWISE, GO TO BOX 2.




ECQ.080 Did {SP NAME} weigh . . .


more than 5-1/2 lbs. (2500 g), or 1

less than 5-1/2 lbs. (2500 g)? 2 (BOX 2)

REFUSED 7 (BOX 2)

DON'T KNOW 9 (BOX 2)



ECQ.090 Did {SP NAME} weigh . . .


more than 9 lbs. (4100 g), or 1

less than 9 lbs. (4100 g)? 2

REFUSED 7

DON'T KNOW 9



BOX 2


CHECK ITEM ECQ.095:

IF SP AGE = 2-15 YEARS, CONTINUE.

OTHERWISE, GO TO End of Section.




WHQ.030e Do you consider {SP} now to be . . .


overweight, 1

underweight, or 2

about the right weight? 3

REFUSED 7

DON’T KNOW 9



MCQ.080e Has a doctor or health professional ever told you that {SP} was overweight?


YES 1

NO 2 (End of Section)

REFUSED 7 (End of Section)

DON’T KNOW 9 (End of Section)



ECQ.150 Are you now doing anything to help {SP} control {his/her} weight?


YES 1

NO 2

REFUSED 7

DON’T KNOW 9


HOSPITAL UTILIZATION AND ACCESS TO CARE



HUQ.010 {First/Next} I have some general questions about {your/SP's} health.


Would you say {your/SP's} health in general is . . .


CAPI INSTRUCTION:

DISPLAY "FIRST" IF SP AGE IS >= 16 YEARS.


excellent, 1

very good, 2

good, 3

fair, or 4

poor? 5

REFUSED 7

DON'T KNOW 9



BOX 1


CHECK ITEM HUQ.015:

IF SP AGE >= 1, CONTINUE.

OTHERWISE, GO TO HUQ.030.



HUQ.020 Compared with 12 months ago, would you say {your/SP's} health is now . . .


better, 1

worse, or 2

about the same? 3

REFUSED 7

DON'T KNOW 9



HUQ.030 Is there a place that {you/SP} usually {go/goes} when {you are/he/she is} sick or {you/s/he} need{s} advice about {your/his/her} health?


CAPI INSTRUCTION:

IF SP AGE < 12, DISPLAY "YOU" IN THE FOURTH DISPLAY AND DON'T DISPLAY THE "S" IN THE FIFTH DISPLAY.


YES 1

THERE IS NO PLACE 2 (HUQ.050)

THERE IS MORE THAN ONE PLACE 3

REFUSED 7 (HUQ.050)

DON'T KNOW 9 (HUQ.050)



HUQ.040 What kind of place {do you/does SP} go to most often: is it a clinic, doctor's office, emergency room, or some other place?


CLINIC OR HEALTH CENTER 1

DOCTOR'S OFFICE OR HMO 2

HOSPITAL EMERGENCY ROOM 3

HOSPITAL OUTPATIENT DEPARTMENT 4

SOME OTHER PLACE 5

REFUSED 7

DON'T KNOW 9



HUQ.050 {During the past 12 months, how/How} many times {have you/has SP} seen a doctor or other health care professional about {your/his/her} health at a doctor's office, a clinic, hospital emergency room, at home or some other place? Do not include times {you were/s/he was} hospitalized overnight.


CAPI INSTRUCTION:

DISPLAY "12 MONTHS" ONLY IF SP'S AGE IS >= 1.


NONE 0

1 1 (HUQ.071)

2 TO 3 2 (HUQ.071)

4 TO 9 3 (HUQ.071)

10 TO 12 4 (HUQ.071)

13 OR MORE 5 (HUQ.071)

REFUSED 7 (HUQ.071)

DON'T KNOW 9 (HUQ.071)


CAPI INSTRUCTION:

ELIMINATE CURRENT HELP.

ADD NEW HELP 1 FOR 07. INCLUDE: PHYSICIAN’S, OSTEOPATHS, DOCTOR’S ASSISTANTS, NURSE PRACTITIONERS, NURSES, LAB TECHNICIANS AND TECHNICIANS WHO ADMINISTER SHOTS (I.E., ALLERGY SHOTS), PARAMEDICS, MEDICS AND PHYSICAL THERAPISTS WHO WORK WITH OR IN A DOCTOR’S OFFICE. DO NOT INCLUDE: DENTISTS, ORAL SURGEONS, CHIROPRACTORS, CHEROPODISTS, PODIATRISTS, NATURAPATHS, CHRISTIAN SCIENCE HEALERS, OPTICIANS, OPTOMETRISTS AND PSYCHOLOGISTS OR SOCIAL WORKERS.



HUQ.060 About how long has it been since {you/SP} last saw or talked to a doctor or other health care professional about {your/his/her} health? Include doctors seen while {you were} {he/she was} a patient in a hospital. Has it been . . .


6 months or less, 1

more than 6 months, but not more than

1 year ago, 2

more than 1 year, but not more than

3 years ago, 3

more than 3 years, or 4

never? 5

REFUSED 7

DON'T KNOW 9



HUQ.071 {During the past 12 months, were you/{Was/was} SP} a patient in a hospital overnight? Do not include an overnight stay in the emergency room.


CAPI INSTRUCTION:

DISPLAY "12 MONTHS" ONLY IF SP'S AGE IS >= 1.

DISPLAY "WAS SP" WITH LEADING CAPS, IF SP'S AGE IS <1.


YES 1

NO 2 (BOX 2)

REFUSED 7 (BOX 2)

DON'T KNOW 9 (BOX 2)


CAPI INSTRUCTION:

ELIMINATE CURRENT HELP. ADD NEW HELP.


HELP SCREEN:

Overnight Stay in a Hospital: A person is admitted to a hospital and spends at least one night in the hospital. Note that a person can be “admitted” to a hospital without staying overnight. Do not count as “overnight” when a person is admitted and discharged on the same day. Do not include visits outpatient clinics or stays for non-medical reasons, such as staying with a family member.


Emergency Room: Do not include urgent care centers, which are not part of a hospital, or outpatient clinics.



HUQ.080 How many different times did {you/SP} stay in any hospital overnight or longer {during the past 12 months}? (Do not count total number of nights, just total number of hospital admissions for stays which lasted 1 or more nights.)


CAPI INSTRUCTION:

DISPLAY "12 MONTHS" ONLY IF SP'S AGE IS >= 1.

HARD EDIT: 1-366.

SOFT EDIT: 1-6.


|___|___|___|

ENTER NUMBER


REFUSED 77777

DON'T KNOW 99999


CAPI INSTRUCTION:

ELIMINATE CURRENT HELP.



BOX 1A


OMITTED


BOX 2


CHECK ITEM 085:

IF SP AGE >= 4, CONTINUE.

OTHERWISE, GO TO END OF SECTION.



HUQ.090 During the past 12 months, that is since {DISPLAY CURRENT MONTH} of {DISPLAY LAST YEAR}, {have you/has SP} seen or talked to a mental health professional such as a psychologist, psychiatrist, psychiatric nurse or clinical social worker about {your/his/her} health?


YES 1

NO 2

REFUSED 7

DON'T KNOW 9

IMMUNIZATION



BOX 0


CHECK ITEM IMQ.005:

IF SP AGE >= 2, CONTINUE.

OTHERWISE, GO TO IMQ.020.



BOX 1


OMITTED



IMQ.011 Hepatitis (Hep-a-ti-tis) A vaccine is given as a two dose series to some children older than 2 years and also to some adults, especially people who travel outside the United States. It has only been available since 1995. {Have you/Has SP} ever received the hepatitis A vaccine?


INTERVIEWER INSTRUCTION: A COMBINATION HEPATITIS A AND HEPATITIS B VACCINE SHOULD BE COUNTED AS THE A VACCINE FOR THE PURPOSE OF THIS QUESTION. CODE 'YES AT LEAST 2 DOSES' IF RESPONDENT ANSWERS 3 OR 4 DOSES WERE RECEIVED. CODE 'LESS THAN 2 DOSES' ONLY IF MENTIONED BY RESPONDENT.



YES AT LEAST 2 DOSES 1

LESS THAN 2 DOSES 2

NO DOSES 3

REFUSED 7

DON'T KNOW 9


CAPI INSTRUCTION:

REMOVE CURRENT HELP.



IMQ.020 Hepatitis (Hep-a-ti-tis) B vaccine is given in three separate doses and has been recommended for all newborn infants since 1991. In 1995, it was recommended that adolescents be given the vaccine. Persons who may be exposed to other people’s blood, such as health care workers, also may have received the vaccine. {Have you/Has SP} ever received the 3-dose series of the hepatitis B vaccine?


INTERVIEWER INSTRUCTION: A COMBINATION HEPATITIS A AND HEPATITIS B VACCINE SHOULD BE COUNTED AS THE B VACCINE FOR THE PURPOSE OF THIS QUESTION. CODE 'YES AT LEAST 3 DOSES' IF RESPONDENT ANSWERS 4 DOSES WERE RECEIVED. CODE 'LESS THAN 3 DOSES' ONLY IF MENTIONED BY RESPONDENT.


YES AT LEAST 3 DOSES 1

LESS THAN 3 DOSES 2

NO DOSES 3

REFUSED 7

DON'T KNOW 9


CAPI INSTRUCTION:

REMOVE CURRENT HELP.



BOX 2


CHECK ITEM IMQ.035:

IF SP = FEMALE AND AGE IS >= 9 AND <= 59, CONTINUE.

OTHERWISE, GO TO END OF SECTION.



IMQ.040 Human Papillomavirus (HPV) vaccine is given to prevent cervical cancer in girls and women. There are two HPV vaccines available called Cervarix and Gardasil. It is given in 3 separate doses over a 6 month period. {Have you/Has SP} ever received one or more doses of the HPV vaccine?


YES 1 (INQ.042)

NO 2 (END OF SECTION)

REFUSED 7 (END OF SECTION)

DON'T KNOW 9 (END OF SECTION)



IMQ.new1 Which of the HPV vaccines did {you/SP} receive, Cervarix or Gardasil?


CERVARIX 1

GARDASIL 2

BOTH 3

REFUSED 7

DON'T KNOW 9



IMQ.new2 How old {were you/was SP} when {you/SP} received your first dose of the {Cervarix/Gardasil/vaccine}?


HARD EDIT: IF AGE SP RECEIVED FIRST DOSE IS GREATER THAN SP’S CURRENT AGE, DISPLAY “AGE SP RECEIVED FIRST DOSE CANNOT EXCEED SP’S CURRENT AGE.”

SOFT EDIT: IF DIFFERENCE BETWEEN SP’S CURRENT AGE AND AGE SP RECEIVED FIRST DOSE IS MORE THAN SEVEN YEARS, DISPLAY “UNLIKELY RESPONSE AS HPV VACCINES WERE NOT AVAILABLE AT THAT TIME. PLEASE CONFIRM AGE SP RECEIVED FIRST DOSE.”



|___|___|___|

ENTER AGE IN YEARS


REFUSED 7

DON'T KNOW 9


CAPI INSTRUCTION:

IF IMQ.042 = 1, DISPLAY “Cervarix”; ELSE IF IMQ.042 = 2, DISPLAY “Gardasil”; ELSE DISPLAY “vaccine”.



IMQ.045 How many doses of {Cervarix/Gardasil/the vaccine} {have you/has SP} received?


1 DOSE 1

2 DOSES 2

3 DOSES 3

REFUSED 7

DON'T KNOW 9


CAPI INSTRUCTION:

IF IMQ.042 = 1, DISPLAY “Cervarix”; ELSE IF IMQ.042 = 2, DISPLAY “Gardasil”; ELSE DISPLAY “the vaccine”.




P

NHANES 2009

HYSICAL FUNCTIONING



BOX 1A


CHECK ITEM PFQ.001:

IF AGE OF SP IS >= 20, GO TO PFQ.049

OTHERWISE, CONTINUE.




PFQ.020 {Do you/Does SP} have an impairment or health problem that limits {your/his/her} ability to {walk, run or play} {walk or run}?


CAPI INSTRUCTION:

IF CHILD'S AGE = 5-15, DISPLAY "WALK, RUN OR PLAY". IF SP'S AGE = 16-19, DISPLAY "WALK OR RUN".


Yes 1

No 2 (BOX 1BB)

Refused 7 (BOX 1BB)

DON'T know 9 (BOX 1BB)



PFQ.030 Is this an impairment or health problem that has lasted, or is expected to last 12 months or longer?


YES 1

NO 2

REFUSED 7

DON'T KNOW 9



BOX 1BB


CHECK ITEM PFQ.035A:

IF SP AGE <= 17, CONTINUE.

OTHERWISE, GO TO END OF SECTION.




PFQ.041 Does {SP} receive Special Education or Early Intervention Services?


YES 1

NO 2

REFUSED 7

DON'T KNOW 9



BOX 1C


CHECK ITEM PFQ.045:

GO TO END OF SECTION.




PFQ.049 The next set of questions is about limitations caused by any long-term physical, mental or emotional problem or illness. Please do not include temporary conditions, such as a cold [or pregnancy].


Does a physical, mental or emotional problem now keep {you/SP} from working at a job or business?


YES 1

NO 2

REFUSED 7

DON'T KNOW 9



PFQ.051 {Are you/Is SP} limited in the kind or amount of work {you/s/he} can do because of a physical, mental or emotional problem?


YES 1

NO 2

REFUSED 7

DON'T KNOW 9



PFQ.054 Because of a health problem, {do you/does SP} have difficulty walking without using any special equipment?


YES 1

NO 2

REFUSED 7

DON'T KNOW 9



PFQ.057 {Are you/Is SP} limited in any way because of difficulty remembering or because {you/s/he} experience{s} periods of confusion?


YES 1

NO 2

REFUSED 7

DON'T KNOW 9



BOX 1D


CHECK ITEM PFQ.058:

IF 'YES' (CODE 1) IN PFQ.049, PFQ.051, PFQ.054, OR PFQ.057, GO TO PFQ.061.

OTHERWISE, CONTINUE.




PFQ.059 {Are you/Is SP} limited in any way in any activity because of a physical, mental or emotional problem?


YES 1

NO 2

REFUSED 7

DON'T KNOW 9



BOX 1E


CHECK ITEM PFQ.059A:

IF SP AGE IS <=59 AND 'NO' (CODE 2) ENTERED IN PFQ.049, PFQ.057 AND PFQ.059, GO TO PFQ.090.

OTHERWISE, CONTINUE.




PFQ.061
a-r

The next questions ask about difficulties {you/SP} may have doing certain activities because of a health problem. By "health problem" we mean any long-term physical, mental or emotional problem or illness {not including pregnancy}.


By {yourself/himself/herself} and without using any special equipment, how much difficulty {do you/does SP} have . . .


HAND CARD PFQ1

DO NOT INCLUDE TEMPORARY CONDITIONS LIKE PREGNANCY OR BROKEN LIMBS.


CAPI INSTRUCTION:

IF PFQ.054 = '1' (YES), DO NOT DISPLAY 'B' OR 'C'.

IF SP FEMALE, DISPLAY 'NOT INCLUDING PREGNANCY'.


RESPONSES: NO DIFFICULTY = 1, SOME DIFFICULTY = 2, MUCH DIFFICULTY = 3,

UNABLE TO DO = 4, DO NOT DO THIS ACTIVITY = 5, REFUSED = 7, DON'T KNOW = 9.


a. managing {your/his/her} money [such as keeping track of

{your/his/her} expenses or paying bills]? ____


b. walking for a quarter of a mile [that is about 2 or 3 blocks]? ____


c. walking up 10 steps without resting? ____


d. stooping, crouching, or kneeling? ____


e. lifting or carrying something as heavy as 10 pounds [like a

sack of potatoes or rice]? ____


f. doing chores around the house [like vacuuming, sweeping,

dusting, or straightening up]? ____


g. preparing {your/his/her} own meals? ____


h. walking from one room to another on the same level? ____


i. standing up from an armless straight chair? ____


j. getting in or out of bed? ____


k. eating, like holding a fork, cutting food or drinking from a glass? ____


l. dressing {yourself/himself/herself}, including tying shoes,

working zippers, and doing buttons? ____


m. standing or being on {your/his/her} feet for about 2 hours? ____


n. sitting for about 2 hours? ____


o. reaching up over {your/his/her} head? ____


p. using {your/his/her} fingers to grasp or handle small objects? ____


q. going out to things like shopping, movies, or sporting events? ____


r. participating in social activities [visiting friends, attending

clubs or meetings or going to parties]? ____


s. doing things to relax at home or for leisure [reading, watching

TV, sewing, listening to music]? ____


t. pushing or pulling large objects like a living room chair? ____



BOX 1F


CHECK ITEM PFQ.066A:

IF 'SOME DIFFICULTY' (CODE 2), 'MUCH DIFFICULTY' (CODE 3), OR 'UNABLE TO DO' (CODE 4) IN PFQ.061 A THROUGH T, CONTINUE.

OTHERWISE, GO TO PFQ.090.




PFQ.063 What condition or health problem causes {you/SP} to have difficulty with or need help with {NAME OF UP TO 3 ACTIVITIES/these activities}?


HAND CARD PFQ2

ENTER ALL THAT APPLY UP TO 5 BUT DO NOT PROBE.

DO NOT ENTER 'OLD AGE' AS CONDITION -- IF OLD AGE IS REPORTED, PROBE FOR ANY OTHER CONDITION.


CAPI INSTRUCTION:

IF THE TOTAL NUMBER OF ITEMS CODED 'SOME DIFFICULTY' (CODE 2), 'MUCH DIFFICULTY' (CODE 3), OR 'UNABLE TO DO' (CODE 4) IN PFQ.061 A THROUGH T <=3, DISPLAY EACH ITEM NAME IN THE TEXT OF QUESTION. IF MORE THAN 3 ITEMS ARE CODED IN THIS MANNER DISPLAY "THESE ACTIVITIES" IN THE TEXT OF QUESTION.


ARTHRITIS/RHEUMATISM 10

BACK OR NECK PROBLEM 11

BIRTH DEFECT 12

CANCER 13

DEPRESSION/ANXIETY/EMOTIONAL

PROBLEM 14

OTHER DEVELOPMENTAL PROBLEM

(SUCH AS CEREBRAL PALSY) 15

DIABETES 16

FRACTURES, BONE/JOINT INJURY 17

HEARING PROBLEM 18

HEART PROBLEM 19

HYPERTENSION/HIGH BLOOD

PRESSURE 20

LUNG/BREATHING PROBLEM 21

MENTAL RETARDATION 22

OTHER INJURY 23

SENILITY 24

STROKE PROBLEM 25

VISION/PROBLEM SEEING 26

WEIGHT PROBLEM 27

OTHER IMPAIRMENT/PROBLEM 28

REFUSED 77

DON'T KNOW 99



PFQ.090 {Do you/Does SP} now have any health problem that requires {you/him/her} to use special equipment, such as a cane, a wheelchair, a special bed, or a special telephone?


YES 1

NO 2

REFUSED 7

DON'T KNOW 9














MEDICAL CONDITIONS



MCQ.010 The following questions are about different medical conditions.


Has a doctor or other health professional ever told {you/SP} that {you have/s/he/SP has} asthma (az-ma)?


CAPI INSTRUCTION:

IF SP AGE >= 16, DISPLAY “YOU” AND “YOU HAVE”.

IF SP AGE = 12-15, DISPLAY "SP" AND “S/HE HAS”.

IF SP AGE < 12, DISPLAY “YOU” AND “SP HAS”.


INTERVIEWER: DO NOT ACCEPT SELF-DIAGNOSED OR DIAGNOSED BY A PERSON WHO IS NOT A DOCTOR OR OTHER HEALTH PROFESSIONAL.


YES 1

NO 2 (MCQ.053)

REFUSED 7 (MCQ.053)

DON'T KNOW 9 (MCQ.053)


HELP SCREEN:

Asthma: Is a disease of the airways that carry air in and out of your lungs. It causes wheezing or whistling sounds when you breathe and can make you short of breath.




MCQ.025 How old {were you/was SP} when {you were/s/he was} first told {you/he/she} had asthma (az-ma)?


IF LESS THAN 1 YEAR, ENTER 1


CAPI INSTRUCTION:

IF SP AGE >= 16, DISPLAY "WERE YOU" AND "YOU WERE".

IF SP AGE = 12-15, DISPLAY "WAS {SP}" AND "S/HE WAS".

IF SP AGE < 12, DISPLAY "WAS {SP}" AND "YOU WERE".


|___|___|___|

ENTER AGE IN YEARS


CAPI INSTRUCTION:

HARD EDIT: 1-120


REFUSED 777

DON'T KNOW 999



MCQ.035 {Do you/Does SP} still have asthma (az-ma)?


YES 1

NO 2 (MCQ.053)

REFUSED 7 (MCQ.053)

DON'T KNOW 9 (MCQ.053)



MCQ.040 During the past 12 months, {have you/has SP} had an episode of asthma (az-ma) or an asthma attack?


YES 1

NO 2

REFUSED 7

DON'T KNOW 9


HELP SCREEN:

Episode/attack: When your asthma symptoms become worse than usual it is called an asthma episode or attack.



MCQ.050 [During the past 12 months], {have you/has SP} had to visit an emergency room or urgent care center because of asthma (az-ma)?


YES 1

NO 2

REFUSED 7

DON'T KNOW 9


HELP SCREEN:

Emergency Room: Is a hospital service that treats injuries, heart attacks or other health emergencies. It is open 24 hours a day. Appointments are not needed. Doctors, nurses, or physician's assistants give you the health care.



MCQ.051 During the past 3 months, {have you/has SP} taken medication prescribed by a doctor or other health professionals for asthma?


YES 1

NO 2

REFUSED 7

DON'T KNOW 9



MCQ.053 During the past 3 months, {have you/has SP} been on treatment for anemia (a-nee-me-a), sometimes called "tired blood" or "low blood"? [Include diet, iron pills, iron shots, transfusions as treatment.]


YES 1

NO 2

REFUSED 7

DON'T KNOW 9


HELP SCREEN:

Anemia: Anemia (uh-NEE-me-eh) is a condition in which a person’s blood has a lower than normal number of red blood cells (RBCs).



BOX 2


CHECK ITEM MCQ.055:

IF SP AGE < 2, GO TO END OF SECTION.

IF SP AGE 2-15, GO TO BOX 3.

IF SP AGE 16+, CONTINUE.




MCQ.070 {Have you/Has SP} ever been told by a doctor or other health care professional that {you/s/he} had psoriasis (sore-eye-asis)?


YES 1

NO 2 (MCQ 080)

REFUSED . ……………………………………7 (MCQ 080)

DON'T KNOW 9 (MCQ 080)



HELP SCREEN:

Psoriasis: Psoriasis is an itchy red skin rash. It has very sore patches of itchy, thickened red skin with white or silvery scales. It is usually on the elbows, knees, scalp, trunk, hands or feet, but it can be anywhere. It sometimes runs in families.


MCQ.new5 {Do you/Does SP} currently have . . .


HAND CARD


little or no psoriasis, 1

only a few patches (that could be covered

by one or two palms of {your/his/her}
hand), 2

scattered patches (that could be covered

between three and ten palms of {your/

his/her} hand), or 3

extensive psoriasis (covering large areas of

the body, that would be more than ten

palms of {your/his/her} hand)? 4

REFUSED 7

DON'T KNOW 9



MCQ.080 Has a doctor or other health professional ever told {you/SP} that {you were/s/he/SP was} overweight?


YES 1

NO 2

REFUSED 7

DON'T KNOW 9


Box NEW1


IF SP AGE 16-59, GO TO MCQ.082

IF SP AGE 60+, CONTINUE.



MCQ.new3 The next question asks about difficulties in thinking or remembering that can make a big difference in everyday activities. This does not refer to occasionally forgetting your keys or the name of someone you recently met. This refers to things like confusion or memory loss that are happening more often or getting worse. We want to know how these difficulties impact you or someone in your household. During the past 12 months, have you experienced confusion or memory loss that is happening more often or is getting worse?


YES 1

NO 2

REFUSED 7

DON'T KNOW 9



BOX 2A


OMITTED




BOX 3


CHECK ITEM MCQ.085:

IF SP'S AGE >= 6, CONTINUE.

OTHERWISE, GO TO MCQ.140.




MCQ.082 Has a doctor or other health professional ever told {you/SP} that {you have/s/he/SP has} celiac (sele-ak) disease, also called sprue (sproo)?


CAPI INSTRUCTION:

IF SP AGE >= 16, DISPLAY "YOU" AND "YOU HAVE".

IF SP AGE = 12-15, DISPLAY "SP" AND "S/HE HAS".

IF SP AGE < 12, DISPLAY "YOU" AND "SP HAS".


YES 1

NO 2

REFUSED 7

DON'T KNOW 9


HELP SCREEN:

Celiac Disease: Is a disease where your bowels and stomach can’t tolerate Gluten, which is a protein found in wheat, rye, and barley flour. When people with this disease eat bread products, it makes them sick.



MCQ.086 {Are you/Is SP} on a gluten-free diet?


YES 1

NO 2

REFUSED 7

DON'T KNOW 9


HELP SCREEN:

A gluten-free diet means not eating foods that contain wheat, rye, and barley.



MCQ.092 {Have you/Has SP} ever received a blood transfusion?


YES 1

NO 2 (MCQ.140)

REFUSED 7 (MCQ.140)

DON'T KNOW 9 (MCQ.140)



MCQ.093 In what year did {you/SP} receive {your/his/her} first transfusion?


|___|___|___|___|

ENTER 4-DIGIT YEAR


CAPI INSTRUCTION:

HARD EDIT: 1900-2011


REFUSED 7777

DON’T KNOW 9999



BOX 4


OMITTED




BOX 6


OMITTED




MCQ.140 {Do you/Does SP} have trouble seeing, even when wearing glasses or contact lenses, if {you/he/she} wear{s} them?


YES 1

NO 2

REFUSED 7

DON'T KNOW 9


HELP SCREEN:

Glasses: Includes prescription eyeglasses as well as nonprescription reading glasses purchased at drug stores or variety stores. Do not include safety glasses, which are worn for protection only. Do not include nonprescription sunglasses or glasses or contact lenses worn for cosmetic purposes.



BOX 7


CHECK ITEM MCQ.145:

IF SP'S AGE 6-19, CONTINUE.

IF SP'S AGE >= 20, GO TO MCQ.160.

OTHERWISE, GO TO END OF SECTION.




BOX 7A


CHECK ITEM MCQ.146:

IF SP AGE 8-11 AND SP IS FEMALE, CONTINUE.

OTHERWISE, GO TO MCQ.300b.




MCQ.149 Have {SP's} periods or menstrual (men-stral) cycles started yet?


YES 1 (MCQ.300b)

NO 2 (MCQ.300b)

REFUSED 7 (MCQ.300b)

DON'T KNOW 9 (MCQ.300b)



BOX 8


OMITTED



BOX 8A


OMITTED





MCQ.160
Has a doctor or other health professional
ever told {you/SP}
that {you/s/he} . . .


CAPI INSTRUCTION:
TEXT OF QUESTION SHOULD BE OPTIONAL AFTER FIRST ITEM IS READ.

MCQ.170
{Do you/Does SP} still . . . ?

MCQ.180
How old {were you/was SP} when
{you were/s/he was}
first told
{you/s/he} . . .

MCQ.191
Which type of arthritis was it?

a. had arthritis (ar-thry-tis)?


YES 1

NO 2 (n)

REFUSED 7 (n)

DON'T KNOW 9 (n)



had arthritis?

|___|___|___|

ENTER AGE IN YEARS


REFUSED 777

DON'T KNOW 999


Osteoarthritis or degenerative arthritis..................................................     1

Rheumatoid arthritis.................................  2  

Psoriatic arthritis.....................................    3  

other......................................................     2  

Refused..................................................    7  

Don't know..............................................   9  


n. had gout?


YES 1

NO 2 (b)

REFUSED 7 (b)

DON'T KNOW 9 (b)



had gout?

|___|___|___|

ENTER AGE IN YEARS


REFUSED 777

DON'T KNOW 999



b. had congestive heart failure?


YES 1

NO 2 (c)

REFUSED 7 (c)

DON'T KNOW 9 (c)



had congestive heart failure?

|___|___|___|

ENTER AGE IN YEARS


REFUSED 777

DON'T KNOW 999



c. had coronary (kor-o-nare-ee) heart disease?


YES 1

NO 2 (d)

REFUSED 7 (d)

DON'T KNOW 9 (d)



had coronary heart disease?

|___|___|___|

ENTER AGE IN YEARS


REFUSED 777

DON'T KNOW 999



d. had angina (an--na), also called angina pectoris?


YES 1

NO 2 (e)

REFUSED 7 (e)

DON'T KNOW 9 (e)



had angina, also called angina pectoris?

|___|___|___|

ENTER AGE IN YEARS


REFUSED 777

DON'T KNOW 999




e. had a heart attack (also called myocardial infarction (my-O-car-dee-al in-fark-shun))?


YES 1

NO 2 (f)

REFUSED 7 (f)

DON'T KNOW 9 (f)



had a heart attack (also called myocardial infarction)?

|___|___|___|

ENTER AGE IN YEARS


REFUSED 777

DON'T KNOW 999



f. had a stroke?


YES 1

NO 2 (g)

REFUSED 7 (g)

DON'T KNOW 9 (g)



had a stroke?

|___|___|___|

ENTER AGE IN YEARS


REFUSED 777

DON'T KNOW 999



g. had emphysema (emph-phi-see-ma)?


YES 1

NO 2 (m)

REFUSED 7 (m)

DON'T KNOW 9 (m)



had emphysema?

|___|___|___|

ENTER AGE IN YEARS


REFUSED 777

DON'T KNOW 999



m. had a thyroid (thigh-roid) problem?


YES 1

NO 2 (k)

REFUSED 7 (k)

DON'T KNOW 9 (k)


have a thyroid problem?

YES 1

NO 2

REFUSED 7

DON'T KNOW 9


had a thyroid problem?

|___|___|___|

ENTER AGE IN YEARS


REFUSED 777

DON'T KNOW 999



k. had chronic bronchitis?


YES 1

NO 2 (l)

REFUSED 7 (l)

DON'T KNOW 9 (l)


have chronic bronchitis?

YES 1

NO 2

REFUSED 7

DON'T KNOW 9


had chronic bronchitis?

|___|___|___|

ENTER AGE IN YEARS


REFUSED 777

DON'T KNOW 999



l. had any kind of liver condition?


YES 1

NO 2 (MCQ.220)

REFUSED 7 (MCQ.220)

DON'T KNOW 9 (MCQ.220)


have this liver condition?

YES 1

NO 2

REFUSED 7

DON'T KNOW 9


had this liver condition?

|___|___|___|

ENTER AGE IN YEARS


REFUSED 777

DON'T KNOW 999




HELP SCREENS FOR MCQ.160


MCQ160a

Arthritis: Is a disease that causes pain, swelling or stiffness in joints, for example the hand, the knee, or neck. Common kinds of arthritis are

osteoarthritis and rheumatoid arthritis


MCQ.191

Osteoarthritis: Is the most common kind of arthritis older persons. It is also called degenerative joint disease. Most often, it affects the knees, the hips, the hands, the feet, and the spine. There is usually bony joint enlargement. There can be joint deformity or pain.


Rheumatoid Arthritis: Causes inflammation, redness and swelling of both hands and knees, but it can affect joints anywhere in the body. You may feel sick and tired, and sometimes there are fevers.


Psoriatic Arthritis: Is arthritis caused by the skin rash Psoriasis. Most often it causes redness and swelling of joints such as the spine, knees, hips and hands.


Arthritis: Is a disease that causes pain, swelling or stiffness in joints, for example the hand, the knee, or neck. Common kinds of arthritis are osteoarthritis and rheumatoid arthritis.


MCQ160n

Gout: Gout attacks are the sudden onset of pain, redness and swelling in a joint. The big toe is the most common joint attacked, but knee and wrist attacks are also common. Gout is caused by uric acid crystal build up in the body.


MCQ160b

Congestive Heart Failure: Is when the heart can't pump enough blood to the body. Blood and fluid "back up" into the lungs, which makes you short of breath. Heart failure causes fluid buildup in and swelling of the feet, legs and ankles.


INTERVIEWER: DO NOT COUNT HEART MURMURS, IRREGULAR HEART BEATS, CHEST PAIN OR HEART ATTACKS.


MCQ160c

Coronary Heart Disease: Is when the blood vessels that bring blood to the heart muscle become narrow and hardened due to plaque (plak). Plaque buildup is called atherosclerosis (ATH-er-o-skler-O-sis). Blocked blood vessels to the heart can cause chest pain or a heart attack.


INTERVIEWER: IF THE RESPONDENT REPORTS CHEST PAIN, PROBE IF A DOCTOR TOLD THEM THAT THEY HAD BLOCKED BLOOD VESSELS OR CORONARY HEART DISEASE.


MCQ160d

Angina (Angina Pectoris): (AN-ji-na or an-JI-na). Angina is chest pain or discomfort that occurs when the heart does not get enough blood.


INTERVIEWER: IF THE RESPONDENT REPORTS CHEST PAIN, PROBE IF A DOCTOR TOLD THEM THAT THEY HAD BLOCKED BLOOD VESSELS OR ANGINA.


MCQ160e

Heart Attack (Myocardial Infarction): A heart attack happens when there is narrowing of blood vessel that supplies the heart. A blood clot can form and suddenly cut off the blood supply to the heart muscle. This damage causes crushing chest pain that may also be felt in the arms or neck. There can also be nausea, sweating, or shortness of breath.


MCQ160f

Stroke: Is when the blood supply to a part of the brain is suddenly cut off by a blood clot or a burst blood vessel in the brain. The part of the brain affected can no longer do its job. There can be numbness or weakness on one side of the body; trouble speaking or understanding speech; loss of eyesight; trouble with walking, dizziness, loss of balance or coordination; or severe headache.


MCQ160g

Emphysema: Is disease where the tiny air sacs in the lungs become damaged so less air goes in and out. As a result, the body does not get the oxygen it needs. Emphysema makes it hard to catch your breath. It is often due to smoking.


MCQ160m

Thyroid Problem: The thyroid is a gland in the neck that makes thyroid hormone. The thyroid sets your body's energy level: the temperature and heart rate. Thyroid problems include thyroid levels that are too high or too low, an inflamed or enlarged gland, and thyroid lumps or cancer.


INTERVIEWER: INCLUDE HYPERTHYROID (OVERACTIVE THYROID); HYPOTHYROID (UNDERACTIVE THYROID); GRAVES DISEASE (HYPERTHYROID AND/OR THYROID EYE DISEASE); HASHIMOTO'S THYRODITIS (INFLAMED THYROID); POSTPARTUM THYROIDITIS (INFLAMED THYROID THAT HAPPENS AFTER DELIVERY OF A BABY); GOITER (ENLARGED THYROID); THYROID NODULE (LUMP IN THYROID- NOT CANCER); AND THYROID CANCER.


MCQ160k

Chronic Bronchitis: Is a long lasting breathing problem where you constantly cough up phlegm. Often there is a daily cough with phlegm for several months at a time for two or more years and you are short of breath. It is often due to smoking.

MCQ.220 {Have you/Has SP} ever been told by a doctor or other health professional that {you/s/he} had cancer or a malignancy (ma-lig-nan-see) of any kind?


YES 1

NO 2 (MCQ.300a)

REFUSED 7 (MCQ.300a)

DON'T KNOW 9 (MCQ.300a)


HELP SCREEN:

Cancer: Is an abnormal growth that can spread to other parts of the body. This causes damage and even death. Most cancers are named for where they start: for example lung cancer or breast cancer. A cancer is also called a "malignancy" or a "malignant tumor."


Malignancy: A tumor or growth that is a cancer. (see Cancer)


MCQ.230 What kind of cancer was it?


ENTER UP TO 3 KINDS. IF RESPONDENT OFFERS MORE THAN 3, ENTER 66 AS THE 4TH RESPONSE.


CAPI INSTRUCTIONS:

ALLOW UP TO 3 ENTRIES.

ALLOW 'MORE THAN 3 KINDS (CODE 66) ONLY AS 4TH ENTRY.


(        ) (        ) (        ) (        )


BLADDER 10

BLOOD 11

BONE 12

BRAIN 13

BREAST 14

CERVIX (CERVICAL) 15

COLON 16

ESOPHAGUS (ESOPHAGEAL) 17

GALLBLADDER 18

KIDNEY 19

LARYNX/WINDPIPE 20


LEUKEMIA 21

LIVER 22

LUNG 23

LYMPHOMA/HODGKINS' DISEASE 24

MELANOMA 25

MOUTH/TONGUE/LIP 26

NERVOUS SYSTEM 27

OVARY (OVARIAN) 28

PANCREAS (PANCREATIC) 29

PROSTATE 30

RECTUM (RECTAL) 31


SKIN (NON-MELANOMA) 32

SKIN (DON'T KNOW WHAT KIND) 33

SOFT TISSUE (MUSCLE OR FAT) 34

STOMACH 35

TESTIS (TESTICULAR) 36

THYROID 37

UTERUS (UTERINE) 38

OTHER 39

MORE THAN 3 KINDS 66

REFUSED 77

DON'T KNOW 99



BOX 9


LOOP 1:

ASK MCQ.240 FOR EACH TYPE OF CANCER (CODES 10-39 AND CODE 99) ENTERED IN MCQ.230.



MCQ.240 How old {were you/was SP} when {TYPE OF CANCER/cancer} was first diagnosed?


CAPI INSTRUCTIONS:

DISPLAY TYPE OF CANCER (CODE 10-39) ENTERED IN MCQ.230.

DISPLAY "CANCER " IF DON'T KNOW ENTERED IN MCQ.230.


|___|___|___|

ENTER AGE IN YEARS


REFUSED 777

DON'T KNOW 999



BOX 9A


END LOOP 1:

ASK MCQ.240 FOR NEXT TYPE OF CANCER (CODES 10-39 AND CODE 99) ENTERED IN MCQ.230.

IF NO NEXT TYPE, CONTINUE WITH MCQ.300a.




BOX 10


OMITTED




BOX 10A


CHECK ITEM MCQ.248:

IF SP AGE >= 20, CONTINUE.

OTHERWISE, GO TO MCQ.300b.




MCQ.300
a/b/c

Including living and deceased, were any of {SP’s/your} close biological that is, blood relatives including father, mother, sisters or brothers, ever told by a health professional that they had . . .


CAPI INSTRUCTION:

TEXT OF QUESTION SHOULD BE OPTIONAL, “[ ]’S, AFTER FIRST TIME.


a. a heart attack or angina (an--na) before the age of 50?


YES 1

NO 2

REFUSED 7

DON'T KNOW 9


b. asthma (az-ma)?


CAPI INSTRUCTION:

IF SP AGE 6-19, DISPLAY: Including living and deceased, were any of {SP’s/your} close biological that is, blood relatives including father, mother, sisters or brothers, ever told by a health professional that they had . . .

YES 1

NO 2

REFUSED 7

DON'T KNOW 9


BOX 10C


CHECK ITEM MCQ.251:

IF SP AGE 6-15, GO TO END OF SECTION.

IF SP AGE16-19, Go to MCQnew1

OTHERWISE, CONTINUE.



c. diabetes?


YES 1

NO 2

REFUSED 7

DON'T KNOW 9



BOX 11


Deleted




MCQ.new1 To lower {your/his/her} risk for certain diseases, during the past 12 months {have you/has s/he} ever

a/b/c/d been told by a doctor or health professional to:


CAPI INSTRUCTION:

HELP SCREEN: CONTROLLING YOUR WEIGHT MIGHT BE RECOMMENDED TO HELP PREVENT HIGH BLOOD PRESSURE, DIABETES, HIGH CHOLESTEROL AND OTHER CONDITIONS.


RESPONSES: YES = 1, NO = 2, REFUSED = 7, DON’T KNOW = 9


a. control {your/his/her} weight or lose weight? ____


b. increase {your/his/her} physical activity or exercise? ____


c. reduce the amount of sodium in {your/his/her} diet? ____


d. reduce the amount of fat or calories in {your/his/her} diet? ____




MCQnew2 To lower {your/his/her} risk for certain diseases, {are you/is s/he} now doing any of the following:

a/b/c/d

CAPI INSTRUCTION:

HELP SCREEN: CONTROLLING YOUR WEIGHT MIGHT BE RECOMMENDED TO HELP PREVENT HIGH BLOOD PRESSURE, DIABETES, HIGH CHOLESTEROL AND OTHER CONDITIONS.


RESPONSES: YES = 1, NO = 2, REFUSED = 7, DON’T KNOW = 9


a. controlling {your/his/her} weight or losing weight? ____


b. increasing {your/his/her} physical activity or exercise? ____


c. reduce the amount of sodium in {your/his/her} diet? ____


d. reduce the amount of fat or calories in {your/his/her} diet? ____



BOXNEW2


IF SP AGE < 60, GO TO END OF SECTION

OTHERWISE, CONTINUE



MCQ.new4 During the past 7 days, {have you/ has SP} had trouble remembering where {you/he/she} put things, like {your/his/her} keys or {your/his/her} wallet?


Show HANDCARD MCQ-X


Never (in the past 7 days or week)………………………………0

Rarely (Once in the past week) ………………………………….1

Sometimes (Two or three times in the past week)…………….2

Often (About once a day)…………………………………………3

Very often (Several times a day)………………………………...4






KIDNEY CONDITIONS



KIQ.022 {Have you/Has SP} ever been told by a doctor or other health professional that {you/s/he} had weak or failing kidneys? Do not include kidney stones, bladder (bladd-er) infections, or incontinence (in‑kon‑ti‑nens).


YES 1

NO 2 (KIQ.026)

REFUSED 7 (KIQ.026)

DON'T KNOW 9 (KIQ.026)



KIQ.025 In the past 12 months, {have you/has SP} received dialysis (either hemodialysis (heemo-di-al-i-sis) or peritoneal dialysis (pare-i-ton-nee-al di-al-i-sis))?


YES 1

NO 2

REFUSED 7

DON'T KNOW 9



KIQ.026 {Have you/Has SP} ever had kidney stones?


YES 1

NO 2 (END OF SECTION)

REFUSED 7 (END OF SECTION)

DON'T KNOW 9 (END OF SECTION)



KIQ.028 How many times {have you/has SP} passed a kidney stone?


|___|___|

ENTER NUMBER OF TIMES


SOFT EDIT 1-12


NEVER 1

REFUSED 77

DON'T KNOW 99








DIABETES



DIQ.010 {Other than during pregnancy, {have you/has SP}/{Have you/Has SP}} ever been told by a doctor or other health professional that {you have/{s/he/SP} has} diabetes or sugar diabetes?


CAPI INSTRUCTION:

IF SP AGE >= 16, DISPLAY "HAVE YOU" AND "YOU HAVE"

IF SP AGE 12-15, DISPLAY "HAS {SP}" AND "S/HE HAS"

IF SP AGE <12, DISPLAY "HAVE YOU" AND "{SP} HAS"

IF SP IS FEMALE AND AGE >= 20, DISPLAY "OTHER THAN DURING PREGNANCY, {HAVE YOU/HAS SP}".


YES 1

NO 2 (BOX 4)

BORDERLINE OR PREDIABETES 3 (BOX 4)

REFUSED 7 (BOX 4)

DON'T KNOW 9 (BOX 4)



DIQ.040
G/Q

How old {was SP/were you} when a doctor or other health professional first told {you/him/her} that {you/s/he} had diabetes or sugar diabetes?


CAPI INSTRUCTION:

IF SP AGE >= 16, DISPLAY "WERE YOU" AND "YOU" AND "YOU"

IF SP AGE 12-15, DISPLAY "WAS {SP}" AND "HIM/HER" AND "S/HE"

IF SP AGE <12, DISPLAY "WAS {SP}" AND "YOU" AND "S/HE"


|___|___|

ENTER AGE IN YEARS


LESS THAN 1 YEAR 2

REFUSED 777

DON'T KNOW 999



BOX 4


CHECK ITEM DIQ.159:

IF AGE < 12 OR DIQ.010 = 1 (YES) GO TO DIQ.050.

IF AGE >= 12 AND DIQ.010 = 3, GO TO DIQ.170.

OTHERWISE, CONTINUE.



DIQ.160 {Have you/Has SP} ever been told by a doctor or other health professional that {you have/SP has} any of the following: prediabetes, impaired fasting glucose, impaired glucose tolerance, borderline diabetes or that {your/her/his} blood sugar is higher than normal but not high enough to be called diabetes or sugar diabetes?


HAND CARD DIQ1


YES 1

NO 2

REFUSED 7

DON’T KNOW 9


HELP SCREEN: PREDIABETES, IMPAIRED FASTING GLUCOSE, IMPAIRED GLUCOSE TOLERANCE, OR BORDERLINE DIABETES OCCURS WHEN BLOOD SUGAR (GLUCOSE) LEVELS ARE HIGHER THAN NORMAL BUT NOT HIGH ENOUGH TO BE DIABETES.



DIQ.170 {Have you/Has SP} ever been told by a doctor or other health professional that {you have/s/he has} health conditions or a medical or family history that increases {your/his/her} risk for diabetes?


YES 1

NO 2

REFUSED 7

DON’T KNOW 9



DIQ.new1 {Do you/Does SP} feel {you/SP} could be at risk for diabetes or prediabetes?


YES 1

NO 2 (DIQ.180)

REFUSED 7 (DIQ.180)

DON’T KNOW 9 (DIQ.180)


DIQ.new2 Why {Do you/Does SP} think {you are/SP is} at risk for diabetes or prediabetes?

INTERVIEWER INSTRUCTION: DO NOT READ. CODE ALL THAT APPLY.

CAPI INSTRUCTION: IF RESPONDENT ANSWERS “OTHER”, ALLOW ENTER RESPONSE UP TO 250 CHARACTERS.


HAND CARD (NEW 1)

FAMILY HISTORY 1

OVERWEIGHT 2

AGE 3

POOR DIETARY 4

RACE …. 5

HAD A BABY THAT WEIGHTED OVER 9 LBS. AT

BIRTH …. 6

LACK OF PHYSICAL ACTIVITY OR SEDENTARY

LIFESTYLE …. 7

HIGH BLOOD PRESSURE 8

HIGH BLOOD SUGAR 9

HIGH CHOLESTEROL 10

HYPOGLYCEMIC 11

EXTREME HUNGER 12

TINGLING/NUMBNESS IN HANDS OR FEET 13

BLURRED VISION 14

INCRESED FATIGUE 15

ANYONE COULD BE AT RISK 16

DOCTOR WARNING 17

OTHER, SPECIFY 20

REFUSAL 77

DON”T KNOW 99



DIQ.180 {Have you/Has SP} had a blood test for high blood sugar or diabetes within the past three years?


INTERVIEWER INSTRUCTION: DO NOT INCLUDE URINE TESTS


YES 1

NO 2

REFUSED 7

DON’T KNOW 9



DIQ.050 {Is SP/Are you} now taking insulin?


YES 1

NO 2 (BOX 0)

REFUSED 7 (BOX 0)

DON'T KNOW 9 (BOX 0)


HELP SCREEN:

Insulin: A chemical used in the treatment of diabetes. Typically, insulin is administered with a syringe by the

patient.



DIQ.060
G/Q/U

For how long {have you/has SP} been taking insulin?


|___|___|___|

ENTER NUMBER (OF MONTHS OR YEARS)


LESS THAN 1 MONTH 2

REFUSED 777

DON'T KNOW 999


ENTER UNIT


MONTHS 1

YEARS 2


HELP SCREEN:

Insulin: A chemical used in the treatment of diabetes. Typically, insulin is administered with a syringe by the patient.



BOX 0


CHECK ITEM DIQ.065:

IF DIQ.010 = 1 (YES) OR DIQ.160 = 1 (YES) OR DIQ.010 = 3, CONTINUE.

OTHERWISE, GO TO END OF SECTION.



DIQ.070 {Is SP/Are you} now taking diabetic pills to lower {{his/her}/your} blood sugar? These are sometimes called oral agents or oral hypoglycemic agents.


YES 1

NO 2

REFUSED 7

DON'T KNOW 9



BOX 8


CHECK ITEM DIQ.229:

IF DIQ.010 = 3 OR DIQ.160 = 1 (YES), GO TO END OF SECTION.

OTHERWISE, CONTINUE.



DIQ.230 When was the last time {you/SP} saw a diabetes nurse educator or dietitian or nutritionist for {your/his/her} diabetes? Do not include doctors or other health professionals.


INTERVIEWER INSTRUCTION: IF RESPONDENT ANSWERS “TODAY” OR A PERIOD LESS THAN A MONTH, CODE 1 – 1 YEAR AGO OR LESS.


1 YEAR AGO OR LESS 1

MORE THAN 1 YEAR AGO BUT NO MORE
THAN 2 YEARS AGO 2

MORE THAN 2 YEARS AGO BUT NO MORE
THAN 5 YEARS AGO 3

MORE THAN 5 YEARS AGO 4

NEVER 5

REFUSED 7

DON’T KNOW 9


HELP SCREEN: A diabetes nurse educator is a nurse who teaches people with diabetes and who is knowledgeable about the day-to-day aspects of diabetes self-care, such as, use of diabetes medications, checking and controlling blood glucose levels, managing weight through diet and physical activity, and maintaining a healthy pregnancy if diabetes is present.



DIQ.240 Is there one doctor or other health professional {you usually see/SP usually sees} for {your/his/her} diabetes? Do not include specialists to whom {you have/SP has} been referred such as diabetes educators, dieticians or foot and eye doctors.


YES 1

NO 2 (DIQ.260)

REFUSED 7 (DIQ.260)

DON’T KNOW 9 (DIQ.260)


HELP SCREEN: A diabetes nurse educator is a nurse who teaches people with diabetes and who is knowledgeable about the day-to-day aspects of diabetes self-care, such as, use of diabetes medications, checking and controlling blood glucose levels, managing weight though diet and physical activity, and maintaining a healthy pregnancy if diabetes is present.



DIQ.250 How many times {have you/has SP} seen this doctor or other health professional in the past 12 months?


|___|___|___|

ENTER NUMBER OF TIMES


CAPI INSTRUCTION:

HARD EDIT: DO NOT ALLOW 0.


NONE 2

REFUSED 7777

DON'T KNOW 9999



BOX 9


CHECK ITEM DIQ.369:

IF DIQ.250 = 2 (NONE), CONTINUE.

OTHERWISE, GO TO BOX 10.



DIQ.370 INTERVIEWER: YOU HAVE ENTERED “NONE” FOR THE NUMBER OF TIMES IN THE PAST 12 MONTHS THAT THE SP HAS SEEN THEIR USUAL DOCTOR OR OTHER HEALTH PROFESSIONAL. THIS IS AN UNLIKELY RESPONSE. IS THIS CORRECT?


YES 1

NO 2 (DIQ.250)



BOX 10


CHECK ITEM DIQ.379:

IF DIQ.250 = 100 OR MORE, CONTINUE.

OTHERWISE, GO TO DIQ.260.



DIQ.380 INTERVIEWER: YOU HAVE ENTERED A VALUE THAT IS OUTSIDE THE EXPECTED RANGE FOR THE NUMBER OF TIMES IN THE PAST 12 MONTHS THAT THE SP HAS SEEN THEIR USUAL DOCTOR OR OTHER HEALTH PROFESSIONAL. THIS IS AN UNLIKELY RESPONSE. IS THIS CORRECT?


YES 1

NO 2 (DIQ.250)



DIQ.260
G/Q/U

How often {do you check your/does SP check his/her} blood for glucose or sugar? Include times when checked by a family member or friend, but do not include times when checked by a doctor or other health professional.


INTERVIEWER INSTRUCTION: DO NOT INCLUDE URINE TESTS.


|___|___|___|

ENTER NUMBER OF TIMES


CAPI INSTRUCTION: SOFT EDIT 7 OR MORE PER DAY

SOFT EDIT 30 OR MORE PER WEEK.


NEVER 2

UNABLE TO DO ACTIVITY (BLIND) 3

REFUSED 7777

DON'T KNOW 9999


ENTER UNIT


PER DAY 1

PER WEEK 2

PER MONTH 3

PER YEAR 4



DIQ.new3 Glycosylated (GLY-CO-SYL-AT-ED) hemoglobin or the “A one C” test measures your average level of blood sugar for the past 3 months. During the past 12 months, has a doctor or other health professional checked {your/SP’s} glycosylated hemoglobin or “A one C”?


YES 1

NO 2 (BOX 10A)

REFUSED 7

DON'T KNOW 9



DIQ.new4 What was {your/SP’s} last “A one C” level?


CAPI INSTRUCTION:

SOFT EDIT FOR ANY NUMBER LESS THAN 5 OR MORE THAN 14.


|___|___| . |___|

ENTER VALUE


REFUSED 777

DON'T KNOW 999



DIQ.new5 What does {your/SP’s} doctor or other health professional say {your/his/her} “A one C” level should be? (Pick the lowest level recommended by your health care professional.)


HAND CARD new 2


6 OR LESS 1

7 OR LESS 2

8 OR LESS 3

9 OR LESS 4

10 OR LESS 5

PROVIDER DID NOT SPECIFY GOAL 6

REFUSED 77

DON'T KNOW 99



BOX 10A


CHECK ITEM DIQ.295:

IF AGE <12, GO TO END OF SECTION.

OTHERWISE, CONTINUE.



DIQ.new6
S/D

Blood pressure is usually given as one number over another. What was {your/SP’s} most recent blood pressure in numbers?


|___|___|___| OVER |___|___|___|

SYSTOLIC DIASTOLIC

ENTER VALUES


CAPI INSTRUCTION:

SYSTOLIC VALUE HARD EDIT: 48-300, SOFT EDIT: 80-200.

DIASTOLIC VALUE HARD EDIT: 0-300, SOFT EDIT: 0-150.


REFUSED 7777

DON'T KNOW 9999


DIQ.new7
G/S/D

What does {your/SP’s} doctor or other health professional say {your/his/her} blood pressure should be?

|___|___|___| OVER |___|___|___|

SYSTOLIC DIASTOLIC

ENTER VALUES

INTERVIEWER INSTRUCTION:

IF RANGE GIVEN, RECORD UPPER VALUE OF RANGE.


CAPI INSTRUCTION:

SYSTOLIC VALUE HARD EDIT: 48-300, SOFT EDIT: 80-200.

DIASTOLIC VALUE HARD EDIT: 0-300, SOFT EDIT: 0-150.


PROVIDER DID NOT SPECIFY GOAL 2

REFUSED 7777

DON'T KNOW 9999


DIQ.new8
G/Q

One part of total serum cholesterol in {your/SP’s} blood is a bad cholesterol, called LDL, which builds up and clogs {your/his/her} arteries. What was {your/his/her} most recent LDL cholesterol number?



|___|___|___|

ENTER VALUE


CAPI INSTRUCTION:

HARD EDIT: 25-350, SOFT EDIT: 40-250.


NEVER HEARD OF LDL 2 (DIQ.341)

NEVER HAD CHOLESTEROL TEST 3 (DIQ.341)

REFUSED 7777

DON'T KNOW 9999



DIQ.new9
G/Q

What does {your/SP’s} doctor or other health professional say {your/his/her} LDL cholesterol should be?



|___|___|___|

ENTER VALUE.


INTERVIEWER INSTRUCTION:

IF RANGE GIVEN, RECORD UPPER VALUE OF RANGE.


CAPI INSTRUCTION:

HARD EDIT: 25-350, SOFT EDIT: 40-250.


PROVIDER DID NOT SPECIFY GOAL 2

REFUSED 7777

DON'T KNOW 9999



DIQ.341
G/Q

During the past 12 months, about how many times has a doctor or other health professional checked {your/SP’s} feet for any sores or irritations?


|___|___|___|

ENTER NUMBER OF TIMES


CAPI INSTRUCTION:

HARD EDIT: DO NOT ALLOW 0.


NONE 2

BOTH FEET AMPUTATED 3 (DIQ.360)

REFUSED 7777

DON'T KNOW/not sure 9999



DIQ.350
G/Q/U

How often {do you check your feet/does SP check (his/her) feet} for sores or irritations? Include times when checked by a family member or friend, but do not include times when checked by a doctor or other health professional.


|___|___|___|

ENTER NUMBER OF TIMES


NONE 2

REFUSED 7777

DON'T KNOW 9999


ENTER UNIT


PER DAY 1

PER WEEK 2

PER MONTH 3

PER YEAR 4



DIQ.360 When was the last time {you/SP} had an eye exam in which the pupils were dilated? This would have made {you/SP} temporarily sensitive to bright light.


LESS THAN 1 MONTH 1

1-12 MONTHS 2

13-24 MONTHS 3

GREATER THAN 2 YEARS 4

NEVER 5

REFUSED 7

DON'T KNOW 9



DIQ.080 Has a doctor ever told {you/SP} that diabetes has affected {your/his/her} eyes or that {you/s/he} had retinopathy (ret-in-op-ath-ee)?


YES 1

NO 2

REFUSED 7

DON'T KNOW 9


HELP SCREEN:

Retinopathy: Any disorder of the retina.


Diabetes: A glandular disease that impairs the ability of the body to use sugar and causes sugar to appear abnormally in the urine. Common symptoms are persistent thirst and excessive discharge of urine. Do not include gestational diabetes or diabetes that was only present during pregnancy. Also, do not include self-diagnosed diabetes, pre-diabetes or high sugar.


Doctor: The term refers to both medical doctors (M.D.s) and osteopathic physicians (D.O.s). It includes general practitioners as well as specialists. It does not include persons who do not have an M.D. or D.O. degree, such as dentists, oral surgeons, chiropractors, podiatrists, Christian Science healers, opticians, optometrists, psychologists, etc.








BLOOD PRESSURE



BPQ.020 {Have you/Has SP} ever been told by a doctor or other health professional that {you/s/he} had hypertension (hy-per-ten-shun), also called high blood pressure?

IF HIGH BLOOD PRESSURE ONLY DURING PREGNANCY, CODE NO.


INTERVIEWER INSTRUCTION: IF SP SAYS “HIGH NORMAL BLOOD PRESSURE”, “BORDERLINE HYPERTENSION” OR “PREHYPERTENSION” CODE NO.


YES 1

NO 2 (BPQ.057)

REFUSED 7 (BPQ.057)

DON'T KNOW 9 (BPQ.057)


HELP SCREEN:

Hypertension (High Blood Pressure): A repeatedly increased blood pressure with the first number 140 or higher and the second number 90 or higher.



BPQ.030 {Were you/Was SP} told on 2 or more different visits that {you/s/he} had hypertension (hy-per-ten-shun), also called high blood pressure?


YES 1

NO 2

REFUSED 7

DON'T KNOW 9



BPQ.035 How old {were you/was SP} when {you were/he/she was} first told that {you/he/she} had hypertension or high blood pressure?


|___|___|

ENTER AGE IN YEARS


REFUSED 777

DON'T KNOW 999



BPQ.040a Because of {your/SP’s} (high blood pressure/hypertension) (hy-per-ten-shun), {have you/has s/he} ever been told to take prescribed medicine?


YES 1

NO 2 (BPQ.057)

REFUSED 7 (BPQ.057)

DON’T KNOW 9 (BPQ.057)


HELP SCREEN:

Prescribed Medicine: Prescribed medicines are those ordered by a doctor or other health provider through a written or verbal prescription for a pharmacist to fill. Prescription medicines can also be given by a medical provider directly to a patient to take home, such as free samples.



BOX 1A


OMITTED




BOX 1B


OMITTED




BPQ.050a {Are you/Is SP} now taking a prescribed medicine?


YES 1

NO 2

REFUSED 7

DON’T KNOW 9



BPQ.057 {Have you/Has SP} ever been told by a doctor or other health professional that {you have/s/he has} high normal blood pressure, prehypertension or borderline hypertension?


HAND CARD BPQ1


YES 1

NO 2

REFUSED 7

DON'T KNOW 9


HELP SCREEN:

High normal blood pressure or borderline hypertension is defined as having a blood pressure reading of 120 to 139 for the first reading and the second reading of 80 to 89 millimeters. People with blood pressures that are high normal blood pressure or borderline hypertension also called prehypertension.



BPQ.056 {Did you/Did SP} take {your/his/her} blood pressure at home during the last 12 months?


YES 1

NO 2 (BPQ.059)

REFUSED 7 (BPQ.059)

DON'T KNOW 9 (BPQ.059)



BPQ.058 How often {did you check your/did SP check his/her} blood pressure at home during the last 12 months? (You can tell me the number of times per day, per week, per month, or per year.)

Q/U

|___|___|___|

ENTER NUMBER OF TIMES


CAPI INSTRUCTION:

SOFT EDIT 10 OR MORE PER DAY

SOFT EDIT 50 OR MORE PER WEEK.

SOFT EDIT 200 OR MORE PER MONTH


REFUSED 7777

DON'T KNOW 9999


ENTER UNIT


PER DAY 1

PER WEEK 2

PER MONTH 3

PER YEAR 4



BPQ.059 Did a doctor or other health professional tell {you/SP} to take {your/his/her} blood pressure at home?


YES 1

NO 2

REFUSED 7

DON'T KNOW 9



BOX 2


CHECK ITEM BPQ.055:

IF SP AGE >= 20, CONTINUE.

OTHERWISE, GO TO END OF SECTION.





BPQ.080 {Have you/Has SP} ever been told by a doctor or other health professional that {your/his/her} blood cholesterol level was high?


YES 1

NO 2 (BPQ.060)

REFUSED 7 (BPQ.060)

DON'T KNOW 9 (BPQ.060)


HELP SCREEN:

Cholesterol: Cholesterol is a type of fat in the bloodstream and is measured with a blood test, usually done in the morning before you’ve eaten. High levels of cholesterol are a major risk factor for heart disease, which leads to heart attack.


BPQ.060 {Have you/Has SP} ever had {your/his/her} blood cholesterol checked?


YES 1

NO 2 (END OF SECTION)

REFUSED 7 (END OF SECTION)

DON'T KNOW 9 (END OF SECTION)



BPQ.070 About how long has it been since {you/SP} last had {your/his/her} blood cholesterol checked? Has it been…


less than 1 year ago, 1

1 year but less than 2 years ago, 2

2 years but less than 5 years ago, or 3

5 years or more? 4

REFUSED 7

DON'T KNOW 9





BPQ.090d To lower {your/his/her} blood cholesterol, {have you/has SP} ever been told by a doctor or other health professional to take prescribed medicine?


YES 1

NO 2 (END OF SECTION)

REFUSED 7 (END OF SECTION)

DON'T KNOW 9 (END OF SECTION)

HELP SCREEN:

Prescribed Medicine: Prescribed medicines are those ordered by a doctor or other health provider through a written or verbal prescription for a pharmacist to fill. Prescription medicines can also be given by a medical provider directly to a patient to take home, such as free samples.



BPQ.100d {Are you/Is SP} now taking a prescribed medicine?

YES 1

NO 2

REFUSED 7

DON'T KNOW 9



HELP SCREEN:

Prescribed Medicine: Prescribed medicines are those ordered by a doctor or other health provider through a written or verbal prescription for a pharmacist to fill. Prescription medicines can also be given by a medical provider directly to a patient to take home, such as free samples.



BOX 5


OMITTED




BOX 6


OMITTED




BOX 7


OMITTED




BOX 8


OMITTED




BOX 9


OMITTED





BOX 9


OMITTED









CARDIOVASCULAR disease




CDQ.001 {Have you/Has SP} ever had any pain or discomfort in {your/her/his} chest?


YES 1

NO 2 (CDQ.010)

REFUSED 7 (CDQ.010)

DON'T KNOW 9 (CDQ.010)



CDQ.002 {Do you/Does she/Does he} get it when {you/she/he} {walk/walks} uphill or {hurry/hurries}?


YES 1

NO 2 (CDQ.008)

NEVER WALKS UPHILL OR HURRIES 3

REFUSED 7 (CDQ.008)

DON'T KNOW 9 (CDQ.008)



CDQ.003 {Do you/Does she/Does he} get it when {you/she/he} {walk/walks} at an ordinary pace on level ground?


YES 1

NO 2

REFUSED 7

DON'T KNOW 9



BOX 1


CHECK ITEM CDQ.003A:

IF 'YES' (CODE '1') IN CDQ.002 OR CDQ.003, CONTINUE.

OTHERWISE, GO TO CDQ.008.




CDQ.004 What {do you/does she/does he} do if {you/she/he} get it while {you/she/he} are walking? {Do you/Does she/Does he} stop or slow down, or continue at the same pace?


CODE "STOP OR SLOW DOWN" IF SP CARRIES ON AFTER TAKING NITROGLYCERINE.


STOP OR SLOW DOWN 1

CONTINUE AT THE SAME PACE 2 (CDQ.008)

REFUSED 7 (CDQ.008)

DON'T KNOW 9 (CDQ.008)



CDQ.005 If {you/she/he} {stand/stands} still, what happens to it? Is the pain or discomfort relieved or not relieved?


RELIEVED 1

NOT RELIEVED 2 (CDQ.008)

REFUSED 7 (CDQ.008)

DON'T KNOW 9 (CDQ.008)



CDQ.006 How soon is the pain relieved? Would you say . . .


10 minutes or less or 1

more than 10 minutes? 2 (CDQ.008)

REFUSED 7 (CDQ.008)

DON'T KNOW 9 (CDQ.008)



CDQ.009 Please look at this card and show me where the pain or discomfort is located.


CODE ALL THAT APPLY.

PROBE FOR ADDITIONAL AREAS.


HAND CARD CDQ1


1 1

2 2

3 3

4 4

5 5

6 6

7 7

8 8

REFUSED 77

DON'T KNOW 99



CDQ.008 Have {you/she/he} ever had a severe pain across the front of {your/her/his} chest lasting for half an hour or more?


YES 1

NO 2

REFUSED 7

DON'T KNOW 9



CDQ.010 {Have you/Has SP} had shortness of breath either when hurrying on the level or walking up a slight hill?


YES 1

NO 2

REFUSED 7

DON'T KNOW 9



BOX 2


OMITTED







OSTEOPOROSIS



OSQ.010
a/b/c

Has a doctor ever told {you/SP} that {you/SP} had broken or fractured {your/his/her} . . .


OSQ.020

How many times {have you/has SP} broken or fractured {your/his/her} {hip/wrist/spine}?







a. hip? YES 1

NO 2 (b)

REFUSED 7 (b)

DON'T KNOW 9 (b)



|___|___|

ENTER NUMBER OF TIMES


CAPI INSTRUCTION:

HARD EDIT: 1-33.


REFUSED 77

DON'T KNOW 99



b. wrist? YES 1

DO NOT NO 2 (c)

INCLUDE REFUSED 7 (c)

FOREARM OR DON'T KNOW 9 (c)

HAND


|___|___|

ENTER NUMBER OF TIMES


CAPI INSTRUCTION:

HARD EDIT: 1-33.


REFUSED 77

DON'T KNOW 99



c. spine? YES 1

NO 2 (BOX 1)

REFUSED 7 (BOX 1)

DON'T KNOW 9 (BOX 1)



|___|___|

ENTER NUMBER OF TIMES


CAPI INSTRUCTION:

HARD EDIT: 1-33.


REFUSED 77

DON'T KNOW 99




BOX 1


CHECK ITEM OSQ.025:

IF 'YES' (CODE 1) IN OSQ.010 a, b, OR c, CONTINUE WITH LOOP 1.

OTHERWISE, GO TO OSQ.080.


LOOP 1:

ASK OSQ.030 - OSQ.051 FOR EACH TYPE AND EACH INCIDENT OF FRACTURE. (EXAMPLE: HOW OLD WERE YOU WHEN YOU FRACTURED YOUR HIP THE FIRST TIME?)




OSQ.030
a/b/c

How old {were you/was SP} when {you/s/he} fractured {your/his/her} {hip/wrist/spine} {the {1st/2nd/10th or more recent time . . .} time}?


CAPI INSTRUCTION:

IF ONLY BROKE HIP, WRIST OR SPINE 1 TIME, DO NOT DISPLAY "THE {1ST/2ND . . .} TIME".

IF 10TH TIME, DISPLAY {10TH OR MOST RECENT TIME}.


|___|___|___| (BOX 2)

ENTER AGE IN YEARS


CAPI INSTRUCTION: HARD EDIT: 1-120.


REFUSED 777

DON'T KNOW 999



OSQ.040 {Were you/Was SP} . . .

a/b/c

under 50 years old, or 1

50 years old or older? 2

REFUSED 7 (BOX 3)

DON'T KNOW 9 (BOX 3)



BOX 2


CHECK ITEM OSQ.045:

IF AGE IS >= 50 IN OSQ.030 OR OSQ.040, CONTINUE.

OTHERWISE, GO TO BOX 3.




OSQ.051 Did that fracture occur as a result of . . .


a fall from standing height or less, for
example, tripped, slipped, fell out of bed 4

a hard fall, such as falling off a ladder or
step stool, down stairs, or 5

a car accident or other severe trauma? 6

REFUSED 7

DON'T KNOW 9


CAPI INSTRUCTION:

HELP SCREEN SHOULD READ: Additional examples for “a fall from standing height or less” include leg gave way, was dizzy, fell bending over, fell out of a chair. Additional examples for “a hard fall” include being forcibly knocked down by another person or bicycle.



BOX 3


END LOOP1:

  • ASK OSQ.030 - OSQ.051 FOR NEXT INCIDENT OF FRACTURE.

  • IF NO NEXT INCIDENT, CONTINUE.




OSQ.080 Has a doctor ever told {you/SP} that {you/s/he} had broken or fractured any other bone after {you were/s/he was} 20 years of age?


YES 1

NO 2 (OSQ.060)

REFUSED 7 (OSQ.060)

DON'T KNOW 9 (OSQ.060)



OSQ.090 Was this fracture the result of severe trauma such as a car accident, being struck by a vehicle, a physical attack, or a hard fall such as falling off a ladder or down stairs?


YES 1 (OSQ.120)

NO 2

REFUSED 7 (OSQ.120)

DON'T KNOW 9 (OSQ.120)


CAPI INSTRUCTION:

HELP SCREEN SHOULD READ:

Do not include a fall from standing height or less, for example, tripped, slipped, fell out of bed, leg gave way, was dizzy, fell bending over, or fell out of a chair.

Additional examples for “a hard fall” include being knocked down by another person or bicycle.



OSQ.100 Please look at this card and tell me where the fracture occurred.


HAND CARD OSQ 1


HEAD/FACE 10

UPPER ARM (HUMERUS) 11

LOWER ARM BETWEEN WRIST AND

ELBOW (DO NOT INCLUDE WRIST) 12

ELBOW 13

HAND 14

FINGERS 15

SHOULDER 16

COLLAR BONE 17

RIBS (EITHER SIDE) 18

PELVIS (NOT HIP) 19

UPPER LEG (THIGH EXCLUDING HIP) 20

LOWER LEG (BETWEEN ANKLE AND

KNEE) 21

KNEE (PATELLA) 22

ANKLE 23

HEEL 24

FOOT 25

TOES 26

OTHER (DO NOT SPECIFY) 27

REFUSED 77

DON'T KNOW 99



OSQ.110 How old {were you/was SP} when {you/SP} fractured {your/his/her} (fracture site selected in OSQ.100) for the first time after age 20?


|___|___|___|

ENTER AGE IN YEARS


CAPI INSTRUCTION: HARD EDIT: 20-120.


REFUSED 777

DON'T KNOW 999



OSQ.120 Has a doctor ever told {you/SP} that {you/s/he} had broken or fractured any other bones after {you were/s/he was} 20 years of age?


YES 1

NO 2 (OSQ.060)

REFUSED 7 (OSQ.060)

DON'T KNOW 9 (OSQ.060)



BOX 4


CHECK ITEM OSQ.129:

IF OSQ120 = 1 (YES), CONTINUE WITH LOOP 2. OTHERWISE, GO TO OSQ.060.


LOOP 2:

ASK OSQ.090 – OSQ.120 FOR NEXT INCIDENT OF FRACTURE. IF NO NEXT INCIDENT, CONTINUE.




OSQ.060 Has a doctor ever told {you/SP} that {you/s/he} had osteoporosis, sometimes called thin or brittle bones?


YES 1

NO 2 (OSQ.130)

REFUSED 7 (OSQ.130)

DON'T KNOW 9 (OSQ.130)



OSQ.070 {Were you/Was SP} ever treated for osteoporosis?


YES 1

NO 2

REFUSED 7

DON'T KNOW 9



OSQ.130 {Have you/has SP} ever taken any prednisone or cortisone pills nearly every day for a month or longer? [Prednisone and cortisone are types of steroids.]


YES 1

NO 2 (OSQ.150)

REFUSED 7 (OSQ.150)

DON'T KNOW 9 (OSQ.150)



OSQ.140
Q/U

Please think about {your/SP's} use of prednisone or cortisone during {your/his/her} lifetime. For how long did {you/s/he} use prednisone or cortisone nearly every day? Do not count the months or years when {you were/s/he was} not taking the medicine.


|___|___|

ENTER NUMBER


CAPI INSTRUCTION: SOFT EDIT: 19 OR HIGHER.


REFUSED 777

DON'T KNOW 999


ENTER UNIT


MONTH 1

YEAR 2

REFUSED 7

DON’T KNOW 9



OSQ.150 Including living and deceased, were either of {your/SP's} biological parents ever told by a health professional that they had osteoporosis or brittle bones?


YES 1

NO 2 (OSQ.170)

REFUSED 7 (OSQ.170)

DON'T KNOW 9 (OSQ.170)



OSQ.160 Which biological [blood] parent?


CODE ALL THAT APPLY


MOTHER 1

FATHER 2

REFUSED 7

DON'T KNOW 9



OSQ.170 Did {your/SP's} biological mother ever fracture her hip?


YES 1

NO 2 (OSQ.200)

REFUSED 7 (OSQ.200)

DON'T KNOW 9 (OSQ.200)



OSQ.180 About how old was she when she fractured her hip (the first time)?


|___|___|___| (OSQ.200)

ENTER AGE IN YEARS


REFUSED 777

DON'T KNOW 999



OSQ.190 Was she. . .


under 50 years old, or 1

50 years old or older? 2

REFUSED 7

DON'T KNOW 9



OSQ.200 Did {your/SP's} biological father ever fracture his hip?


YES 1

NO 2 (END OF SECTION)

REFUSED 7 (END OF SECTION)

DON'T KNOW 9 (END OF SECTION)



OSQ.210 About how old was he when he fractured his hip (the first time)?


|___|___|___| (END OF SECTION)

ENTER AGE IN YEARS


CAPI INSTRUCTION: HARD EDIT: 20-120.


REFUSED 777

DON'T KNOW 999



OSQ.220 Was he . . .


under 50 years old, or 1

50 years old or older? 2

REFUSED 7

DON'T KNOW 9


RESPIRATORY HEALTH AND DISEASE



BOX 1


CHECK ITEM RDQ.005A:

IF SP AGE < 40, GO TO RDQ.070.

OTHERWISE, CONTINUE




RDQ.031 {Do you/Does SP} usually cough on most days for 3 consecutive months or more during the year?


YES 1

NO 2 (RDQ.050)

REFUSED 7 (RDQ.050)

DON'T KNOW 9 (RDQ.050)



RDQ.040 For how many years {have you/has SP} had this cough?


IF LESS THAN 1 YEAR, ENTER 1


|___|___|___|

ENTER NUMBER OF YEARS


REFUSED 777

DON'T KNOW 999



RDQ.050 {Do you/Does SP} bring up phlegm on most days for 3 consecutive months or more during the year?


YES 1

NO 2 (RDQ.070)

REFUSED 7 (RDQ.070)

DON'T KNOW 9 (RDQ.070)



RDQ.060 For how many years {have you/has SP} had trouble with phlegm (flem)?


IF LESS THAN 1 YEAR, ENTER 1


|___|___|

ENTER NUMBER OF YEARS


REFUSED 777

DON'T KNOW 999



RDQ.070 In the past 12 months, {have you/has SP} had wheezing or whistling in {your/his/her} chest?


YES 1

NO 2 (RDQ.140)

REFUSED 7 (RDQ.140)

DON'T KNOW 9 (RDQ.140)



RDQ.080 [In the past 12 months], how many attacks of wheezing or whistling {have you/has SP} had?


IF 12 OR MORE EPISODES, ENTER 12


CAPI INSTRUCTION:

HARD EDIT: RANGE EQUALS 1 TO 12.


|___|___|

ENTER NUMBER OF EPISODES


REFUSED 77

DON'T KNOW 99



RDQ.090 [In the past 12 months], how often, on average, has {your/SP's} sleep been disturbed because of wheezing? Would you say this happens . . .


never, 0

1 or more nights per week, or 1

less than 1 night per week? 2

REFUSED 7

DON’T KNOW 9



RDQ.100 [In the past 12 months], has {your/SP's} chest sounded wheezy during or after exercise or physical activity?


YES 1

NO 2

REFUSED 7

DON'T KNOW 9



BOX 3


OMITTED




RDQ.120 [In the past 12 months], how many times {have you/has SP} gone to the doctor's office or the hospital emergency room for one or more of these attacks of wheezing or whistling?


IF NEVER, ENTER 0


|___|___|

ENTER NUMBER


CAPI INSTRUCTION:

SOFT EDIT: IF RESPONSE >20, THEN DISPLAY “UNLIKELY RESPONSE. PLEASE VERIFY. (RDQ.150).”

HARD EDIT: CHECK: RDQ.120 – RANGE ERROR, THE VALID RANGE IS 0-50.


REFUSED 77

DON'T KNOW 99



RDQ.134 [In the past 12 months], {have you/has SP} taken any medication, prescribed by a doctor, for wheezing or whistling?


YES 1

NO 2

REFUSED 7

DON'T KNOW 9



RDQ.135 During the past 12 months, how much did {you/SP} limit {your/his/her} usual activities due to wheezing or whistling? Would you say…


not at all, 1

a little, 2

a fair amount, 3

a moderate amount, or 4

a lot? 5

REFUSED 7

DON'T KNOW 9



BOX 4


CHECK ITEM RDQ.136:

IF SP AGE = 6-69 YEARS, CONTINUE.

OTHERWISE, GO TO RDQ.140.




RDQ.137 During the past 12 months, how many days of work or school did {you/SP} miss due to wheezing or whistling?


NONE 0

1 TO 7 1

8 TO 30 2

31 PLUS 3

REFUSED 7

DON'T KNOW 9



RDQ.140 [In the past 12 months], {have you/has SP} had a dry cough at night not counting a cough associated with a cold or chest infection lasting 14 days or more?


YES 1

NO 2

REFUSED 7

DON'T KNOW 9



AGQ.030 During the past 12 months, {have you/has SP} had an episode of hay fever?


YES 1

NO 2

REFUSED 7

DON'T KNOW 9







AUDIOMETRY



AUQ.131 These next questions are about {your/SP’s} hearing.


Which statement best describes {your/SP’s} hearing (without a hearing aid or other listening devices)? Would you say {your/his/her} hearing is excellent, good, that {you have/s/he has} a little trouble, moderate trouble, a lot of trouble, or {are you/is s/he} deaf?


EXCELLENT 1

GOOD 2

A LITTLE TROUBLE 3

MODERATE HEARING TROUBLE 4

A LOT OF TROUBLE 5

DEAF 6

REFUSED 7

DON’T KN OW 9


HELP SCREEN:

Deaf means that you can't hear in both ears without the use of hearing aids or other devices to help you hear. If you can hear in one ear, you are not deaf.


Hearing Aid: A small electronic device that amplifies the sound sounds you hear. It is worn in or behind the ear to help you hear.

Other Listening Devices: Other listening devices are any device you use to help you hear. They are also called assistive listening devices. These are:


A pocket talker

An amplified telephone

An amplified or vibrating alarm clock

A light signaler for your doorbell

A TV headset

Closed-captioned TV

TTY (teletypewriter)

TDD (telecommunications device for the deaf)

A telephone relay service

A video relay service

A sign language interpreter

BOX 1


CHECK ITEM AUQ.135:

IF SP AGE >= 20, AND SP AGE <= 69 AND AUQ.131=1,7,9 GO TO New5;

IF SP AGE >= 20, AND SP AGE <= 69 AND AUQ.131=2,3,4,5 OR 6, CONTINUE. OTHERWISE END OF SECTION.




THESE NEXT QUESTIONS REFER TO HEARING WITHOUT THE USE OF A HEARING AID OR ANY OTHER LISTENING DEVICES. IF YOU HAVE ONE EAR THAT IS BETTER THAN THE OTHER, PLEASE ANSWER THE QUESTIONS FOR THE HEAIRNG IN YOUR BETTER EAR.



New1 Can you usually hear and understand what a person says without seeing his or her face if that person whispers to you from across a quiet room?


YES 1 (New5)

NO 2

REFUSED 7

DON'T KNOW 9



New2 Can you usually hear and understand what a person says without seeing his or her face if that person talks in a normal voice to you from across a quiet room?


YES 1 (New5)

NO 2

REFUSED 7

DON'T KNOW 9


New3 Can you usually hear and understand what a person says without seeing his or her face if that person shouts to you from across a quiet room?


YES 1 (New5)

NO 2

REFUSED 7

DON'T KNOW 9


New4 Can you usually hear and understand what a person says without seeing his or her face if that person speaks loudly into your better ear?


INTERVIEWER: IF THE INTERVIEWEE HEARS BETTER IN ONE EAR THAT THE OTHER,

RECORD THE RESPONSE FOR SPEAKING LOUDLY INTO THE BETTER EAR.


YES 1

NO 2

REFUSED 7

DON'T KNOW 9




New5 How often do you find it difficult to follow a conversation if there is background noise, for example, when other people are talking, TV or radio is on, or children are playing? Would you say...


HAND CARD AUQ-1


ALWAYS 1

USUALLY 2

ABOUT HALF THE TIME 3

SELDOM 4

NEVER 5

REFUSED 7

DON’T KNOW 9



New6 How often does your hearing cause you to feel frustrated when talking to members of your family or to friends? Would you say...


HAND CARD AUQ-1

ALWAYS 1

USUALLY 2

ABOUT HALF THE TIME 3

SELDOM 4

NEVER 5

REFUSED 7

DON’T KNOW 9



AUQ.136 {Have you/Has SP} ever had 3 or more ear infections?


YES 1

NO 2

REFUSED 7

DON'T KNOW 9



AUQ.138 {Have you/Has SP} ever had a tube placed in {your/his/her} ear to drain the fluid from {your/his/her} ear?


YES 1

NO 2

REFUSED 7

DON'T KNOW 9



New7 A hearing test by a specialist is one that is done in a sound proof booth or room, or with headphones. Hearing specialists include audiologists, ear nose and throat doctors, and trained technicians or occupational nurses. When was the last time {you had/SP had} {your/his/her} hearing tested by a hearing specialist?

READ CATEGORIES IF NECESSARY


LESS THAN A YEAR AGO 1

1 YEAR TO 4 YEARS AGO 2

5 TO 9 YEARS AGO 3

TEN OR MORE YEARS AGO 4

NEVER 5

REFUSED 7

DON’T KNOW 9


New8 {Have you/Has SP} ever worn a hearing aid or cochlear implant?


YES 1

NO 2 (AUQ.185)

REFUSED 7 (AUQ.185)

DON'T KNOW 9 (AUQ.185)


HELP SCREEN:

Hearing Aid: A small electronic device that amplifies the sound sounds you hear. It is worn in or behind the ear to help you hear.


Cochlear Implant: A cochlear implant is an electrical device that a surgeon puts in your ear. It helps you hear by sending sounds directly to the brain. It is used only when you are almost totally deaf.

New9 Which was it?


CODE ALL THAT APPLY

A HEARING AID 1

A COCHLEAR IMPLANT 2 (AUQ.185)

REFUSED 7 (AUQ.185)

DON'T KNOW 9 (AUQ.185)


New10 In the past 12 months, how often {have you/has SP} worn a hearing aid?


HAND CARD AUQ-1


ALWAYS 1

USUALLY 2

ABOUT HALF THE TIME 3

SELDOM 4

NEVER 5

REFUSED 7

DON’T KNOW 9



HELP SCREEN:

Hearing Aid: A small electronic device that amplifies the sound sounds you hear. It is worn in or behind the ear to help you hear.



AUQ.185 {Have you/Has SP} ever used assistive listening devices (ALDs), such as FM systems, closed-captioned television, amplified telephone, relay services or a sign-language interpreter?


YES 1

NO 2

REFUSED 7

DON'T KNOW 9


HELP SCREEN:

Assistive Listening Devices: These are any device you use to help you hear. Other examples include:


TTY (teletypewriter)

TDD (telecommunications device for the deaf)

A pocket talker

An amplified or vibrating alarm clock

A light signaler for your doorbell

A TV headset


AUQ.191 In the past 12 months, {have you/has SP} been bothered by ringing, roaring, or buzzing in {your/his/her} ears or head that lasts for 5 minutes or more?


YES 1

NO 2 (New12)

REFUSED 7 (New12)

DON'T KNOW 9 (New12)


HELP SCREEN:

Tinnitus (tin-uh-tus) is the medical term for ringing, roaring or buzzing in the ears or head.



AUQ.250 How long {have you/has SP} been bothered by this ringing, roaring, or buzzing in {your/his/her} ears or head?


READ CATEGORIES IF NECESSARY


LESS THAN THREE MONTHS 1

THREE MONTHS TO A YEAR 2

1 TO 4 YEARS 3

5 TO 9 YEARS 4

TEN OR MORE YEARS 5

REFUSED 7

DON’T KNOW 9




New11 In the past 12 months, how often have you had this ringing, roaring, or buzzing in your ears or head? Would you say...

almost always 1

at least once a day 2

at least once a week 3

at least once a month 4

less frequently than once a month 5

REFUSED 7

DON’T KNOW 9




AUQ.260 {Are you/Is SP} bothered by ringing, roaring, or buzzing in {your/his/her} ears or head only after listening to loud sounds or loud music?


YES 1

NO 2

REFUSED 7

DON'T KNOW 9



AUQ.270 {Are you/Is SP} bothered by ringing, roaring, or buzzing in {your/his/her} ears or head when going to sleep?


YES 1

NO 2

REFUSED 7

DON'T KNOW 9



AUQ.280 How much of a problem is this ringing, roaring, or buzzing in {your/his/her} ears or head?


no problem 1

a small problem 2

a moderate problem 3

a big problem 4

a very big problem 5

REFUSED 7

DON’T KNOW 9



New12 This next question is about your use of firearms that you may have used for target shooting, hunting, for your job or in military service. {Have you/Has SP} ever used firearms for any reason?

YES 1

NO 2 (New15)

REFUSED 7 (New15)

DON'T KNOW 9 (New15)


HELP SCREEN:

Firearms include pistols, shotguns, rifles, and other types of guns. Do not include BB or pellet guns.



New13 How many total rounds have you ever fired?


READ CATEGORIES IF NECESSARY


INTERVIEWER: ONE ROUND EQUALS ONE SHOT. INCLUDE TARGET

SHOOTING, HUNTING, YOUR JOB AND MILITARY SERVICE.



1 TO LESS THAN 100 ROUNDS 1

100 TO LESS THAN 1000 ROUNDS 2

1000 TO LESS THAN 10,000 ROUNDS 3

10,000 TO LESS THAN 50,000 ROUNDS 4

50,000 ROUNDS OR MORE 5

REFUSED 7

DON’T KNOW 9


New14 How often {did you/did SP} wear hearing protection devices (ear plugs, ear muffs) when shooting firearms?


HAND CARD AUQ-1

ALWAYS 1

USUALLY 2

ABOUT HALF THE TIME 3

SELDOM 3

NEVER 4

REFUSED 7

DON’T KNOW 9


HELP SCREEN:

Protective Hearing Device: These protect you from noise that is so loud that it might damage your hearing. Examples are ear plugs, protective earmuffs or special headphones.





THESE NEXT QUESTIONS ARE ABOUT NOISE EXPOSURE YOU MAY HAVE HAD AT YOUR WORK


New15 {Have you/Has SP} ever had a job, or combination of jobs where {you were/s/he was} exposed to loud sounds or noise for 4 or more hours a day, several days a week? Loud means so loud that {you/s/he} must speak in a raised voice to be heard.


YES 1

NO 2 (New19)

NEVER WORKED 2 (New19)

REFUSED 7 (New19)

DON'T KNOW 9 (New19)




New16 For how many months or years have you been exposed at work to loud sounds or noise for 4 or more hours a day, several days a week?


READ CATEGORIES IF NECESSARY


LESS THAN 3 MONTHS 1

3 TO 11 MONTHS 2

1 TO 2 YEARS 3

3 TO 4 YEARS 4

5 TO 9 YEARS 5

10 TO 14 YEARS 6

15 OR MORE YEARS 7

REFUSED 77

DON’T KNOW 99




New17 In your work were you exposed to very loud noise? Very loud noise is noise that is so loud you have

to shout in order to be understood by someone standing 3 feet away from you.


YES 1

NO 2 (New19)

REFUSED 7 (New19)

DON'T KNOW 9 (New19)


New18 This next question is about your work in jobs where there was very loud noise for 4 or more hours a day, several days a week. Please give me the total number of months or years for all jobs where this has happened.


READ CATEGORIES IF NECESSARY


LESS THAN 3 MONTHS 1

3 TO 11 MONTHS 2

1 TO 2 YEARS 3

3 TO 4 YEARS 4

5 TO 9 YEARS 5

10 TO 14 YEARS 6

15 OR MORE YEARS 7

NOT EXPOSED 8

REFUSED 77

DON’T KNOW 99



New19 Outside of a job, {have you/has SP} ever been exposed to very loud noise or music for 10 or more hours a week? This is noise so loud that {you have/s/he has} to shout {your/his/her} to be understood or heard 3 feet away. Examples are noise from power tools, lawn mowers, farm machinery, cars, trucks, motorcycles, motor boats or loud music.


YES 1

NO 2

REFUSED 7

DON'T KNOW 9



New20 In the past 12 months, how often {did you/did SP} wear hearing protection devices (ear plugs, ear muffs) when exposed to very loud sounds or noise? Please include both on the job and off the job exposures.


HAND CARD AUQ-2


ALWAYS 1

USUALLY 2

ABOUT HALF THE TIME 3

SELDOM 3

NEVER 4

NO NOISE EXPOSURE PAST 12 MONTHS 5

REFUSED 7

DON’T KNOW 9


HELP SCREEN:

Protective Hearing Device: These protect you from noise that is so loud that it might damage your hearing. Examples are ear plugs, protective earmuffs or special headphones.

DERMATOLOGY



DEQ.031 Next are some general questions about {your/SP’s} skin.


If after several months of not being in the sun, {you/SP} then went out in the sun without sunscreen or protective clothing for a half hour, which one of these would happen to {your/his/her} skin?


HAND CARD DEQ1


GET A SEVERE SUNBURN WITH

BLISTERS 1

A SEVERE SUNBURN FOR A FEW DAYS

WITH PEELING 2

MILDLY BURNED WITH SOME TANNING 3

TURNING DARKER WITHOUT A

SUNBURN 4

NOTHING WOULD HAPPEN IN HALF AN

HOUR 5

OTHER 6

REFUSED 7

DON'T KNOW 9



DEQ.034
a/c/d

When {you go/SP goes} outside on a very sunny day, for more than one hour, how often {do you/does SP} . . .


HAND CARD DEQ2


a. Stay in the shade? Would you say . . .


always, 1

most of the time, 2

sometimes, 3

rarely, or 4

never? 5

DON'T GO OUT IN THE SUN 6 (DEQ.038)

REFUSED 7

DON'T KNOW 9



c. Wear a long sleeved shirt? Would you say . . .


always, 1

most of the time, 2

sometimes, 3

rarely, or 4

never? 5

REFUSED 7

DON'T KNOW 9





d. Use sunscreen? Would you say . . .


always, 1

most of the time, 2

sometimes, 3

rarely, or 4

never? 5 (DEQ.038)

REFUSED 7 (DEQ.038)

DON'T KNOW 9 (DEQ.038)



DEQ.038
G/Q

How many times in the past year {have you/has SP} had a sunburn?

|___|___|___|

ENTER NUMBER OF TIMES


NEVER 000

REFUSED 777

DON'T KNOW 999


CAPI INSTRUCTION:

BUILD HARD EDITS AS 1-365.



DEQ.120
G/Q/U

The next questions ask about the time you spent outdoors during the past 30 days. By outdoors, I mean outside and not under any shade.


How much time did you usually spend outdoors between 9 in the morning and 5 in the afternoon on the days that you worked or went to school?


PROBE IF NEEDED: I am only interested in the amount of time you spent outdoors between 9 in the morning and 5 in the afternoon.


1. ENTER AMOUNT OF TIME (IN MINUTES OR HOURS)

2. NO TIME SPENT OUTDOORS

3. DOES NOT WORK OR GO TO SCHOOL


|___|___|___|

ENTER NUMBER (OF MINUTES OR HOURS)


HARD EDIT: The value entered cannot exceed 8 hours or 480 minutes.


ENTER UNIT


MINUTES 1

HOURS 2

REFUSED 7

DON'T KNOW 9



DEQ.125
G/Q/U

During the past 30 days, how much time did you usually spend outdoors between 9 in the morning and 5 in the afternoon on the days when you were not working or going to school?


1. ENTER AMOUNT OF TIME (IN MINUTES OR HOURS)

2. NO TIME SPENT OUTDOORS

3. AT WORK OR AT SCHOOL 9 to 5 SEVEN DAYS A WEEK


|___|___|___|

ENTER NUMBER (OF MINUTES OR HOURS)


HARD EDIT: The value entered cannot exceed 8 hours or 480 minutes.


ENTER UNIT


MINUTES 1

HOURS 2

REFUSED 7

DON'T KNOW 9







CHEMICAL SENSES




These next questions are about {your/SP’s} sense of smell.


CSQ.010 During the past 12 months, how would you describe {your/SP’s} sense of smell? Would you say {you have/SP has} no trouble, that {you have/SP has} a little trouble, moderate trouble, a lot of trouble, or {have you/has SP} lost {your/his/her} sense of smell?

NO TROUBLE 1

A LITTLE TROUBLE 2

MODERATE TROUBLE 3

A LOT OF TROUBLE 4

LOST SENSE OF SMELL 5 (CSQ.055)

NEVER HAD SENSE OF SMELL 6 (CSQ.095)

REFUSED …………………………………………………………..… 7

DON’T KNOW ……………………………………………………..…. 9



CSQ.020 The next statements ask about difficulties {you/SP} may have had with your sense of smell during the past 12 months. Please tell me if the following statements are often true, sometimes true, or never true. Do not include temporary problems with smell due to a head cold or the flu.


INTERVIEWER INSTRUCTION: DO NOT INCLUDE SMELLS SUCH AS Sewage, vomit, dirty diapers, AND cleaning fluids AS SMELLS THAT CAN MAKE THE sp SICK OR ANXIOUS.


HAND CARD CSQ 1

RESPONSES: OFTEN TRUE = 1, SOMETIMES TRUE = 2, NEVER TRUE = 3, REFUSED = 7, DON’T KNOW = 9


a. {I/SP} can’ts smell some things __ (BOX 1)

b. {I/SP} can’t smell most things __ (BOX 1)

c. Some things don’t smell right __ (BOX 1)

d. {I/SP} smell things when nothing is really there __

e. things smell stronger than they should __ (BOX 1)

f. some smells that don’t bother other people make {me/SP}

sick or anxious __ (BOX 1)



CSQ.025 If {you smell /SP smells} something when there is really nothing to smell, does the odor smell …


HAND CARD CSQ 3


CODE ALL THAT APPLY


bad, 1

rotten, 2

burning or burnt, or 3

chemical? ………………………………………………………..…… 4

OTHER (SPECIFY) 5

REFUSED …………………………………………………………..… 7

DON’T KNOW ……………………………………………………..…. 9


BOX 1


CHECK ITEM: IF (CSQ.010 = 2, 3, OR 4) OR (CSQ.020A, B, C, D, E, OR F = 1 OR 2) CONTINUE. OTHERWISE GO TO CSQ.055.



CSQ.030 How long {have you/has SP} had these difficulties?


INTERVIEWER INSTRUCTION: READ CATEGORIES IF NECESSARY


LESS THAN 3 MONTHS 1

3 TO 12 MONTHS (1 YEAR) 2

1 TO 4 YEARS 3

5 TO 9 YEARS 4

TEN OR MORE YEARS 5

REFUSED …………………………………………………………..… 7

DON’T KNOW ………………………………………………………. 9



CSQ.035 During the past 12 months, has {your/SP’s} sense of smell become…


better, 1

worse, 2

it varies, or 3

it stayed the same. 4

REFUSED 7

DON'T KNOW 9



CSQ.040 The next questions ask about difficulties {you/SP} may have smelling odors. Please look at this hand card and tell me if {you have/SP has} no difficulty, some difficulty, or much difficulty smelling. . .

HAND CARD CSQ 2


RESPONSES: NO DIFFICULTY = 1, SOME DIFFICULTY = 2, MUCH DIFFICULTY = 3,

REFUSED = 7, DON'T KNOW = 9.

a. household gas, __

b. smoke, __

c. cigarette smoke, __

d. cooking odors, __

e. ammonia, __

f. spoiled or rotten food, or __

g. perfume? __



CSQ.050 During the past 12 months, has the problem with {your/SP’s} sense of smell had a negative impact on {your/SP’s} health, work, or quality of life? Please count problems with {your/SP’s} diet or weight as health problems.

YES 1

NO 2

REFUSED …………………………………………………………… 7

DON’T KNOW ………………………………………………………. 9



CSQ.055 Have {you/SP} ever seen a doctor or other health care professional for a problem with {your/SP’s} sense of smell?


INTERVIEWER INSTRUCTION: INCLUDE DIETITIANS AND NURTITIONISTS AS HEALTH CARE PROFESSIONALS.


YES 1

NO 2 (CSQ.095)

REFUSED …………………………………………………………… 7 (CSQ.095)

DON’T KNOW ………………………………………………………. 9 (CSQ.095)



CSQ.060 When was the last time {you/SP} saw a doctor or other health care professional about a problem with {your/SP’s} sense of smell?

INTERVIEWER INSTRUCTION: READ CATEGORIES IF NECESSARY.


IN THE PAST 12 MONTHS 1

1 TO 4 YEARS AGO 2

5 TO 9 YEARS AGO 3

TEN OR MORE YEARS AGO 4

REFUSED …………………………………………………………… 7

DON’T KNOW ………………………………………………………. 9



CSQ.070 During the past 12 months, have {you/SP} tried any recommended treatments, or followed the advice of {your/SP’s} doctor or other health care professionals, to improve {your/SP’s} sense of smell?


YES 1

NO 2

RECEIVED NO RECOMMENDATIONS FOR TREATMENT 3

REFUSED …………………………………………………………… 7

DON’T KNOW ………………………………………………………. 9



These next questions are about {your/SP’s} sense of taste.


CSQ.095 During the past 12 months, how would {you/SP} describe {your/his/her} sense of taste for salty, sour, sweet, or bitter things? Would you say {you/SP’s} have no trouble, that {you have/s/he has} a little trouble, moderate trouble, a lot of trouble, or have {you/SP} lost {your/SP’s} ability to taste these things?


NO TROUBLE 1

A LITTLE TROUBLE 2

MODERATE TROUBLE 3

A LOT OF TROUBLE 4

LOST ABILITY TO TASTE salty, sour, sweet, or

bitter 5 (CSQ.155)

NEVER HAD ABILITY TO TASTE salty, sour, sweet, or

bitter 6 (CSQ.148)

REFUSED 7

DON'T KNOW 9



CSQ.120 The next statements ask about difficulties you may have had with your sense of taste during the past 12 months. Please tell me if the following statements are often true, sometimes true, or never true. Do not include temporary problems with smell due to a head cold or the flu.

HAND CARD CSQ 1


RESPONSES: OFTEN TRUE = 1, SOMETIMES TRUE = 2, NEVER TRUE = 3, REFUSED = 7, DON’T KNOW = 9


a. {I/SP} can’t taste some things __

b. {I/SP} can’t taste most things __

c. some things don’t taste right __

d. {I/SP} taste something when nothing is really there __

e. things taste stronger than they should __



BOX 3


CHECK ITEM: IF (CSQ.095 = 2, 3, or 4) AND (CSQ.120C = 1 OR 2) CONTINUE. OTHERWISE GO TO BOX 4.



CSQ.125 With things that don't taste right to {you/SP}, what is the taste? Would {you/SP} say the taste is …


INTERVIEWER INSTRUCTION: IF SPS SAY THAT THEY JUST HAVE A BAD TASTE IN THEIR MOUTH, CODE AS 5 AND NOT OTHER (SPECIFY).


HAND CARD 3

MARK ALL THAT APPLY.


sweet, 1

sour, 2

salty, 3

bitter, 4

bad,.…………………………………………………….…….. ….. 5

rancid or spoiled. . 6

metallic, or 7

burnt? 8

OTHER (SPECIFY) 9

REFUSED …………………………………………………………… 77

DON’T KNOW ………………………………………………………. 99



BOX 4


CHECK ITEM: IF (CSQ.095 = 2, 3, or 4) AND (CSQ.120D = 1 OR 2) CONTINUE. OTHERWISE GO BOX 5.






CSQ.130 If {you taste/SP tastes} something, but there is really nothing in {your/SP’s} mouth, would you say the taste is …


INTERVIEWER INSTRUCTION: IF SPS SAY THAT THEY JUST HAVE A BAD TASTE IN THEIR MOUTH, CODE AS 5 AND NOT OTHER (SPECIFY).


HAND CARD 3

MARK ALL THAT APPLY.


sweet, 1

sour, 2

salty, 3

bitter, 4

bad,…………………………………………………………. 5

rancid or spoiled 6

metallic, or ………………………………………………………….… 7

burnt? 8

OTHER (SPECIFY) ………………………………………………… 9

REFUSED …………………………………………………………… 77

DON’T KNOW ………………………………………………………. 99



BOX 5


CHECK ITEM: IF (CSQ.095 = 2, 3, or 4) OR (CSQ.120A, CSQ.120B, CSQ.120C, CSQ.120D OR CSQ.120E=1 OR 2), CONTINUE. OTHERWISE GO CSQ.148.



CSQ.135 How long have {you/SP} had a problem with {your /SP’s} sense of taste?


INTERVIEWER INSTRUCTION: READ CATEGORIES IF NECESSARY


LESS THAN 3 MONTHS 1

3 TO 12 MONTHS (1 YEAR) 2

1 TO 4 YEARS 3

5 TO 9 YEARS 4

TEN OR MORE YEARS 5

REFUSED 7

DON'T KNOW 9



CSQ.140 During the past 12 months, has the problem with {your/SP’s} sense of taste become…


better, 1

worse, 2

it varies, or 3

it stayed about the same? 4

REFUSED 7

DON'T KNOW 9





This next question is about {your/SP’s} ability to taste food flavors. Examples of common food flavors are chocolate, chicken, peanut butter, cheese, tomato, banana, and corn.


CSQ.148 During the past 12 months, how would you describe {your/SP’s} ability to taste food flavors? Would you say {you have/SP has} no trouble, that {you have/SP has} a little trouble, moderate trouble, a lot of trouble, or have {you/SP} lost {your/SP’s} ability to taste flavors?

NO TROUBLE 1

A LITTLE TROUBLE 2

MODERATE TROUBLE 3

A LOT OF TROUBLE 4

LOST ABILITY TO TASTE FLAVORS 5

NEVER HAD ABILITY TO TASTE FLAVORS 6

REFUSED …………………………………………………………..… 7

DON’T KNOW ……………………………………………………..…. 9



CSQ.155 Have {you/SP} ever seen a doctor or other health care professional about a problem with {your/SP’s} sense of taste?


INTERVIEWER INSTRUCTION: INCLUDE DIETITIANS AND NURTITIONISTS AS HEALTH CARE PROFESSIONALS.


YES 1

NO 2 (BOX 5)

REFUSED 7 (BOX 5)

DON'T KNOW 9 (BOX 5)



CSQ.160 When was the last time {you/SP} saw a doctor or other health care professional about a problem with {your/SP’s} sense of taste?


INTERVIEWER INSTRUCTION: READ CATEGORIES IF NECESSARY.


IN THE PAST 12 MONTHS 1

1 TO 4 YEARS AGO 2

5 TO 9 YEARS AGO 3

TEN OR MORE YEARS AGO 4

REFUSED 7

DON'T KNOW 9



CSQ.170 During the past 12 months, have {you/SP} tried any recommended treatments, or followed the advice of {your /SP’s} doctor or other health care professionals, to improve {your/SP’s} sense of taste?


YES 1

NO 2

RECEIVED NO RECOMMENDATIONS FOR TREATMENT 3

REFUSED 7

DON'T KNOW 9




BOX 6


CHECK ITEM: IF (CSQ.010 = 1 AND CSQ.055 = 2) AND ((CSQ.095 =1 AND CSQ.148= 1) AND CSQ.155 = 2) GO TO CSQ.210. OTHERWISE CONTINUE.



CSQ.150 During the past 12 months, has a problem with {your/SP’s} sense of taste had a negative impact on {your/SP’s} health, work, or quality of life? Please count problems with {your/SP’s} diet or weight as health problems.


YES 1

NO 2

REFUSED 7

DON'T KNOW 9



CSQ.205 During the past 12 months, did {you/SP} lose weight or gain weight as a result of a problem with {your/SP’s} sense of smell, or taste?


GAINED WEIGHT 1

LOST WEIGHT 2

NO CHANGE IN WEIGHT …………………………………………. 3

REFUSED …………………………………………………………… 7

DON’T KNOW ………………………………………………………. 9

CSQ.210 Does the amount of saliva in {your/SP's} mouth seem to be too little, too much, or {do you/does s/he} not notice it?


INTERVIEWER INSTRUCTION: A “DON’T NOTICE IT” response MEANS THE AMOUNT OF SALIVA IS NORMAL.


TOO LITTLE 1

TOO MUCH 2 (CSQ.230)

DON'T NOTICE IT 3 (CSQ.230)

REFUSED 7 (CSQ.230)

DON'T KNOW 9 (CSQ.230)



CSQ.220 Do {you/SP} frequently drink or sip liquids to help in swallowing foods?

YES 1

NO 2

REFUSED 7

DON'T KNOW 9



CSQ.230 In the last 12 months, {have you/has SP} had pain or burning in {your/his/her} mouth or on {your/his/her} tongue when {you/SP} have not had mouth sores?


YES 1

NO 2

REFUSED 7

DON'T KNOW 9



CSQ.240 Has a doctor or other health care professional ever told {you/SP} that {you/SP} had any of the following medical problems or conditions?

HAND CARD 4

RESPONSES: YES= 1, NO= 2, REFUSED = 7, DON'T KNOW = 9.


a. frequent nasal congestion or allergies __

b. recurring sinus infections __

c. nasal polyps __

d. head, nose, or face injury __

e. migraine headaches __

f. Parkinson’s disease __

g. Alzheimer’s disease or dementia __



CSQ.250 {Have you/Has SP} ever had any of the following treatments or surgeries?


HAND CARD 5

RESPONSES: YES= 1, NO= 2, REFUSED = 7, DON'T KNOW = 9.


a. wisdom teeth (third molars) removed __

b. tonsilectomy (removal of the tonsils) or adenoidectomy

(removal of the adenoids) __

c. radiation of the head or face __

d. chemotherapy __


HELP SCREEN: When tonsillectomies and adenoidectomies are performed together they are

called a “T & A.”



END OF SECTION









Oral health



OHQ.030 About how long has it been since {you/SP} last visited a dentist? Include all types of dentists, such as, orthodontists, oral surgeons, and all other dental specialists, as well as dental hygienists.


6 MONTHS OR LESS.................................... 1

MORE THAN 6 MONTHS, BUT NOT

MORE THAN 1 YEAR AGO.......................... .2

MORE THAN 1 YEAR, BUT NOT MORE

THAN 2 YEARS AGO.................................... 3

MORE THAN 2 YEARS, BUT NOT MORE

THAN 3 YEARS AGO.................................... 4

MORE THAN 3 YEARS, BUT NOT MORE

THAN 5 YEARS AGO.................................... 5

MORE THAN 5 YEARS AGO........................ 6

NEVER HAVE BEEN..................................... 7 (BOX NEW1)

REFUSED..................................................... 77

DON'T KNOW.................................................99


OHQ.033 What was the main reason {you/SP} last visited the dentist?


WENT IN ON OWN FOR CHECK-UP,

EXAMINATION OR CLEANING.................. 1

WAS CALLED IN BY THE DENTIST FOR

CHECK-UP, EXAMINATION OR

CLEANING.................................................. 2

SOMETHING WAS WRONG,

BOTHERING OR HURTING {ME/SP}......... 3

WENT FOR TREATMENT OF A

CONDITION THAT DENTIST

DISCOVERED AT EARLIER CHECK-UP

OR EXAMINATION..................................... 4

OTHER........................................................ 5

REFUSED................................................... 7

DON'T KNOW............................................. 9



OHQ.770 During the past 12 months, was there a time when {you/SP} needed dental care but could not get it at

that time?

YES............................................................... 1

NO................................................................. 2 (BOX NEW1)

REFUSED..................................................... 7 (BOX NEW1)

DON'T KNOW............................................... 9 (BOX NEW1)


OHQ.780 What were the reasons that {you/SP} could not get the dental care {you/she/he} needed?


CODE ALL THAT APPLY


HAND CARD OHQ New1

COULD NOT AFFORD THE COST.................. 10

DID NOT WANT TO SPEND THE MONEY...... 11

INSURANCE DID NOT COVER RECOMMENDED

PROCEDURES…..…………………………...... 12

DENTAL OFFICE IS TOO FAR AWAY. ........... 13


DENTAL OFFICE IS NOT OPEN AT

CONVENIENT TIMES.……………………. ....... 14

ANOTHER DENTIST RECOMMENDED

NOT DOING IT.. ...................... 15

AFRAID OR DO NOT LIKE DENTISTS............ 16

UNABLE TO TAKE TIME OFF FROM WORK.. 17

TOO BUSY........................................................ 18

I DID NOT THINK ANYTHING SERIOUS WAS

WRONG EXPECTED DENTAL PROBLEMS

TO GO AWAY.................................................. 19

OTHER.............................................................. 20

REFUSED......................................................... 77

DON'T KNOW................................................ 99



BOX NEW1

CHECK ITEM: OHQ New

IF SP AGE 2-15, GO TO OHQ.845

ELSE IF SP AGE 16+ and OHQ.030=1 or 2 CONTINUE:

ELSE GO TO BOX NEW2



OHQ.NEW1 In the past 12 months, did a dentist, hygienist or other dental professional have a direct conversation

with you about…

… the benefits of giving up cigarettes or other types of tobacco to improve your dental health?

YES ……………………………………………… 1

NO …………………………………………………2

REFUSED ………………………………………..7

DON'T KNOW ……………………………………9


OHQ.NEW2 (In the past 12 months, did a dentist, hygienist or other dental professional have a direct conversation with you about…)

… the dental health benefits of checking your blood sugar?


YES ……………………………………………….1

NO ………………………………………………...2

REFUSED………………………………………. 7

DON'T KNOW ………………………………… 9


OHQ.NEW3 (In the past 12 months, did a dentist, hygienist or other dental professional have a direct conversation with you about…)

… the importance of examining your mouth for oral cancer?


YES ………………………………………………1

NO ………………………………………………..2

REFUSED ……………………………………….7

DON'T KNOW …………………………………..9




BOX NEW 2

IF SP AGE 16-29, GO TO OHQ845

IF SP AGE 30+, CONTINUE



OHQ.NEW4 How often during the last year {have you/has SP} had painful aching anywhere in {your/his/her} mouth? Would you say . . .


HAND CARD OHQ New2

Very often,..................................................... 1

Fairly often,.................................................... 2

Occasionally,................................................. 3

Hardly ever, or............................................... 4

Never?........................................................... 5

REFUSED..................................................... 7

DON'T KNOW............................................... .9



OHQ.NEW5 How often during the last year {have you/has SP} had difficulty doing {your/his/her} usual jobs or attending school because of problems with {your/his/her} teeth, mouth or dentures? Would you say . . .


HAND CARD OHQ New2

Very often,................................................. ....1

Fairly often,................................................... 2

Occasionally,................................................ 3

Hardly ever, or............................................... 4

Never?........................................................... 5

REFUSED................................................... .. 7

DON'T KNOW............................................... 9


OHQ.NEW6 How often during the last year {have you/has SP} been self-conscious or embarrassed because of {your/his/her} teeth, mouth or dentures? Would you

say . ..


HAND CARD OHQ New2

Very often,..................................................... 1

Fairly often,.................................................... 2

Occasionally,................................................. 3

Hardly ever, or............................................... 4

Never?........................................................... 5

REFUSED..................................................... 7

DON'T KNOW................................................ 9




OHQ.835 Gum disease is a common problem with the mouth. People with gum disease might have swollen gums, receding gums, sore or infected gums or loose teeth. {Do you/Does SP} think {you/s/he} might have gum disease?


YES 1

NO 2

REFUSED 7

DON'T KNOW 9


OHQ.845 Overall, how would {you/SP} rate the health of {your/his/her} teeth and gums?


EXCELLENT 1

VERY GOOD 2

GOOD, 3

FAIR 4

POOR 5

REFUSED 7

DON’T KNOW 9



BOX NEW3

IF SP AGE >= 30, CONTINUE

OTHERWISE, GO TO END OF SECTION




OHQ.850 {Have you/Has SP} ever had treatment for gum disease such as scaling and root planning, sometimes called deep cleaning?


YES 1

NO 2

REFUSED 7

DON'T KNOW 9



OHQ.855 {Have you/Has SP} ever had any teeth become loose on their own, without an injury?


YES 1

NO 2

REFUSED 7

DON'T KNOW 9



OHQ.860 {Have you/Has SP} ever been told by a dental professional that {you/s/he} lost bone around {your/his/her} teeth?


YES 1

NO 2

REFUSED 7

DON'T KNOW 9



OHQ.865 During the past three months, {have you/has SP} noticed a tooth that doesn’t look right?


YES 1

NO 2

REFUSED 7

DON'T KNOW 9



OHQ.870 Aside from brushing {your/his/her} teeth with a toothbrush, in the last seven days, how many days did {you/SP} use dental floss or any other device to clean between {your/his/her} teeth?


HARD EDIT 0-7.


|___|

ENTER number of DAYS


REFUSED 77

DON'T KNOW 99




OHQ.875 Aside from brushing {your/his/her} teeth with a toothbrush, in the last seven days, how many days did {you/SP} use mouthwash or other dental rinse product that {you use/s/he uses} to treat dental disease or dental problems?


HARD EDIT 0-7.


|___|

ENTER number of DAYS


REFUSED 77

DON'T KNOW 99



OHQ.NEW7 Have you ever had an exam for oral cancer in which the doctor or dentist pulls on your tongue,

sometimes with gauze wrapped around it, and feels under the tongue and inside the cheeks?


YES ……………….……………..………………… 1

NO………………...................................................2

REFUSED 7

DON'T KNOW 9


OHQ.NEW8 Have you ever had an exam for oral cancer in which the doctor or dentist feels your neck?


YES.......……………………………………… 1

NO… ………….. ……………………………… 2

REFUSED…………………………………….. 7

DON'T KNOW………………………………….9



BOX NEW4

IF OHQ.NEW7 OR OHQ.NEW8=1 CONTINUE

OTHERWISE, GO TO END OF SECTION

OHQ.NEW9 When did you have your most recent oral or mouth cancer exam? Was it within the past year, between 1 and 3 years ago, or over 3 years ago?


Within past year…………………………….. 1

Between 1 and 3 years ago.…………..……2

Over 3 years ago………………………….. 3 (End of section)

REFUSED 7 (End of section)

DON'T KNOW 9 (End of section)



OHQ.NEW10 What type of health care professional performed your most recent oral cancer exam?


Doctor/physician ……………..……………..1

Nurse/nurse practitioner………………….. 2

Dentist (include oral surgeons).....……….. 3

Dental Hygienist…………..….……………..4

Other ………………………….…………….. 5

REFUSED……………………………………7

DON'T KNOW………………………………..9





























physical activity AND PHYSICAL FITNESS



BOX 1


CHECK ITEM PAQ.700:

IF SP AGE 2-11, GO TO PAQ.706.

IF SP AGE <2 OR SP 12-15, GO TO NEXT SECTION.

IF SP AGE 16+, CONTINUE.




PAQ.605 Next I am going to ask you about the time {you spend/SP spends} doing different types of physical activity in a typical week.


Think first about the time {you spend/SP spends} doing work. Think of work as the things that {you have/SP has} to do such as paid or unpaid work, household chores, and yard work.


Does {your/SP’s} work involve vigorous-intensity activity that causes large increases in breathing or heart rate like carrying or lifting heavy loads, digging or construction work for at least 10 minutes continuously?


YES 1

NO 2 (PAQ.620)

REFUSED 7 (PAQ.620)

DON'T KNOW 9 (PAQ.620)



PAQ.610 In a typical week, on how many days {do you/does SP} do vigorous-intensity activities as part of {your/his/her} work?


PROBE IF NEEDED: Vigorous-intensity activity causes large increases in breathing or heart rate and is done for at least 10 minutes continuously.


HARD EDIT: 1-7.


|___|___|

ENTER NUMBER OF DAYS


REFUSED 77 (PAQ.620)

DON'T KNOW 99 (PAQ.620)



PAQ.615 How much time {do you/does SP} spend doing vigorous-intensity activities at work on a typical day?

Q/U

PROBE IF NEEDED: Think about a typical day when you do vigorous-intensity activities during your work.


PROBE IF NEEDED: Vigorous-intensity activity causes large increases in breathing or heart rate and is done for at least 10 minutes continuously.


SOFT EDIT: >4 HOURS. SOFT EDIT WORDING: INTERVIEWER, YOU HAVE RECORDED THAT THE SP SPENDS MORE THAN 4 HOURS DOING VIGOROUS-INTENSITY ACTIVITIES AT WORK ON A TYPICAL DAY. PLEASE CONFIRM WITH SP THAT OVER 4 HOURS IS CORRECT.


SOFT EDIT: >4 HOURS.

HARD EDIT: >24 HOURS.

HARD EDIT: <10 MINUTES.


|___|___|___|

ENTER NUMBER OF MINUTES OR HOURS


REFUSED 777

DON'T KNOW 999


ENTER UNIT


MINUTES 1

HOURS 2

REFUSED 7

DON'T KNOW 9



PAQ.620 Does {your/SP’s} work involve moderate-intensity activity that causes small increases in breathing or heart rate such as brisk walking or carrying light loads for at least 10 minutes continuously?


YES 1

NO 2 (PAQ.635)

REFUSED 7 (PAQ.635)

DON'T KNOW 9 (PAQ.635)



PAQ.625 In a typical week, on how many days {do you/does SP} do moderate-intensity activities as part of {your/his/her} work?


PROBE IF NEEDED: Moderate-intensity activity causes small increases in breathing or heart rate and is done for at least 10 minutes continuously.


HARD EDIT: 1-7.


|___|___|

ENTER NUMBER OF DAYS


REFUSED 77 (PAQ.635)

DON'T KNOW 99 (PAQ.635)



PAQ.630 How much time {do you/does SP} spend doing moderate-intensity activities at work on a typical day?

Q/U

PROBE IF NEEDED: Think about a typical day when you do moderate-intensity activities during your work.


PROBE IF NEEDED: Moderate-intensity activity causes small increases in breathing or heart rate and is done for at least 10 minutes continuously.


SOFT EDIT: >4 HOURS. SOFT EDIT WORDING: INTERVIEWER, YOU HAVE RECORDED THAT THE SP SPENDS MORE THAN 4 HOURS DOING MODERATE-INTENSITY ACTIVITIES AT WORK ON A TYPICAL DAY. PLEASE CONFIRM WITH SP THAT OVER 4 HOURS IS CORRECT.


SOFT EDIT: >4 HOURS.

HARD EDIT: >24 HOURS.

HARD EDIT: <10 MINUTES.


|___|___|___|

ENTER NUMBER OF MINUTES OR HOURS


REFUSED 777

DON'T KNOW 999


ENTER UNIT


MINUTES 1

HOURS 2

REFUSED 7

DON'T KNOW 9



PAQ.635 The next questions exclude the physical activity of work that you have already mentioned. Now I would like to ask you about the usual way {you travel/SP travels} to and from places. For example to work, for shopping, to school.


{Do you/Does SP} walk or use a bicycle for at least 10 minutes continuously to get to and from places?


YES 1

NO 2 (PAQ.650)

REFUSED 7 (PAQ.650)

DON'T KNOW 9 (PAQ.650)



PAQ.640 In a typical week, on how many days {do you/does SP} walk or bicycle for at least 10 minutes continuously to get to and from places?


HARD EDIT: 1-7.


|___|___|

ENTER NUMBER OF DAYS


REFUSED 77 (PAQ.650)

DON'T KNOW 99 (PAQ.650)



PAQ.645 How much time {do you/does SP} spend walking or bicycling for travel on a typical day?

Q/U

PROBE IF NEEDED: Think about a typical day when you walk or bicycle for travel.


SOFT EDIT: >4 HOURS. SOFT EDIT WORDING: INTERVIEWER, YOU HAVE RECORDED THAT THE SP SPENDS MORE THAN 4 HOURS WALKING OR BICYCLING TO GET TO AND FROM PLACES ON A TYPICAL DAY. PLEASE CONFIRM WITH SP THAT OVER 4 HOURS IS CORRECT.


SOFT EDIT: >4 HOURS.

HARD EDIT: >24 HOURS.

HARD EDIT: <10 MINUTES.


|___|___|___|

ENTER NUMBER OF MINUTES OR HOURS


REFUSED 777

DON'T KNOW 999


ENTER UNIT


MINUTES 1

HOURS 2

REFUSED 7

DON'T KNOW 9



PAQ.650 The next questions exclude the work and transportation activities that you have already mentioned. Now I would like to ask you about sports, fitness and recreational activities.


{Do you/Does SP} do any vigorous-intensity sports, fitness, or recreational activities that cause large increases in breathing or heart rate like running or basketball for at least 10 minutes continuously?


YES 1

NO 2 (PAQ.665)

REFUSED 7 (PAQ.665)

DON'T KNOW 9 (PAQ.665)



PAQ.655 In a typical week, on how many days {do you/does SP} do vigorous-intensity sports, fitness or recreational activities?


PROBE IF NEEDED: Vigorous-intensity activity causes large increases in breathing or heart rate and is done for at least 10 minutes continuously.


HARD EDIT: 1-7.


|___|___|

ENTER NUMBER OF DAYS


REFUSED 77 (PAQ.665)

DON'T KNOW 99 (PAQ.665)



PAQ.660
Q/U

How much time {do you/does SP} spend doing vigorous–intensity sports, fitness or recreational activities on a typical day?


PROBE IF NEEDED: Think about a typical day when you do vigorous-intensity sports, fitness or recreational activities.


SOFT EDIT: >4 HOURS. SOFT EDIT WORDING: INTERVIEWER, YOU HAVE RECORDED THAT THE SP SPENDS MORE THAN 4 HOURS DOING VIGOROUS-INTENSITY RECREATIONAL ACTIVITIES ON A TYPICAL DAY. PLEASE CONFIRM WITH SP THAT OVER 4 HOURS IS CORRECT.


SOFT EDIT: >4 HOURS.

HARD EDIT: >24 HOURS.

HARD EDIT: <10 MINUTES.


|___|___|___|

ENTER NUMBER OF MINUTES OR HOURS


REFUSED 777

DON'T KNOW 999


ENTER UNIT


MINUTES 1

HOURS 2

REFUSED 7

DON'T KNOW 9



PAQ.665 {Do you/Does SP} do any moderate-intensity sports, fitness, or recreational activities that cause a small increase in breathing or heart rate such as brisk walking, bicycling, swimming, or golf for at least 10 minutes continuously?


YES 1

NO 2 (PAQ.680)

REFUSED 7 (PAQ.680)

DON'T KNOW 9 (PAQ.680)



PAQ.670 In a typical week, on how many days {do you/does SP} do moderate-intensity sports, fitness or recreational activities?


PROBE IF NEEDED: Moderate-intensity sports, fitness or recreational activities cause small increases in breathing or heart rate and is done for at least 10 minutes continuously.


HARD EDIT: 1-7.


|___|___|

ENTER NUMBER OF DAYS


REFUSED 77 (PAQ.680)

DON'T KNOW 99 (PAQ.680)



PAQ.675
Q/U

How much time {do you/does SP} spend doing moderate-intensity sports, fitness or recreational activities on a typical day?


PROBE IF NEEDED: Think about a typical day when you do moderate-intensity sports, fitness or recreational activities.


PROBE IF NEEDED: Moderate-intensity sports, fitness or recreational activities cause small increases in breathing or heart rate and is done for at least 10 minutes continuously.


SOFT EDIT: >4 HOURS. SOFT EDIT WORDING: INTERVIEWER, YOU HAVE RECORDED THAT THE SP SPENDS MORE THAN 4 HOURS DOING MODERATE-INTENSITY RECREATIONAL ACTIVITIES ON A TYPICAL DAY. PLEASE CONFIRM WITH SP THAT OVER 4 HOURS IS CORRECT.


SOFT EDIT: >4 HOURS.

HARD EDIT: >24 HOURS.

HARD EDIT: <10 MINUTES.


|___|___|___|

ENTER NUMBER OF MINUTES OR HOURS


REFUSED 777

DON'T KNOW 999


ENTER UNIT


MINUTES 1

HOURS 2

REFUSED 7

DON'T KNOW 9



PAQ.680
Q/U

The following question is about sitting at work, at home, getting to and from places, or with friends, including time spent sitting at a desk, traveling in a car or bus, reading, playing cards, watching television, or using a computer. Do not include time spent sleeping. How much time {do you/does SP} usually spend sitting on a typical day?


SOFT EDIT: >17 HOURS.

HARD EDIT: >24 HOURS.


|___|___|___|

ENTER NUMBER OF MINUTES OR HOURS


REFUSED 777

DON'T KNOW 999


ENTER UNIT


MINUTES 1

HOURS 2

REFUSED 7

DON'T KNOW 9


BOX 2


CHECK ITEM PAQ.720:

IF SP AGE 16+, GO TO PAQ.710.



PAQ.706 Now I'd like to ask you some questions about {SP's} activities.


During the past 7 days, on how many days was {SP} physically active for a total of at least 60 minutes per day? Add up all the time {SP} spent in any kind of physical activity that increased {his/her} heart rate and made {him/her} breathe hard some of the time.


0 days 0

1 day 1

2 days 2

3 days 3

4 days 4

5 days 5

6 days 6

7 days 7

REFUSED 77


DON’T KNOW 99



PAQ.710 Now I will ask you about TV watching and computer use.


Over the past 30 days, on average how many hours per day did {SP} sit and watch TV or videos? Would you say . . .


less than 1 hour, 0

1 hour, 1

2 hours, 2

3 hours, 3

4 hours, or 4

5 hours or more, or 5

none, {SP} does not watch TV or
videos 8

REFUSED 77

DON'T KNOW 99



PAQ.715 Over the past 30 days, on average how many hours per day did {SP} use a computer or play computer games outside of school? Would you say . . .



less than 1 hour, 0

1 hour, 1

2 hours, 2

3 hours, 3

4 hours, or 4

5 hours or more, or 5

{SP} does not use a computer
outside of work or school 8

REFUSED 77

DON'T KNOW 99


HELP SCREEN: If the SP watches T.V. or video at the same time as working on the computer,count this time as watching T.V. or video.


SLEEP DISORDERS



SLQ.010 The next set of questions is about {your/SP’s} sleeping habits.

H/M

How much sleep {do you/does SP} usually get at night on weekdays or workdays?


INTERVIEWER INSTRUCTION: IF RESPONDENT SLEEPS FOR ONLY VERY SHORT PERIODS OF TIME, ASK HIM/HER TO ESTIMATE ON AVERAGE THE TOTAL NUMBER OF HOURS THAT THEY GENERALLY SLEEP AT NIGHT.


|___|___|

ENTER HOURS


CAPI INSTRUCTION: HARD EDIT: HOURS MUST EQUAL 0-24.


REFUSED 777

DON'T KNOW 999



SLQ.050 {Have you/Has SP} ever told a doctor or other health professional that {you have/s/he has} trouble sleeping?


YES 1

NO 2

REFUSED 7

DON'T KNOW 9



SLQ.060 {Have you/Has SP} ever been told by a doctor or other health professional that {you have/s/he has} a sleep disorder?


YES 1

NO 2

REFUSED 7

DON'T KNOW 9















DIET BEHAVIOR and NUTRITION




BOX 1


CHECK ITEM DBQ.005:

IF SP AGE <= 6, CONTINUE.

OTHERWISE, GO TO BOX 2.




DBQ.010 Now I'm going to ask you some general questions about {SP's} eating habits.


Was {SP} ever breastfed or fed breastmilk?


YES 1

NO 2 (DBQ.041)

REFUSED 7 (DBQ.041)

DON'T KNOW 9 (DBQ.041)



DBQ.030
G/Q/U

How old was {SP} when {he/she} completely stopped breastfeeding or being fed breastmilk?

SOFT EDIT: NUMBER CANNOT BE MORE THAN SP’S AGE.


|___|___|___|___|

ENTER AGE IN DAYS, WEEKS, MONTHS OR YEARS


STILL BREASTFEEDING 2

REFUSED 7777

DON'T KNOW 9999


ENTER UNIT


DAYS 1

WEEKS 2

MONTHS 3

YEARS 4

REFUSED 7

DON'T KNOW 9



DBQ.041
G/Q/U

How old was {SP} when {he/she} was first fed formula?


SOFT EDIT: NUMBER CANNOT BE MORE THAN SP’S AGE.


|___|___|___|___|

ENTER AGE IN DAYS, WEEKS, MONTHS OR YEARS


NEVER 2 (DBQ.055)

REFUSED 7777

DON'T KNOW 9999


ENTER UNIT


DAYS 1

WEEKS 2

MONTHS 3

YEARS 4

REFUSED 7

DON'T KNOW 9



DBQ.050
G/Q/U

How old was {SP} when {he/she} completely stopped drinking formula?

SOFT EDIT: NUMBER CANNOT BE MORE THAN SP’S AGE.


|___|___|___|___|

ENTER AGE IN DAYS, WEEKS, MONTHS OR YEARS


STILL DRINKING FORMULA 2

REFUSED 7777

DON'T KNOW 9999


ENTER UNIT


DAYS 1

WEEKS 2

MONTHS 3

YEARS 4

REFUSED 7

DON'T KNOW 9



DBQ.055
G/Q/U

This next question is about the first thing that {SP} was given other than breast milk or formula. Please include juice, cow’s milk, sugar water, baby food, or anything else that {SP} might have been given, even water.


How old was {SP} when {he/she} was first fed anything other than breast milk or formula?


SOFT EDIT: NUMBER CANNOT BE MORE THAN SP’S AGE.


INTERVIEWER INSTRUCTION:

DO NOT COUNT MEDICATIONS, VITAMIN DROPS, OR SMALL AMOUNT OF WATER THAT WAS USED FOR ORAL HYGIENE PURPOSES.


|___|___|___|

ENTER AGE IN DAYS, WEEKS, MONTHS OR YEARS


NEVER 2 (BOX 2)

REFUSED 777 (BOX 2)

DON'T KNOW 999 (BOX 2)


ENTER UNIT


DAYS 1

WEEKS 2

MONTHS 3

YEARS 4

REFUSED 7

DON'T KNOW 9



DBQ.061
G/Q/U

How old was {SP} when {he/she} was first fed milk?

INCLUDE LACTAID AS MILK.

DO NOT INCLUDE BREASTMILK OR FORMULA.


SOFT EDIT: NUMBER CANNOT BE MORE THAN SP’S AGE.


|___|___|___|___|

ENTER AGE IN DAYS, WEEKS, MONTHS OR YEARS


NEVER 2 (BOX 2)

REFUSED 7777

DON'T KNOW 9999


ENTER UNIT


DAYS 1

WEEKS 2

MONTHS 3

YEARS 4

REFUSED 7

DON'T KNOW 9



DBQ.073 What type of milk was {SP} first fed? Was it . . .


CODE ALL THAT APPLY


whole or regular, 10

2% fat or reduced-fat milk, 11

1% fat or low-fat milk (includes 0.5% fat

milk or “low-fat milk” not further specified), 12

fat-free, skim or nonfat milk, 13

soy milk, or 14

another type? 30

REFUSED 77

DON'T KNOW 99



BOX 2


CHECK ITEM DBQ.085:

IF SP AGE >= 16, CONTINUE.

IF SP AGE <16 BUT >= 1, GO TO DBQ.197.

OTHERWISE, GO TO FSQ.651.




DBQ.700 Next I have some questions about {your/SP’s} eating habits.


In general, how healthy is {your/his/her} overall diet? Would you say . . .


excellent, 1

very good, 2

good, 3

fair, or 4

poor? 5

REFUSED 7

DON'T KNOW 9



BOX 3


OMITTED




BOX 4


OMITTED




DBQ.197 {Next I have some questions about {SP’s} eating habits.}


{First/Next}, I’m going to ask a few questions about milk products. Do not include their use in cooking.


In the past 30 days, how often did {you/SP} have milk to drink or on {your/his/her} cereal? Please include chocolate and other flavored milks as well as hot cocoa made with milk. Do not count small amounts of milk added to coffee or tea. Would you say . . .


HAND CARD DBQ1


CAPI INSTRUCTION:

THIS SHOULD NOT BE A GATE QUESTION ANYMORE.

CAPI DISPLAY INSTRUCTIONS: IF SP AGE 7-15 YEARS OLD, DISPLAY “{Next I have some questions about {SP’s} eating habits.} First, I’m going to ask about milk products. Do not include their use in cooking.” IF SP AGE <= 6 OR => 16 YEARS OLD, DISPLAY “Next I’m going to ask a few questions about milk products. Do not include their use in cooking.”


never, 0 (BOX 6)

rarely – less than once a week, 1

sometimes – once a week or more, but

less than once a day, or 2

often – once a day or more? 3

VARIED 4

REFUSED 7 (BOX 6)

DON'T KNOW 9 (BOX 6)



DBQ.223 What type of milk was it? Was it usually . . .


IF RESPONDENT CANNOT PROVIDE USUAL TYPE, CODE ALL THAT APPLY.


whole or regular, 10

2% fat or reduced-fat milk, 11

1% fat or low-fat milk (includes 0.5% fat

milk or “low-fat milk” not further specified), 12

fat-free, skim or nonfat milk, 13

soy milk, or 14

another type? 30

REFUSED 77

DON'T KNOW 99



BOX 6


CHECK ITEM DBQ.225:

IF SP AGE >= 20, CONTINUE.

OTHERWISE, GO TO BOX 9.




DBQ.229 The next question is about regular milk use.


A regular milk drinker is someone who uses any type of milk at least 5 times a week. Using this definition, which statement best describes {you/SP}?


HAND CARD DBQ2


{I've/He's/She's} been a regular milk

drinker for most or all of {my/his/her}

life, including {my/his/her} childhood. 1

{I've/He's/She's} never been a regular

milk drinker. 2 (BOX 8A)

{My/His/Her} milk drinking has varied over

{my/his/her} life – sometimes {I've/he's/

she's} been a regular milk drinker and

sometimes {I have/he has/she has} not

been a regular milk drinker. 3

REFUSED 7 (BOX 8A)

DON'T KNOW 9 (BOX 8A)

DBQ.235
a/b/c

Now, I’m going to ask you how often {you/SP} drank milk at different times in {your/his/her} life.

How often did {you/SP} drink any type of milk, including milk added to cereal, when {you were/s/he was} . . .


HAND CARD DBQ3


IF NECESSARY, PROBE FOR USUAL OR MOST COMMON AMOUNT FOR THIS TIME PERIOD.


CAPI INSTRUCTION:

THESE (A-C) SHOULD NOT BE GATE QUESTIONS ANYMORE.


a. a child between the ages of 5 and 12 years old? Would you say. . .


never, 0

rarely – less than once a week, 1

sometimes – once a week or more, but

less than once a day, or 2

often – once a day or more? 3

VARIED 4

REFUSED 7

DON'T KNOW 9


b. a teenager between the ages of 13 and 17 years old? Would you say . . .


never, 0

rarely – less than once a week, 1

sometimes – once a week or more, but

less than once a day, or 2

often – once a day or more? 3

VARIED 4

REFUSED 7

DON'T KNOW 9


c. a young adult between the ages of 18 and 35 years old? Would you say . . .


never, 0

rarely – less than once a week, 1

sometimes – once a week or more, but

less than once a day, or 2

often – once a day or more? 3

VARIED 4

REFUSED 7

DON'T KNOW 9



BOX 8A


CHECK ITEM DBQ.265A:

IF SP AGE >= 60, CONTINUE.

OTHERWISE, GO TO BOX 15.




DBQ.301 The next questions are about meals provided by community or government programs.


In the past 12 months, did {you/SP} receive any meals delivered to {your/his/her} home from community programs, “Meals on Wheels”, or any other programs?


YES 1

NO 2

REFUSED 7

DON’T KNOW 9



DBQ.330 In the past 12 months, did {you/SP} go to a community program or senior center to eat prepared meals?


INCLUDE ADULT DAY CARE


YES 1

NO 2

REFUSED 7

DON’T KNOW 9



BOX 8B


CHECK ITEM DBQ.335:

GO TO BOX 15.




BOX 9


CHECK ITEM DBQ.355:

IF SP AGE 4-19, CONTINUE.

OTHERWISE, GO TO BOX 14.




DBQ.360 During the school year, {do you/does SP} attend a kindergarten, grade school, junior or high school?


INTERVIEWER INSTRUCTION: ENTER ‘NO’ IF THE SP IS HOME SCHOOLED.


YES 1

NO 2 (BOX 14)

REFUSED 7 (BOX 14)

DON'T KNOW 9 (BOX 14)



DBQ.370 Does {your/SP's} school serve school lunches? These are complete lunches that cost the same every day.


YES 1

NO 2 (DBQ.400)

REFUSED 7 (DBQ.400)

DON'T KNOW 9 (DBQ.400)



DBQ.381
G/Q

During the school year, about how many times a week {do you/does SP} usually get a complete school lunch?


CAPI INSTRUCTION:

HARD EDIT 1-5


|___|

ENTER NUMBER OF TIMES


NONE 2 (DBQ.400)

REFUSED 7 (DBQ.400)

DON'T KNOW 9 (DBQ.400)



DBQ.390 {Do you/Does SP} get these lunches free, at a reduced price, or {do you/does he/she} pay full price?


FREE 1

REDUCED PRICE 2

FULL PRICE 3

REFUSED 7

DON'T KNOW 9



DBQ.400 Does {your/SP's} school serve a complete breakfast that costs the same every day?


YES 1

NO 2 (BOX 9A)

REFUSED 7 (BOX 9A)

DON'T KNOW 9 (BOX 9A)



DBQ.411
G/Q

During the school year, about how many times a week {do you/does SP} usually get a complete breakfast at school?


CAPI INSTRUCTION:

HARD EDIT 1-5


|___|

ENTER NUMBER OF TIMES


NONE 2 (BOX 9A)

REFUSED 7 (BOX 9A)

DON'T KNOW 9 (BOX 9A)



DBQ.421 {Do you/Does SP} get these breakfasts free, at a reduced price, or {do you/does he/she} pay full price?


FREE 1

REDUCED PRICE 2

FULL PRICE 3

REFUSED 7

DON'T KNOW 9



BOX 9A


CHECK ITEM DBQ.422:

IF DBQ.390 = CODE 1 OR CODE 2 OR DBQ.421 = CODE 1 OR CODE 2, CONTINUE.

OTHERWISE, GO TO BOX 14.




DBQ.424 {Do you/Does SP} get a free or reduced price meal at any summer program {you/he/she} attends?


YES 1

NO 2

DID NOT ATTEND SUMMER PROGRAM 3

REFUSED 7

DON’T KNOW 9



BOX 10


OMITTED




BOX 10A


OMITTED




BOX 11


OMITTED




BOX 14


CHECK ITEM DBQ.710:

IF SP AGE > 11, GO TO BOX 15.

ELSE, IF SP AGE 6-11, GO TO FSQ.675,

OTHERWISE, CONTINUE.




FSQ.651 Next are a few questions about the WIC program.


Did {SP} receive benefits from WIC, that is, the Women, Infants, and Children program, in the past 12 months?


YES 1 (FSQ.673)

NO 2 (BOX 14a)

REFUSED 7 (BOX 14a)

DON'T KNOW 9 (BOX 14a)


HELP SCREEN:

WIC: WIC is short for the Special Supplemental Food Program for Women, Infants, and Children. This program provides food assistance and nutritional screening to low-income pregnant and postpartum women and their infants, as well as to low-income children up to age 5.



BOX 14a


CHECK ITEM DBQ.710a:

IF SP AGE < 1, GO TO FSQ.690.

OTHERWISE, GO TO FSQ.675.




FSQ.673 Is {SP} now receiving benefits from the WIC program?


YES 1

NO 2

REFUSED 7

DON'T KNOW 9



BOX 14b


CHECK ITEM DBQ.710b:

IF SP AGE < 1, GO TO FSQ.685.

OTHERWISE, CONTINUE.




FSQ.675 {Next are a few questions about the WIC program, that is, the Women, Infants, and Children program.}


Did {SP} receive benefits from WIC when {he/she} was less than one year old?


YES 1

NO 2

REFUSED 7

DON'T KNOW 9


CAPI INSTRUCTION:

DISPLAY INTRODUCTION IF SP AGE IS 6-11.



BOX 14c


CHECK ITEM DBQ.710c:

IF SP AGE = 1, and (FSQ651 = 2 or FSQ.673 = 1), GO TO BOX 14d.

IF SP AGE = 2-5, and (FSQ651 = 1 or FSQ.673 = 1), GO TO BOX 14d.

OTHERWISE, CONTINUE.




FSQ.680 Did {SP} receive benefits from WIC when {he/she} was between the ages of {1 to {SP AGE/4} years old/12 to {SP AGE} months old}?


CAPI INSTRUCTION:

If SP age = 1, DISPLAY “12 to {the current age of the SP in months} months old”;

If SP age = 2 or 3, DISPLAY “1 to {the current age of the SP in years} years old”;

If SP age >3, DISPLAY “1 to 4 years old”.


YES 1

NO 2

REFUSED 7

DON'T KNOW 9



BOX 14d


CHECK ITEM DBQ.710d:

IF SP AGE = 1 and

FSQ651 in (2, 7, 9) and FSQ.675 in (2, 7, 9), GO TO FSQ.690.

SP AGE 2-5 and

FSQ651 in (2, 7, 9) and FSQ.675 in (2, 7, 9) and FSQ.680 in (2, 7, 9), GO TO FSQ.690.

SP AGE = 6-11 and

FSQ.675 in (2, 7, 9) and FSQ.680 in (2, 7, 9), GO TO FSQ.690.

OTHERWISE, CONTINUE.




FSQ.685 How long {did SP receive/has SP been receiving} benefits from the WIC program?


CAPI INSTRUCTION:

IF FSQ.673 = 1, DISPLAY "HAS SP BEEN RECEIVING"

OTHERWISE, DISPLAY "DID SP RECEIVE"


SOFT EDIT: NUMBER CANNOT BE MORE THAN SP’S AGE.


|__|__|

ENTER NUMBER (OF MONTHS OR YEARS)


REFUSED 77

DON'T KNOW 99


ENTER UNIT


MONTHS 1

YEARS 2

REFUSED 7

DON'T KNOW 9



FSQ.690 Did {SP’s} mother receive benefits from WIC, while she was pregnant with {SP}?


YES 1

NO 2 (BOX 15)

REFUSED 7 (BOX 15)

DON'T KNOW 9 (BOX 15)



FSQ.695 What month of the pregnancy did {SP’s} mother begin to receive WIC benefits?


|__|__|

ENTER NUMBER


REFUSED 77

DON'T KNOW 99



BOX 15


CHECK ITEM DBQ.715new:

IF SP AGE < 1 GO TO END OF SECTION.

IF SP AGE 12-15 GO TO END OF SECTION.

OTHERWISE, CONTINUE.




BOX 12


OMITTED




BOX 13


OMITTED




DBQ.895 Next I’m going to ask you about meals. By meal, I mean breakfast, lunch and dinner. During the past 7 days, how many meals {did you/did SP} get that were prepared away from home in places such as restaurants, fast food places, food stands, grocery stores, or from vending machines?


{Please do not include meals provided as part of the school lunch or school breakfast./Please do not include meals provided as part of the community programs you reported earlier.}


CAPI INSTRUCTION:

IF DBQ381G = 1 OR DBQ.411G = 1, DISPLAY {Please do not include meals provided as part of the school lunch or school breakfast.}

IF DBQ.301 = 1 OR DBQ.330 = 1, DISPLAY {Please do not include meals provided as part of the community programs you reported earlier.}

SOFT EDIT: DISPLAY A MESSAGE FOR ENTRY LARGER THAN “21.” – “Unusually large number entered – Please verify – this is more than 3 meals per day, each day during the past 7 days.”


|___|___|

ENTER NUMBER


NONE 2 (DBQ.905)

REFUSED 7 (DBQ.905)

DON'T KNOW 9 (DBQ.905)



DBQ.900 How many of those meals {did you/did SP} get from a fast-food or pizza place?


|___|___|

ENTER NUMBER


NONE 2

REFUSED 7

DON'T KNOW 9


CAPI INSTRUCTION: HARD EDIT

NUMBER OF MEALS ENTERED IN DBQ.900 MUST BE EQUAL TO OR LESS THAN NUMBER ENTERED IN DBQ.895. IF NOT, DISPLAY THE FOLLOWING:

“THE NUMBER OF MEALS FROM A FAST FOOD OR PIZZA PLACE CANNOT BE GREATER THAN NUMBER OF MEALS PREPARED AWAY FROM HOME.”



DBQ.905 Some grocery stores sell “ready to eat” foods such as salads, soups, chicken, sandwiches and cooked vegetables in their salad bars and deli counters.


During the past 30 days, how often did {you/SP} eat “ready to eat” foods from the grocery store? Please do not include sliced meat or cheese you buy for sandwiches and frozen or canned foods.


|___|___|

ENTER NUMBER OF TIMES (PER DAY, WEEK, OR MONTH)


NEVER 2

REFUSED 7

DON’T KNOW 9


ENTER UNIT


DAY 1

WEEK 2

MONTH 3



DBQ.910 During the past 30 days, how often did {you/SP} eat frozen meals or frozen pizzas? Here are some examples of frozen meals and frozen pizzas.


HAND CARD DBQ4


|___|___|

ENTER NUMBER OF TIMES (PER DAY, WEEK, OR MONTH)


NEVER 2

REFUSED 7

DON’T KNOW 9


ENTER UNIT


DAY 1

WEEK 2

MONTH 3




BOX 15a


CHECK ITEM DBQ.715a:

IF SP AGE < 16, GO TO END OF SECTION.

OTHERWISE, CONTINUE.




CBQ.595 Next I’m going to ask a few questions about the nutritional guidelines recommended for Americans by the federal government.


Have you heard of My Pyramid?

YES 1 (CBQ.605)

NO 2

REFUSED 7

DON'T KNOW 9



CBQ.600 Have you heard of the Food Pyramid or the Food Guide Pyramid?

YES 1 (CBQ.610)

NO 2 (END OF SECTION)

REFUSED 7 (END OF SECTION)

DON’T KNOW 9 (END OF SECTION)



CBQ.605 Have you looked up the My Pyramid plan for a {man/woman/person} your age on the internet?


YES 1

NO 2

REFUSED 7

DON’T KNOW 9



CBQ.610 Have you tried to follow the {My Pyramid Plan/Pyramid plan} recommended for you?


YES 1

NO 2

REFUSED 7

DON’T KNOW 9


CAPI INSTRUCTION:

IF CBQ595 = Yes THEN DISPLAY "My Pyramid/Plan Mi Pirámide". ELSE DISPLAY "Pyramid plan/plan de la Pirámide de Alimentos"




END OF SECTION







WEIGHT HISTORY



WHQ.010
G/F/I/M/C

These next questions ask about {your/SP's} height and weight at different times in {your/his/her} life.

How tall {are you/is SP} without shoes?


ENTER HEIGHT IN FEET AND INCHES OR METERS AND CENTIMETERS


|___|___|

ENTER NUMBER OF FEET


AND


|___|___|

ENTER NUMBER OF INCHES


OR


|___|___|

ENTER NUMBER OF METERS


AND


|___|___|___|

ENTER NUMBER OF CENTIMETERS


OR


REFUSED 7777

DON’T KNOW 9999



WHQ.025/
L/K

How much {do you/does SP} weigh without clothes or shoes? [If {you are/she is} currently pregnant, how much did {you/she} weigh before your pregnancy?]


RECORD CURRENT WEIGHT

ENTER WEIGHT IN POUNDS OR KILOGRAMS


CAPI INSTRUCTION:

DISPLAY OPTIONAL SENTENCE [If {you are/she is} currently pregnant . . .] ONLY IF SP IS FEMALE AND AGE IS 16 THROUGH 59.


|___|___|___|

ENTER NUMBER OF POUNDS


CAPI INSTRUCTION:

SOFT EDIT 75-500, HARD EDIT 50-750


OR


|___|___|___|

ENTER NUMBER OF KILOGRAMS


CAPI INSTRUCTION:

SOFT EDIT 34-225, HARD EDIT 23-338


OR


REFUSED 777

DON’T KNOW 999



WHQ.030 {Do you/Does SP} consider {your/his/her}self now to be . . . [If {you are/she is} currently pregnant, what did {you/she} consider {your/her}self to be before {you were/she was} pregnant?]


overweight, 1

underweight, or 2

about the right weight? 3

REFUSED 7

DON’T KNOW 9


CAPI INSTRUCTION:

DISPLAY OPTIONAL SENTENCE [If {you are/she is} currently pregnant…] ONLY IF SP IS FEMALE AND AGE IS 16 THROUGH 59.



WHQ.040 Would {you/SP} like to weigh . . .


more, 1

less, or 2

stay about the same? 3 (WHQ.053)

REFUSED 7 (WHQ.053)

DON’T KNOW 9 (WHQ.053)



WHQ.045/
L/K

How much {would you/would SP} like to weigh?

ENTER WEIGHT IN POUNDS OR KILOGRAMS


|___|___|___|

ENTER NUMBER OF POUNDS


CAPI INSTRUCTION:

SOFT EDIT 75-500, HARD EDIT 50-750


OR


|___|___|___|

ENTER NUMBER OF KILOGRAMS


CAPI INSTRUCTION:

SOFT EDIT 34-225, HARD EDIT 23-338


REFUSED 77777

DON’T KNOW 99999



WHQ.053/
L/K

How much did {you/SP} weigh a year ago? [If {you were/she was} pregnant a year ago, how much did {you/she} weigh before your pregnancy?]


ENTER WEIGHT IN POUNDS OR KILOGRAMS


CAPI INSTRUCTION:

DISPLAY OPTIONAL SENTENCE [If {you were/she was} pregnant . . .] ONLY IF SP IS FEMALE AND SP AGE IS 17 THROUGH 60.


|___|___|___|

ENTER NUMBER OF POUNDS


CAPI INSTRUCTION:

SOFT EDIT 75-500, HARD EDIT 50-750


OR


|___|___|___|

ENTER NUMBER OF KILOGRAMS


CAPI INSTRUCTION:

SOFT EDIT 34-225, HARD EDIT 23-338


OR


REFUSED 777

DON’T KNOW 999



BOX 1


CHECK ITEM WHQ.055:

IF WEIGHT IN WHQ.053/L/K IS 10 POUNDS, 4.55 KILOGRAMS, OR MORE THAN WEIGHT IN WHQ.025/L/K (E.G., WHQ.053/L/K = 150 LBS AND WHQ.025/L/K = 135 LBS), CONTINUE.

OTHERWISE, GO TO WHQ.070.




WHQ.061 Was the change between {your/SP's} current weight and {your/his/her} weight a year ago because you tried to lose weight?


YES 1 (WHQ.089/OS)

NO 2

REFUSED 7

DON'T KNOW 9



WHQ.070 During the past 12 months, {have you/has SP} tried to lose weight?


YES 1

NO 2 (WHQ.090)

REFUSED 7 (WHQ.090)

DON’T KNOW 9 (WHQ.090)



WHQ.089/
OS

How did {you/SP} try to lose weight?

HAND CARD WHQ1

CODE ALL THAT APPLY


ATE LESS FOOD (AMOUNT) 100

SWITCHED TO FOODS WITH LOWER

CALORIES 110

ATE LESS FAT 120

ATE FEWER CARBOHYDRATES 125

EXERCISED 130

SKIPPED MEALS 140

ATE “DIET” FOODS OR PRODUCTS 150

USED A LIQUID DIET FORMULA SUCH

AS SLIMFAST OR OPTIFAST 160

JOINED A WEIGHT LOSS PROGRAM

SUCH AS WEIGHT WATCHERS, JENNY

CRAIG, TOPS, OR OVEREATERS

ANONYMOUS 170

FOLLOWED A SPECIAL DIET SUCH AS

DR. ATKINS, SOUTH BEACH, OTHER

HIGH PROTEIN OR LOW

CARBOHYDRATE DIET, CABBAGE

SOUP DIET, ORNISH, NUTRISYSTEM,

BODY-FOR-LIFE 300

TOOK DIET PILLS PRESCRIBED BY A

DOCTOR 310

TOOK OTHER PILLS, MEDICINES, HERBS,

OR SUPPLEMENTS NOT NEEDING A

PRESCRIPTION 320

STARTED TO SMOKE OR BEGAN TO

SMOKE AGAIN 325

TOOK LAXATIVES OR VOMITED 330

DRANK A LOT OF WATER 340

ATE MORE FRUITS, VEGETABLES,

SALADS 350

ATE LESS SUGAR, CANDY, SWEETS 360

CHANGED EATING HABITS (DIDN’T EAT

LATE AT NIGHT, ATE SEVERAL SMALL

MEALS A DAY) 370

ATE LESS JUNK FOOD OR FAST FOOD 380

OTHER (SPECIFY) 400

REFUSED 777

DON’T KNOW 999



WHQ.270 In the past 12 months, {did you/did SP} seek help from a personal trainer, dietitian, nutritionist, doctor or other health professional to lose weight?


YES 1

NO 2 (BOX 2A)

REFUSED 7 (BOX 2A)

DON’T KNOW 9 (BOX 2A)



WHQ.281 Was that a . . .


CODE ALL THAT APPLY.


personal trainer, 1

dietitian, 2

nutritionist, 3

doctor, or 4

other health professional? 5

REFUSED 7

DON’T KNOW 9



BOX 2A


CHECK ITEM WHQ.185:

IF WHQ.061 = CODE 1 OR WHQ.070 = CODE 1, GO TO WHQ.220/L/K.




WHQ.090 During the past 12 months, {have you/has SP} done anything to keep from gaining weight?


YES 1

NO 2 (WHQ.210)

REFUSED 7 (WHQ.210)

DON’T KNOW 9 (WHQ.210)



WHQ.104/ What did {you/SP} do to keep from gaining weight?

OS

CODE ALL THAT APPLY.


HAND CARD WHQ1


ATE LESS FOOD (AMOUNT) 100

SWITCHED TO FOODS WITH LOWER

CALORIES 110

ATE LESS FAT 120

ATE FEWER CARBOHYDRATES 125

EXERCISED 130

SKIPPED MEALS 140

ATE “DIET” FOODS OR PRODUCTS 150

USED A LIQUID DIET FORMULA SUCH

AS SLIMFAST OR OPTIFAST 160

JOINED A WEIGHT LOSS PROGRAM

SUCH AS WEIGHT WATCHERS, JENNY

CRAIG, TOPS, OR OVEREATERS

ANONYMOUS 170

FOLLOWED A SPECIAL DIET SUCH AS

DR. ATKINS, SOUTH BEACH, OTHER

HIGH PROTEIN OR LOW

CARBOHYDRATE DIET, CABBAGE

SOUP DIET, ORNISH, NUTRISYSTEM,

BODY-FOR-LIFE 300

TOOK DIET PILLS PRESCRIBED BY A

DOCTOR 310

TOOK OTHER PILLS, MEDICINES, HERBS,

OR SUPPLEMENTS NOT NEEDING A

PRESCRIPTION 320

STARTED TO SMOKE OR BEGAN TO

SMOKE AGAIN 325

TOOK LAXATIVES OR VOMITED 330

DRANK A LOT OF WATER 340

ATE MORE FRUITS, VEGETABLES,

SALADS 350

ATE LESS SUGAR, CANDY, SWEETS 360

CHANGED EATING HABITS (DIDN’T EAT

LATE AT NIGHT, ATE SEVERAL SMALL

MEALS A DAY) 370

ATE LESS JUNK FOOD OR FAST FOOD 380

OTHER (SPECIFY) 400

REFUSED 777

DON’T KNOW 999



WHQ.210 {Have you/Has SP} ever tried to lose weight?


YES 1

NO 2 (BOX 2)

REFUSED 7 (BOX 2)

DON’T KNOW 9 (BOX 2



WHQ.220/
L/K

How much weight {did you/did SP} lose in {your/his/her} most successful attempt ever to lose weight?

ENTER WEIGHT IN POUNDS OR KILOGRAMS


HELP SCREEN: This question refers only to deliberate attempts to lose weight; it does not refer to weight loss because of illness, side effects of medication, stress, or other unintended causes.


|___|___|___|

ENTER NUMBER OF POUNDS


CAPI INSTRUCTION:

SOFT EDIT OVER 100 POUNDS


OR


|___|___|___|

ENTER NUMBER OF KILOGRAMS


CAPI INSTRUCTION:

SOFT EDIT OVER 45 KILOGRAMS


OR


REFUSED 777

DON’T KNOW 999



BOX 2


CHECK ITEM WHQ.105:

IF SP AGE >= 36, CONTINUE.

OTHERWISE, GO TO BOX 3.




WHQ.111/
L/K

How much did {you/SP} weigh 10 years ago? [If you don't know {your/his/her} exact weight, please make your best guess.] [If {you were/she was} pregnant, how much did {you/she} weigh before {your/her} pregnancy?]


ENTER WEIGHT IN POUNDS OR KILOGRAMS


CAPI INSTRUCTION:

DISPLAY OPTIONAL SENTENCE [If {you were/she was} . . .] ONLY IF SP IS FEMALE AND AGE IS LESS THAN OR EQUAL TO 69.


|___|___|___|

ENTER NUMBER OF POUNDS


CAPI INSTRUCTION:

SOFT EDIT 75-500, HARD EDIT 50-750

OR

|___|___|___|

ENTER NUMBER OF KILOGRAMS


CAPI INSTRUCTION:

SOFT EDIT 34-225, HARD EDIT 23-338

OR

REFUSED 77777

DON’T KNOW 99999



BOX 3


CHECK ITEM WHQ.115A:

IF SP AGE >= 27, CONTINUE.

OTHERWISE, GO TO WHQ.147/L/K.




WHQ.121/
L/K

How much did {you/SP} weigh at age 25? [If you don't know {your/his/her} exact weight, please make your best guess.] [If {you were/she was} pregnant, how much did {you/she} weigh before your pregnancy?]


ENTER WEIGHT IN POUNDS OR KILOGRAMS


CAPI INSTRUCTION:

DISPLAY OPTIONAL SENTENCE [If {you were/she was} . . .] ONLY IF SP IS FEMALE.


|___|___|___|

ENTER NUMBER OF POUNDS

OR

|___|___|___|

ENTER NUMBER OF KILOGRAMS

OR

REFUSED 77777

DON’T KNOW 99999



BOX 3A


CHECK ITEM WHQ.125:

IF SP AGE >= 50, CONTINUE.

OTHERWISE, GO TO WHQ.147/L/K.




WHQ.130/
F/I/M/C

How tall {were you/was SP} at age 25? [If you don't know {your/his/her} exact height, please make your best guess.]


ENTER HEIGHT IN FEET AND INCHES OR METERS AND CENTIMETERS


|___|___|

ENTER NUMBER OF FEET


CAPI INSTRUCTION: HARD EDIT 2-8

AND

|___|___|

ENTER NUMBER OF INCHES


CAPI INSTRUCTION: HARD EDIT 0-11

OR

|___|___|

ENTER NUMBER OF METERS


CAPI INSTRUCTION: HARD EDIT 0-3

AND

|___|___|___|

ENTER NUMBER OF CENTIMETERS


CAPI INSTRUCTION: HARD EDIT 0-99

OR

REFUSED 7777

DON’T KNOW 9999



BOX 4


OMITTED




WHQ.147/
L/K

What is the most {you have/SP has} ever weighed? [Do not include any times when {you were/she was} pregnant.]


ENTER WEIGHT IN POUNDS OR KILOGRAMS


CAPI INSTRUCTION:

DISPLAY OPTIONAL SENTENCE {Do not include . . .} ONLY IF SP IS FEMALE.


|___|___|___|

ENTER NUMBER OF POUNDS


CAPI INSTRUCTION:

SOFT EDIT 75-500, HARD EDIT 50-750

OR

|___|___|___|

ENTER NUMBER OF KILOGRAMS


CAPI INSTRUCTION:

SOFT EDIT 34-225, HARD EDIT 23-338

OR

REFUSED 777 (END OF SECTION)

DON’T KNOW 999 (END OF SECTION)



WHQ.150 How old {were you/was SP} then? [If you don't know {your/his/her} exact age, please make your best guess.]


|___|___|___|

ENTER AGE IN YEARS


REFUSED 77777

DON'T KNOW 99999



BOX 5


OMITTED









S

NHANES 2007

MOKING AND TOBACCO USE



These next questions are about cigarette smoking.



SMQ.020 {Have you/Has SP} smoked at least 100 cigarettes in {your/his/her} entire life?


YES 1

NO 2 (END OF SECTION)

REFUSED 7 (END OF SECTION)

DON'T KNOW 9 (END OF SECTION)


HELP SCREEN:

Cigarette: Respondent defined. Do not include cigars or marijuana.



SMQ.030 How old {were you/was SP} when {you/s/he} first started to smoke cigarettes?

G/Q

|___|___|___|

ENTER AGE IN YEARS


NEVER SMOKED CIGARETTES

REGULARLY 666

REFUSED 77777

DON'T KNOW 99999


Cigarette: Respondent defined. Do not include cigars or marijuana.



SMQ.040 {Do you/Does SP} now smoke cigarettes . . .


every day, 1 (SMQ.077)

some days, or 2 (SMQ.641)

not at all? 3 (SMQ.050Q/U)

REFUSED 7 (END OF SECTION)

DON'T KNOW 9 (END OF SECTION)


HELP SCREEN:

Cigarette: Respondent defined. Do not include cigars or marijuana.



SMQ.050 How long has it been since {you/SP} quit smoking cigarettes?

Q/U

|___|___|___|

ENTER NUMBER (OF DAYS, WEEKS, MONTHS OR YEARS)


REFUSED 77777

DON'T KNOW 99999


ENTER UNIT


DAYS 1

WEEKS 2

MONTHS 3

YEARS 4

REFUSED 7

DON'T KNOW 9


HELP SCREEN:

Cigarette: Respondent defined. Do not include cigars or marijuana.



BOX 1A


CHECK ITEM SMQ.053:

IF SMQ.050Q/U >= 1 YEAR (365 DAYS, 52 WEEKS, 12 MONTHS, OR 1 YEAR), CONTINUE.

OTHERWISE, GO TO END.




SMQ.055 How old {were you/was SP} when {you/s/he} last smoked cigarettes ?



|___|___|___|

ENTER AGE IN YEARS


REFUSED 77777

DON'T KNOW 99999


Cigarette: Respondent defined. Do not include cigars or marijuana.



SMQ.057 At that time, about how many cigarettes did {you/SP} usually smoke per day?


1 PACK EQUALS 20 CIGARETTES

IF LESS THAN 1 PER DAY, ENTER 1

IF 95 OR MORE PER DAY, ENTER 95


|___|___|___|

ENTER NUMBER OF CIGARETTES (PER DAY)


REFUSED 7777

DON'T KNOW 9999


HELP SCREEN:

Cigarette: Respondent defined. Do not include cigars or marijuana.



BOX 1B


CHECK ITEM SMQ.060:

GO TO END.




SMQ.077 How soon after {you/SP} wake{s} up {do you/does s/he} smoke? Would you say . . .


within 5 minutes, 1

from 6 to 30 minutes, 2

from more than 30 minutes to 1 hour, or 3

more than 1 hour? 4

REFUSED 7

DON'T KNOW 9



SMQ.641 During the past 30 days, on how many days did {you/SP} smoke cigarettes?


|___|___|

ENTER NUMBER OF DAYS


REFUSED 7777

DON'T KNOW 9999


CAPI INSTRUCTION:

ALLOW '0' AS AN ENTRY. IF '0' DK OR RF ENTERED, SKIP TO QUESTION SMQ.093.


HELP SCREEN:

Cigarette: Respondent defined. Do not include cigars or marijuana.



SMQ.650 During the past 30 days, on the days that {you/SP} smoked, how many cigarettes did {you/s/he} smoke per day?


1 PACK EQUALS 20 CIGARETTES

IF LESS THAN 1 PER DAY, ENTER 1

IF 95 OR MORE PER DAY, ENTER 95


|___|___|___|

ENTER NUMBER OF CIGARETTES (PER DAY)


REFUSED 7777

DON'T KNOW 9999


HELP SCREEN:

Cigarette: Respondent defined. Do not include cigars or marijuana.



SMQ.093 May I please see the pack for the brand of cigarettes {you usually smoke/SP usually smokes}.


TO OBTAIN ACCURATE PRODUCT INFORMATION, IT IS IMPORTANT THAT YOU SEE THE CIGARETTE PACK.


PACK SEEN 1

PACK NOT SEEN 2 (SMQ.100k)

REFUSED 7 (SMQ.100k)



SMQ.310 ENTER THE UNIVERSAL PRODUCT CODE FROM THE CIGARETTE PACK. UPC MUST CONTAIN 8 OR 12 DIGITS.


SELECT ONE OPTION.


ENTERING 8 DIGIT UPC 1

ENTERING 12 DIGIT UPC 2 (SMQ.330)

UNABLE TO READ CODE-PACK DAMAGED 3 (SMQ.100k)



SMQ.320 ENTER THE 8 DIGIT UPC CODE.


|___|___|___|___|___|___|___|___|


CAPI INSTRUCTION:


DOUBLE ENTRY IS REQUIRED. IF ENTRIES DO NOT MATCH, DISPLAY THE FOLLOWING MESSAGE: ENTRIES DO NOT MATCH. HIGHLIGHT THE ENTRY THAT SHOULD BE CORRECTED AND PRESS ‘ENTER’ TO CHANGE.



BOX 2B


CHECK ITEM SMQ.329:

GO TO END.




SMQ.330 ENTER THE 12 DIGIT UPC CODE.


|___|___|___|___|___|___|___|___|___|___|___|___|


CAPI INSTRUCTION:


DOUBLE ENTRY IS REQUIRED. IF ENTRIES DO NOT MATCH, DISPLAY THE FOLLOWING MESSAGE: ENTRIES DO NOT MATCH. HIGHLIGHT THE ENTRY THAT SHOULD BE CORRECTED AND PRESS ‘ENTER’ TO CHANGE.



BOX 3


CHECK ITEM SMQ.096A:

IF INVALID CODE OR CODE NOT ON FILE, GO TO SMQ.099.

OTHERWISE, CONTINUE.




SMQ.098 YOU HAVE SELECTED


{DISPLAY BRAND ASSOCIATED WITH CODE}


CORRECT 1 (END OF SECTION)

NOT CORRECT 2 (SMQ.100k)


CAPI INSTRUCTION:

DISPLAY BRAND NAME WITH ALL QUALIFIERS – NAME, SIZE (REGULAR, KING, 100, 120), FILTERED/NONFILTERED, MENTHOLATED/NONMENTHOLATED, OTHER QUALIFIERS (DELUXE, HARD PACK, LIGHTS, ETC.)



SMQ.099 CODE NOT ON FILE – PRESS ‘ENTER’ TO CONTINUE



SMQ.100k What brand of cigarettes {do you/does SP} usually smoke?


CAPI INSTRUCTION:

FOLLOW THE BASIC FORMAT FOR DIETARY SUPPLEMENT LOOKUP. ONLY ALLOW INTERVIEWER TO ENTER 1 BRAND OF CIGARETTES OR 'NO USUAL BRAND'. ALLOW ENTRY OF DON'T KNOW AND REFUSED.


REFER TO PRODUCT LABEL IF AVAILABLE.


ENTER BRAND NAME OF CIGARETTE.


IF NO USUAL BRAND, TYPE ‘NO USUAL BRAND’.


HELP SCREEN:

Cigarette: Respondent defined. Do not include cigars or marijuana.



SMQ.111 PRESS BS TO START THE LOOKUP.


SELECT PRODUCT FROM

LIST OR TYPE

'NO USUAL BRAND.'


IF PRODUCT NOT ON LIST.

PRESS BS TO

DELETE ENTRY.


TYPE '**'.


PRESS ENTER TO SELECT.


CAPI INSTRUCTION:

Display CAPI cigarette product list. Interviewer should be able to select one product name from list OR 'NO USUAL BRAND'. In addition, interviewer should be able TO ACCEPT THE PRODUCT NAME AS IT WAS KEYED IN SMQ.100k BY TYPING IN '**'.


HELP SCREEN:

Cigarette: Respondent defined. Do not include cigars or marijuana.



BOX 4A


CHECK ITEM SMQ.112:

IF '** PRODUCT NOT ON LIST' SELECTED AT SMQ.111, CONTINUE.

OTHERWISE, GO TO END OF SECTION.




SMQ.110a ASK IF NECESSARY:


IS THE CIGARETTE PRODUCT FILTERED OR NON-FILTERED?


ENTER '1' FOR FILTERED

ENTER '0' FOR NON-FILTERED


CAPI INSTRUCTION:

'1' AND '0' SHOULD BE THE ONLY CODES ACCEPTED BY CAPI.


FILTERED 1

NON-FILTERED 0



SMQ.110b ASK IF NECESSARY:


IS THE CIGARETTE PRODUCT MENTHOLATED OR NON-MENTHOLATED?


ENTER '1' FOR MENTHOLATED

ENTER '0' FOR NON-MENTHOLATED


CAPI INSTRUCTION:

'1' AND '0' SHOULD BE THE ONLY CODES ACCEPTED BY CAPI.


MENTHOLATED 1

NON-MENTHOLATED 0

REFUSED 7

DON'T KNOW 9



SMQ.110h ASK IF NECESSARY:


WHAT IS THE CIGARETTE PRODUCT SIZE?


CAPI INSTRUCTION:

THIS ITEM IS STORED IN SMQ.110f IN THE DATA BASE.


REGULARS 1

KINGS 2

100S 3

120S 4

REFUSED 77

DON'T KNOW 99



SMQ.110g REFER TO PRODUCT LABEL, IF AVAILABLE – ASK IF NECESSARY.


WHAT ARE THE OTHER NAME BRAND QUALIFIERS FOR THE CIGARETTE PRODUCT?


CAPI INSTRUCTION:

SHOULD BE A 'CODE ALL THAT APPLY' EXCEPT IF "REF", "DK" OR "NONE" SELECTED. NO OTHER RESPONSE OPTION SHOULD BE ALLOWED. THE "OTHER SPECIFY" RESPONSE SHOULD REQUIRE A TEXT ENTRY.

SMOOTH……………………………………………9

DELUXE 10

HARD PACK 11

LIGHTS 12

MILDS 13

SLIMS 14

SPECIALS 15

SUPER 16

ULTRA LIGHTS 17

OTHER (SPECIFY) 18


NONE 19

REF 77

DK 99



OCCUPATION



OCQ.152 In this part of the survey I will ask you questions about {your/SP's} work experience.


Which of the following {were you/was SP} doing last week . . .


working at a job or business, 1 (OCQ.180)

with a job or business but not at work, 2 (OCQ.210)

looking for work, or 3 (OCQ.385G/Q)

not working at a job or business? 4 (OCQ.380)

REFUSED 7 (OCQ.385G/Q)

DON'T KNOW 9 (OCQ.385G/Q)



OCQ.180 How many hours did {you/SP} work last week at all jobs or businesses?


|___|___|___|

ENTER NUMBER OF HOURS


CAPI INSTRUCTION:

HARD EDIT 1-168.


REFUSED 77777

DON'T KNOW 99999



BOX 1


CHECK ITEM OCQ.200:

IF HOURS IN OCQ.180 <= 34, OR REFUSED (CODE 777), OR DON'T KNOW (CODE 999), CONTINUE.

OTHERWISE, GO TO OCQ.220.




OCQ.210 {Do you/Does SP} usually work 35 hours or more per week in total at all jobs or businesses?


YES 1

NO 2

REFUSED 7

DON'T KNOW 9



OCQ.220 For whom did {you/SP} work at {your/his/her} main job or business? (What is the name of the company, business, organization or employer?)


IF MORE THAN 1 JOB, PROBE FOR MAIN JOB.


ENTER NAME OF EMPLOYER


REFUSED 7---77

DON'T KNOW 9---99



OCQ.230 What kind of business or industry is this? (For example: a TV or radio station, retail shoe store, state labor department, farm.)


ENTER NAME OF BUSINESS OR INDUSTRY


REFUSED 7---77

DON'T KNOW 9---99



OCQ.240 What kind of work {were you/was SP} doing? (For example: farming, mail clerk, computer specialist.)


ENTER NAME OF OCCUPATION


REFUSED 7---77

DON'T KNOW 9---99



OCQ.250 What were {your/SP's} most important activities on this job? (For example: sells cars, keeps account books, operates printing press.)


ENTER NAME OF DUTIES


REFUSED 7---77

DON'T KNOW 9---99



OCQ.260 Looking at the card, which of these best describes this job or work situation?


ASK IF NOT CLEAR.

HAND CARD OCQ1


AN EMPLOYEE OF A PRIVATE COMPANY,

BUSINESS, OR INDIVIDUAL FOR WAGES,

SALARY, OR COMMISSION 1

A FEDERAL GOVERNMENT EMPLOYEE 2

A STATE GOVERNMENT EMPLOYEE 3

A LOCAL GOVERNMENT EMPLOYEE 4

SELF-EMPLOYED IN OWN BUSINESS,

PROFESSIONAL PRACTICE OR FARM 5

WORKING WITHOUT PAY IN FAMILY

BUSINESS OR FARM 6

REFUSED 77

DON'T KNOW 99




OCQ.270 About how long {have you/has SP} worked for {EMPLOYER} as a(n) {OCCUPATION}?

Q/U

CAPI INSTRUCTIONS:

DISPLAY AS LEFT HEADER "EMPLOYER:" AND EMPLOYER FROM OCQ.220.

DISPLAY AS LEFT HEADER "OCCUPATION:" AND OCCUPATION FROM OCQ.240.

IF OCQ.220 AND/OR OCQ.240 ARE DK/RF, DISPLAY “AT YOUR MAIN JOB.” IF PROXY, DISPLAY {HIS/HER MAIN JOB}.

DO NOT ALLOW MORE THAN THE SP’S AGE, OR >90 DAYS OR >104 WEEKS OR GREATER THAN 48 MONTHS OR GREATER THAN 60 YEARS.


|___|___|___|

ENTER NUMBER (OF DAYS, WEEKS, MONTHS OR YEARS)


REFUSED 777777

DON'T KNOW 999999


ENTER UNIT


DAYS 1

WEEKS 2

MONTHS 3

YEARS 4

REFUSED 7

DON'T KNOW 9



OCQ.new1 During the PAST TWO WEEKS, has anyone smoked cigarettes, cigars or piped in the area in which you work at {EMPLOYER}?



YES 1

NO 2

REFUSED 7

DON'T KNOW 9




BOX 3


CHECK ITEM OCQ.370:

GO TO OCQ.392G/Q.




OCQ.380 What is the main reason {you/SP} did not work last week?


TAKING CARE OF HOUSE OR FAMILY 1

GOING TO SCHOOL 2

RETIRED 3

UNABLE TO WORK FOR HEALTH

REASONS 4

ON LAYOFF 5

DISABLED 6

OTHER 7

REFUSED 77

DON'T KNOW 99



OCQ.385
G/Q

Thinking of all the paid jobs {you/SP} ever had, what kind of work {were you/was s/he} doing the longest? (For example, electrical engineer, stock clerk, typist, farmer.)


CAPI INSTRUCTION:

IF CURRENT OCCUPATION HAS BEEN ENTERED IN OCQ.240, DISPLAY AS LEFT HEADER "CURRENT OCCUPATION: {OCQ.240}".


ENTER OCCUPATION

or

ARMED FORCES 3 (OCQ.393)

NEVER WORKED 4 (END OF SECTION)

REFUSED 7 (OCQ.393)

DON'T KNOW 9 (OCQ.393)



OCQ.389 What kind of business or industry {did you/did SP} work in for the longest period of time as a (DISPLAY LONGEST OCCUPATION AS “LONGEST OCCUPATION” {OCQ385Q})? (For example, a TV or radio station, retail shoe store, state labor department, farm.)


(OCQ.393)

ENTER DESCRIPTION FOR KIND OF BUSINESS/INDUSTRY


REFUSED 7---77 (OCQ.393)

DON'T KNOW 9---99 (OCQ.393)



OCQ.392
G/Q

Thinking of all the paid jobs {you/SP} ever had, what kind of work {were you/was s/he} doing the longest? (For example, electrical engineer, stock clerk, typist, farmer.)


CAPI INSTRUCTION:

IF CURRENT OCCUPATION HAS BEEN ENTERED IN OCQ.240, DISPLAY AS LEFT HEADER "CURRENT OCCUPATION: {OCQ.240}".


ENTER OCCUPATION

or

SAME AS CURRENT OCCUPATION 2 (BOX 6)

ARMED FORCES 3 (OCQ.393)

REFUSED 7 (OCQ.393)

DON'T KNOW 9 (OCQ.393)



OCQ.394 What kind of business or industry {did you/did SP} work in for the longest period of time as a (DISPLAY LONGEST OCCUPATION AS “LONGEST OCCUPATION” {OCQ392Q})? (For example, a TV or radio station, retail shoe store, state labor department, farm.)


ENTER DESCRIPTION FOR KIND OF BUSINESS/INDUSTRY


REFUSED 7---77

DON'T KNOW 9---99



OCQ.393 What were {your/SP's} most important activities on this job or business? (For example: sells cars, keeps account books, operates printing press.)


ENTER NAME OF DUTIES


REFUSED 7---77

DON'T KNOW 9---99



OCQ.395 About how long did {you/SP} work at that job or business?

Q/U

CAPI INSTRUCTION:

DISPLAY "LONGEST OCCUPATION: {OCQ.385G/Q or OCQ.392G/Q}" AS LEFT HEADER.

DO NOT ALLOW LESS THAN SP’S AGE OR <90 DAYS OR <104 WEEKS OR <48 MONTHS OR <60 YEARS.


|___|___|___|

ENTER NUMBER (OF DAYS, WEEKS, MONTHS OR YEARS)


REFUSED 77777

DON'T KNOW 99999


ENTER UNIT


DAYS 1

WEEKS 2

MONTHS 3

YEARS 4

REFUSED 7

DON'T KNOW 9



BOX 4


OMITTED




BOX 4A


OMITTED




BOX 5A


OMITTED




BOX 5B


OMITTED




BOX 6


CHECK ITEM OCQ.500:

IF SP AGE >= 16 AND < 80, CONTINUE.

OTHERWISE, GO TO END OF SECTION.




OCQ.510 The next questions ask about being exposed to dust in {your/SPs} work.

Being exposed to dust means that {you/SP} breathed in the dust or had dust on {your/his/her} clothes, skin or hair.


INTERVIEWER INSTRUCTION: DO NOT COUNT TEMPORARY ONE-TIME EXPOSURES THAT MIGHT HAVE HAPPENED.


In any job, {have you/has SP} ever been exposed to dust from rock, sand, concrete, coal, asbestos, silica or soil?


YES 1

NO 2 (OCQ.530)

REFUSED 7 (OCQ.530)

DON'T KNOW 9 (OCQ.530)



OCQ.520 Please give me the total number of years for all jobs where this has happened.


INTERVIEWER INSTRUCTION: IF RESPONDENT SAYS MORE THAN ONE JOB, THEY SHOULD ADD ALL YEARS TOGETHER.


IF LESS THAN 1 YEAR, ENTER 0


|___|___|___|

ENTER NUMBER OF YEARS


REFUSED 777

DON'T KNOW 999


CAPI INSTRUCTION:

HARD EDIT – NUMBER ENTERED CANNOT EQUAL OR BE MORE THAN SP AGE.



OCQ.530 In any job, {have you/has SP} ever been exposed to dust from baking flours, grains, wood, cotton, plants or animals?


YES 1

NO 2 (OCQ.550)

REFUSED 7 (OCQ.550)

DON'T KNOW 9 (OCQ.550)



OCQ.540 Please give me the total number of years for all jobs where this has happened.


INTERVIEWER INSTRUCTION: IF RESPONDENT SAYS MORE THAN ONE JOB, THEY SHOULD ADD ALL YEARS TOGETHER.


IF LESS THAN 1 YEAR, ENTER 0


|___|___|___|

ENTER NUMBER OF YEARS


REFUSED 777

DON'T KNOW 999


CAPI INSTRUCTION:

HARD EDIT – NUMBER ENTERED CANNOT EQUAL OR BE MORE THAN SP AGE.



OCQ.550 The next questions ask about being exposed to fumes in {your/SPs} work.

Being exposed to fumes means that {you/SP} breathed in fumes or had a lasting smell on {your/his/her} clothes, skin or hair.


INTERVIEWER INSTRUCTION: DO NOT COUNT TEMPORARY ONE-TIME EXPOSURES THAT MIGHT HAVE HAPPENED.


In any job, {have you/has SP} ever been exposed to exhaust fumes from trucks, buses, heavy machinery, or diesel engines?


YES 1

NO 2 (OCQ.570)

REFUSED 7 (OCQ.570)

DON'T KNOW 9 (OCQ.570)



OCQ.560 Please give me the total number of years for all jobs where this has happened.


INTERVIEWER INSTRUCTION: IF RESPONDENT SAYS MORE THAN ONE JOB, THEY SHOULD ADD ALL YEARS TOGETHER.


IF LESS THAN 1 YEAR, ENTER 0


|___|___|___|

ENTER NUMBER OF YEARS


REFUSED 777

DON'T KNOW 999


CAPI INSTRUCTION:

HARD EDIT – NUMBER ENTERED CANNOT EQUAL OR BE MORE THAN SP AGE.



OCQ.570 In any job, {have you/has SP} ever been exposed to any other gases, vapors or fumes?

Examples are vapors from paints, cleaning products, glues, solvents, and acids; or welding/soldering fumes.


YES 1

NO 2 (END OF SECTION)

REFUSED 7 (END OF SECTION)

DON'T KNOW 9 (END OF SECTION)



OCQ.580 Please give me the total number of years for all jobs where this has happened.


INTERVIEWER INSTRUCTION: IF RESPONDENT SAYS MORE THAN ONE JOB, THEY SHOULD ADD ALL YEARS TOGETHER.


IF LESS THAN 1 YEAR, ENTER 0


|___|___|___|

ENTER NUMBER OF YEARS


REFUSED 777

DON'T KNOW 999


CAPI INSTRUCTION:

HARD EDIT – NUMBER ENTERED CANNOT EQUAL OR BE MORE THAN SP AGE.

HELP SCREEN FOR OCQ.152:


Work (Working): Paid work for wages, salary, commission, tips, or pay "in kind." Examples of pay in kind include meals, living quarters, or supplies provided in place of wages. This definition of employment includes work in the person's own business, professional practice, or farm, paid leaves of absence (including vacations and illnesses), work without pay in a family business or farm run by a relative, exchange work or share work on a farm, and work as a civilian employee of the Department of Defense or the National Guard. This definition excludes unpaid volunteer work (such as for a church or charity), unpaid leaves of absences, temporary layoffs (such as a strike), and work around the house.


Job: A job exists when there is:

1. A definite arrangement for regular work;

2. The arrangement is on a continuing basis (like every week or month); and

3. A person receives pay or other compensation for his/her work.


The schedule of hours or days can be irregular as long as there is a definite arrangement to work on a continuing basis.


Include:

Persons who worked for wages, salary, commission, tips, piece-rates or pay-in-kind.

Unpaid workers in a family business or farm and persons who worked without pay on a farm or unincorporated business operated by a related member of the household.


Business: A business exists when one or more of the following conditions are met:

1. Machinery or equipment of substantial value is used in conducting the business;

2. An office, store, or other place of business is maintained; or

3. The business is advertised to the public. (Some examples of advertising are: listing in the classified section of the telephone book, displaying a sign, distributing cards or leaflets, or any type of promotion which publicizes the type of work or services offered.)


Examples of what to include as a business:

Sewing performed in the sewer's house using his/her own equipment.

Operation of a farm by a person who has his/her own farm machinery, other farm equipment, or his/her own farm.


Do not count the following as a business:

Yard sales; the sale of personal property is not a business or work.

Seasonal activity during the off season; a seasonal business outside of the normal season is not a business. For example, a family that chops and sells Christmas trees from October through December does not have a business in July.

Distributing products such as Tupperware or newspapers. Distributing products is not a business unless the person buys the goods directly from a wholesale distributor or producer, sells them to the consumer, and bears any losses resulting from failure to collect from the consumer.


Looking for Work: To be looking for work, a person has to have conducted an active job search. An active job search means that the person took steps necessary to put him/herself in a position to be hired for a job. Active job search methods include:

1. Filled out applications or sent out resumes;

2. Placed or answered classified ads;

3. Checked union/professional registers;

4. Bid on a contract or auditioned for a part in a play;

5. Contacted friends or relatives about possible jobs;

6. Contacted school/college university employment office;

7. Contacted employment directly.


Job search methods that are not active include the following:

1. Looked at ads without responding to them;

2. Picked up a job application without filling it out.


HELP SCREEN FOR OCQ.180:


Work (Working): Paid work for wages, salary, commission, tips, or pay "in kind." Examples of pay in kind include meals, living quarters, or supplies provided in place of wages. This definition of employment includes work in the person's own business, professional practice, or farm, paid leaves of absence (including vacations and illnesses), work without pay in a family business or farm run by a relative, exchange work or share work on a farm, and work as a civilian employee of the Department of Defense or the National Guard. This definition excludes unpaid volunteer work (such as for a church or charity), unpaid leaves of absences, temporary layoffs (such as a strike), and work around the house.


Job: A job exists when there is:

1. A definite arrangement for regular work;

2. The arrangement is on a continuing basis (like every week or month); and

3. A person receives pay or other compensation for his/her work.


The schedule of hours or days can be irregular as long as there is a definite arrangement to work on a continuing basis.


Include:

Persons who worked for wages, salary, commission, tips, piece-rates or pay-in-kind.

Unpaid workers in a family business or farm and persons who worked without pay on a farm or unincorporated business operated by a related member of the household.


Business: A business exists when one or more of the following conditions are met:

1. Machinery or equipment of substantial value is used in conducting the business;

2. An office, store, or other place of business is maintained; or

3. The business is advertised to the public. (Some examples of advertising are: listing in the classified section of the telephone book, displaying a sign, distributing cards or leaflets, or any type of promotion which publicizes the type of work or services offered.)


Examples of what to include as a business:

Sewing performed in the sewer's house using his/her own equipment.

Operation of a farm by a person who has his/her own farm machinery, other farm equipment, or his/her own farm.


Do not count the following as a business:

Yard sales; the sale of personal property is not a business or work.

Seasonal activity during the off season; a seasonal business outside of the normal season is not a business. For example, a family that chops and sells Christmas trees from October through December does not have a business in July.

Distributing products such as Tupperware or newspapers. Distributing products is not a business unless the person buys the goods directly from a wholesale distributor or producer, sells them to the consumer, and bears any losses resulting from failure to collect from the consumer.


Hours Worked Last Week: The number of hours actually worked last week. Hours worked will include overtime if the person worked overtime last week. The actual hours worked is often not the same as the hours on which the person's salary is based. We want the actual hours spent working on the job, whether the hours were paid or not. However, unpaid hours spent traveling to and from work are not included in hours worked last week.


HELP SCREEN FOR OCQ.210:


Work (Working): Paid work for wages, salary, commission, tips, or pay "in kind." Examples of pay in kind include meals, living quarters, or supplies provided in place of wages. This definition of employment includes work in the person's own business, professional practice, or farm, paid leaves of absence (including vacations and illnesses), work without pay in a family business or farm run by a relative, exchange work or share work on a farm, and work as a civilian employee of the Department of Defense or the National Guard. This definition excludes unpaid volunteer work (such as for a church or charity), unpaid leaves of absences, temporary layoffs (such as a strike), and work around the house.


Job: A job exists when there is:

1. A definite arrangement for regular work;

2. The arrangement is on a continuing basis (like every week or month); and

3. A person receives pay or other compensation for his/her work.


The schedule of hours or days can be irregular as long as there is a definite arrangement to work on a continuing basis.


Include:

Persons who worked for wages, salary, commission, tips, piece-rates or pay-in-kind.

Unpaid workers in a family business or farm and persons who worked without pay on a farm or unincorporated business operated by a related member of the household.


Business: A business exists when one or more of the following conditions are met:

1. Machinery or equipment of substantial value is used in conducting the business;

2. An office, store, or other place of business is maintained; or

3. The business is advertised to the public. (Some examples of advertising are: listing in the classified section of the telephone book, displaying a sign, distributing cards or leaflets, or any type of promotion which publicizes the type of work or services offered.)


Examples of what to include as a business:

Sewing performed in the sewer's house using his/her own equipment.

Operation of a farm by a person who has his/her own farm machinery, other farm equipment, or his/her own farm.


Do not count the following as a business:

Yard sales; the sale of personal property is not a business or work.

Seasonal activity during the off season; a seasonal business outside of the normal season is not a business. For example, a family that chops and sells Christmas trees from October through December does not have a business in July.

Distributing products such as Tupperware or newspapers. Distributing products is not a business unless the person buys the goods directly from a wholesale distributor or producer, sells them to the consumer, and bears any losses resulting from failure to collect from the consumer.


HELP SCREEN FOR OCQ.220:


Main Job: The job or business where the person worked the most hours.


Work (Working): Paid work for wages, salary, commission, tips, or pay "in kind." Examples of pay in kind include meals, living quarters, or supplies provided in place of wages. This definition of employment includes work in the person's own business, professional practice, or farm, paid leaves of absence (including vacations and illnesses), work without pay in a family business or farm run by a relative, exchange work or share work on a farm, and work as a civilian employee of the Department of Defense or the National Guard. This definition excludes unpaid volunteer work (such as for a church or charity), unpaid leaves of absences, temporary layoffs (such as a strike), and work around the house.


Job: A job exists when there is:

1. A definite arrangement for regular work;

2. The arrangement is on a continuing basis (like every week or month); and

3. A person receives pay or other compensation for his/her work.


The schedule of hours or days can be irregular as long as there is a definite arrangement to work on a continuing basis.


Include:

Persons who worked for wages, salary, commission, tips, piece-rates or pay-in-kind.

Unpaid workers in a family business or farm and persons who worked without pay on a farm or unincorporated business operated by a related member of the household.


Business: A business exists when one or more of the following conditions are met:

1. Machinery or equipment of substantial value is used in conducting the business;

2. An office, store, or other place of business is maintained; or

3. The business is advertised to the public. (Some examples of advertising are: listing in the classified section of the telephone book, displaying a sign, distributing cards or leaflets, or any type of promotion which publicizes the type of work or services offered.)


Examples of what to include as a business:

Sewing performed in the sewer's house using his/her own equipment.

Operation of a farm by a person who has his/her own farm machinery, other farm equipment, or his/her own farm.


Do not count the following as a business:

Yard sales; the sale of personal property is not a business or work.

Seasonal activity during the off season; a seasonal business outside of the normal season is not a business. For example, a family that chops and sells Christmas trees from October through December does not have a business in July.

Distributing products such as Tupperware or newspapers. Distributing products is not a business unless the person buys the goods directly from a wholesale distributor or producer, sells them to the consumer, and bears any losses resulting from failure to collect from the consumer.


HELP SCREEN FOR OCQ.250:


Job: A job exists when there is:

1. A definite arrangement for regular work;

2. The arrangement is on a continuing basis (like every week or month); and

3. A person receives pay or other compensation for his/her work.


The schedule of hours or days can be irregular as long as there is a definite arrangement to work on a continuing basis.


Include:

Persons who worked for wages, salary, commission, tips, piece-rates or pay-in-kind.

Unpaid workers in a family business or farm and persons who worked without pay on a farm or unincorporated business operated by a related member of the household.


Business: A business exists when one or more of the following conditions are met:

1. Machinery or equipment of substantial value is used in conducting the business;

2. An office, store, or other place of business is maintained; or

3. The business is advertised to the public. (Some examples of advertising are: listing in the classified section of the telephone book, displaying a sign, distributing cards or leaflets, or any type of promotion which publicizes the type of work or services offered.)


Examples of what to include as a business:

Sewing performed in the sewer's house using his/her own equipment.

Operation of a farm by a person who has his/her own farm machinery, other farm equipment, or his/her own farm.


Do not count the following as a business:

Yard sales; the sale of personal property is not a business or work.

Seasonal activity during the off season; a seasonal business outside of the normal season is not a business. For example, a family that chops and sells Christmas trees from October through December does not have a business in July.

Distributing products such as Tupperware or newspapers. Distributing products is not a business unless the person buys the goods directly from a wholesale distributor or producer, sells them to the consumer, and bears any losses resulting from failure to collect from the consumer.


HELP SCREEN FOR OCQ.260:


Private Company or Business: Employees of an organization whose operations are owned by private individuals and not a governmental entity. This employer may be a large corporation or a single individual, but must not be part of any government organization. This category also includes private organizations doing contract work for government agencies.


Federal Government: Include individuals working for any branch of the federal government, as well as paid elected officials, civilian employees of the Armed Forces and some members of the National Guard. Include employees of international organizations like the United Nations and employees of foreign governments such as persons employed by the French embassy.


State Government: Include individuals working for agencies of state governments, as well as paid state officials, the state police, employees of state universities and colleges, and statewide JTPP administrators.


Local Government: Include individuals employed by cities, towns, counties, parishes, and other local areas, as well as employees of city-owned businesses, such as electric power companies, water and sewer services, etc. Also included here would be city-owned bus lines and employees of public elementary and secondary schools who worked for the local government.


Self-employed: Persons working for profit or fees in their own business, shop, office, farm, etc. Include persons who have their own tools or equipment and provide services on a contract, subcontract, or job basis such as carpenters, plumbers, independent taxicab operators or independent truckers.


Working Without Pay: Working on a farm or in a business operated by a related member of the household, without receiving wages or salary for work performed.


Business: A business exists when one or more of the following conditions are met:

1. Machinery or equipment of substantial value is used in conducting the business;

2. An office, store, or other place of business is maintained; or

3. The business is advertised to the public. (Some examples of advertising are: listing in the classified section of the telephone book, displaying a sign, distributing cards or leaflets, or any type of promotion which publicizes the type of work or services offered.)


Examples of what to include as a business:

Sewing performed in the sewer's house using his/her own equipment.

Operation of a farm by a person who has his/her own farm machinery, other farm equipment, or his/her own farm.


Do not count the following as a business:

Yard sales; the sale of personal property is not a business or work.

Seasonal activity during the off season; a seasonal business outside of the normal season is not a business. For example, a family that chops and sells Christmas trees from October through December does not have a business in July.

Distributing products such as Tupperware or newspapers. Distributing products is not a business unless the person buys the goods directly from a wholesale distributor or producer, sells them to the consumer, and bears any losses resulting from failure to collect from the consumer.


HELP SCREEN FOR OCQ.290:


Job: A job exists when there is:

1. A definite arrangement for regular work;

2. The arrangement is on a continuing basis (like every week or month); and

3. A person receives pay or other compensation for his/her work.


The schedule of hours or days can be irregular as long as there is a definite arrangement to work on a continuing basis.


Include:

Persons who worked for wages, salary, commission, tips, piece-rates or pay-in-kind.

Unpaid workers in a family business or farm and persons who worked without pay on a farm or unincorporated business operated by a related member of the household.


Business: A business exists when one or more of the following conditions are met:

1. Machinery or equipment of substantial value is used in conducting the business;

2. An office, store, or other place of business is maintained; or

3. The business is advertised to the public. (Some examples of advertising are: listing in the classified section of the telephone book, displaying a sign, distributing cards or leaflets, or any type of promotion which publicizes the type of work or services offered.)


Examples of what to include as a business:

Sewing performed in the sewer's house using his/her own equipment.

Operation of a farm by a person who has his/her own farm machinery, other farm equipment, or his/her own farm.


Do not count the following as a business:

Yard sales; the sale of personal property is not a business or work.

Seasonal activity during the off season; a seasonal business outside of the normal season is not a business. For example, a family that chops and sells Christmas trees from October through December does not have a business in July.

Distributing products such as Tupperware or newspapers. Distributing products is not a business unless the person buys the goods directly from a wholesale distributor or producer, sells them to the consumer, and bears any losses resulting from failure to collect from the consumer.


Cigarette: Respondent defined. Do not include cigars or marijuana.


HELP SCREEN FOR OCQ.380:


Taking Care of House or Family: Doing any type of work around the house, such as cleaning, cooking, maintaining the yard, caring for children or family, etc.



Going to School: Attending any type of public or private educational establishment both in and out of the regular school system.


Retired: Respondent defined.


Unable to Work for Health Reasons: Respondent defined.


On Layoff: Is when a person is waiting to be called back to a job from which they were temporarily laid-off or furloughed. Layoffs can be due to slack work, plant retooling or remodeling, inventory taking, and the like. Do not consider a person who was not working because of a labor dispute at his or her place of employment as being in layoff.


Disabled: Respondent defined.


Work (Working): Paid work for wages, salary, commission, tips, or pay "in kind." Examples of pay in kind include meals, living quarters, or supplies provided in place of wages. This definition of employment includes work in the person's own business, professional practice, or farm, paid leaves of absence (including vacations and illnesses), work without pay in a family business or farm run by a relative, exchange work or share work on a farm, and work as a civilian employee of the Department of Defense or the National Guard. This definition excludes unpaid volunteer work (such as for a church or charity), unpaid leaves of absences, temporary layoffs (such as a strike), and work around the house.


HELP SCREEN FOR OCQ.385:


Job: A job exists when there is:

1. A definite arrangement for regular work;

2. The arrangement is on a continuing basis (like every week or month); and

3. A person receives pay or other compensation for his/her work.


The schedule of hours or days can be irregular as long as there is a definite arrangement to work on a continuing basis.


Include:

Persons who worked for wages, salary, commission, tips, piece-rates or pay-in-kind.

Unpaid workers in a family business or farm and persons who worked without pay on a farm or unincorporated business operated by a related member of the household.


Business: A business exists when one or more of the following conditions are met:

1. Machinery or equipment of substantial value is used in conducting the business;

2. An office, store, or other place of business is maintained; or

3. The business is advertised to the public. (Some examples of advertising are: listing in the classified section of the telephone book, displaying a sign, distributing cards or leaflets, or any type of promotion which publicizes the type of work or services offered.)


Examples of what to include as a business:

Sewing performed in the sewer's house using his/her own equipment.

Operation of a farm by a person who has his/her own farm machinery, other farm equipment, or his/her own farm.


Do not count the following as a business:

Yard sales; the sale of personal property is not a business or work.

Seasonal activity during the off season; a seasonal business outside of the normal season is not a business. For example, a family that chops and sells Christmas trees from October through December does not have a business in July.

Distributing products such as Tupperware or newspapers. Distributing products is not a business unless the person buys the goods directly from a wholesale distributor or producer, sells them to the consumer, and bears any losses resulting from failure to collect from the consumer.


HELP SCREEN FOR OCQ.392:


Job: A job exists when there is:

1. A definite arrangement for regular work;

2. The arrangement is on a continuing basis (like every week or month); and

3. A person receives pay or other compensation for his/her work.


The schedule of hours or days can be irregular as long as there is a definite arrangement to work on a continuing basis.


Include:

Persons who worked for wages, salary, commission, tips, piece-rates or pay-in-kind.

Unpaid workers in a family business or farm and persons who worked without pay on a farm or unincorporated business operated by a related member of the household.


Business: A business exists when one or more of the following conditions are met:

1. Machinery or equipment of substantial value is used in conducting the business;

2. An office, store, or other place of business is maintained; or

3. The business is advertised to the public. (Some examples of advertising are: listing in the classified section of the telephone book, displaying a sign, distributing cards or leaflets, or any type of promotion which publicizes the type of work or services offered.)


Examples of what to include as a business:

Sewing performed in the sewer's house using his/her own equipment.

Operation of a farm by a person who has his/her own farm machinery, other farm equipment, or his/her own farm.


Do not count the following as a business:

Yard sales; the sale of personal property is not a business or work.

Seasonal activity during the off season; a seasonal business outside of the normal season is not a business. For example, a family that chops and sells Christmas trees from October through December does not have a business in July.

Distributing products such as Tupperware or newspapers. Distributing products is not a business unless the person buys the goods directly from a wholesale distributor or producer, sells them to the consumer, and bears any losses resulting from failure to collect from the consumer.


HELP SCREEN FOR OCQ.395:


Work (Working): Paid work for wages, salary, commission, tips, or pay "in kind." Examples of pay in kind include meals, living quarters, or supplies provided in place of wages. This definition of employment includes work in the person's own business, professional practice, or farm, paid leaves of absence (including vacations and illnesses), work without pay in a family business or farm run by a relative, exchange work or share work on a farm, and work as a civilian employee of the Department of Defense or the National Guard. This definition excludes unpaid volunteer work (such as for a church or charity), unpaid leaves of absences, temporary layoffs (such as a strike), and work around the house.


Job: A job exists when there is:

1. A definite arrangement for regular work;

2. The arrangement is on a continuing basis (like every week or month); and

3. A person receives pay or other compensation for his/her work.


The schedule of hours or days can be irregular as long as there is a definite arrangement to work on a continuing basis.


Include:

Persons who worked for wages, salary, commission, tips, piece-rates or pay-in-kind.

Unpaid workers in a family business or farm and persons who worked without pay on a farm or unincorporated business operated by a related member of the household.


Business: A business exists when one or more of the following conditions are met:

1. Machinery or equipment of substantial value is used in conducting the business;

2. An office, store, or other place of business is maintained; or

3. The business is advertised to the public. (Some examples of advertising are: listing in the classified section of the telephone book, displaying a sign, distributing cards or leaflets, or any type of promotion which publicizes the type of work or services offered.)


Examples of what to include as a business:

Sewing performed in the sewer's house using his/her own equipment.

Operation of a farm by a person who has his/her own farm machinery, other farm equipment, or his/her own farm.


Do not count the following as a business:

Yard sales; the sale of personal property is not a business or work.

Seasonal activity during the off season; a seasonal business outside of the normal season is not a business. For example, a family that chops and sells Christmas trees from October through December does not have a business in July.

Distributing products such as Tupperware or newspapers. Distributing products is not a business unless the person buys the goods directly from a wholesale distributor or producer, sells them to the consumer, and bears any losses resulting from failure to collect from the consumer.



ACCULTURATION




BOX 1


CHECK ITEM ACQ.005:

IF SP CODED HISPANIC IN SCREENER, GO TO ACQ.041.

Else if SP coded Asian in screener, go to ACQnew1

OTHERWISE, CONTINUE.




ACQ.011 Now I'm going to ask you about language use.


What language(s) {do you/does SP} usually speak at home?


CODE ALL THAT APPLY


ENGLISH 1

SPANISH 8

OTHER (SPECIFY) 9

REFUSED 77

DON'T KNOW 99



BOX 2


CHECK ITEM ACQ.015:

GO TO END OF SECTION.





ACQ.041 Now I’m going to ask you about language use.


What language(s) {do you/does SP} usually speak at home? Do you speak only SPANISH, more SPANISH than English, both equally, more English than SPANISH, or only English?


HAND CARD ACQ1


ONLY SPANISH, 1

MORE SPANISH THAN ENGLISH, 2

BOTH EQUALLY, 3

MORE ENGLISH THAN SPANISH, OR 4

ONLY ENGLISH 5

REFUSED 7

DON'T KNOW 9


NewBOX 1


CHECK ITEM ACQ.new:

GO TO ACQ.new3.




ACQnew1 Now I’m going to ask you about language use.


What language(s) {do you/does SP} usually speak at home?


CODE ALL THAT APPLY


HAND CARD new1


English 1

Chinese 2

Farsi/Persian 3

Hindi 4

Japanese 5

Khmer/Cambodian 6

Korean 7

Tagalog/Filipino 8

Urdu 9

Vietnamese 10

Other (SPECIFY) 11

REFUSED 77

DON'T KNOW 99



ACQ.new2 Do you speak only (ACQnew1), more (ACQnew1) than English, both equally, more English than (ACQnew1), or only English?



ONLY (ACQnew1), 1

MORE (ACQnew1), THAN ENGLISH, 2

BOTH EQUALLY, 3

MORE ENGLISH THAN (ACQnew1), OR 4

ONLY ENGLISH 5

REFUSED 7

DON'T KNOW 9


ACQnew3 In what country was your father born?

United States, except puerto rico 1

puerto rico 2

Cambodia 3

CHINA 4

cuba 5

dominican republic 6

El salvador 7

india 8

iran 9

Japan 10

korea 11

MEXICO 12

nicaragua 13

Pakistan 14

PHIlippines 15

vietnam 16

Other (Specify) 17

REFUSED 77

DON'T KNOW 99


ACQnew4 In what country was your mother born?

United States, except puerto rico 1

puerto rico 2

Cambodia 3

CHINA 4

cuba 5

dominican republic 6

El salvador 7

india 8

iran 9

Japan 10

korea 11

MEXICO 12

nicaragua 13

Pakistan 14

PHIlippines 15

vietnam 16

Other (Specify) 17

REFUSED 77

DON'T KNOW 99










D


EMOGRAPHICS INFORMATION





BOX 1A


CHECK ITEM DMQ.030:

IF SP AGE >= 6, CONTINUE.

OTHERWISE, GO TO DMQ.061.




DMQ.141 What is the highest grade or level of school {you have/SP has} completed or the highest degree {you have/s/he has} received?


HAND CARD DMQ1

READ HAND CARD CATEGORIES IF NECESSARY.

Enter highest level of school.


NEVER ATTENDED/KINDERGARTEN

ONLY 0 (BOX 1B)

1ST GRADE 1

2ND GRADE 2

3RD GRADE 3

4TH GRADE 4

5TH GRADE 5

6TH GRADE 6

7TH GRADE 7

8TH GRADE 8

9TH GRADE 9

10TH GRADE 10

11TH GRADE 11

12TH GRADE, NO DIPLOMA 12

HIGH SCHOOL GRADUATE 13

GED OR EQUIVALENT 14

SOME COLLEGE, NO DEGREE 15

ASSOCIATE DEGREE: OCCUPATIONAL,

TECHNICAL, OR VOCATIONAL

PROGRAM 16

ASSOCIATE DEGREE: ACADEMIC

PROGRAM 17

BACHELOR’S DEGREE (EXAMPLE: BA,

AB, BS, BBA) 18

MASTER’S DEGREE (EXAMPLE: MA,

MS, MEng, MEd, MBA) 19

PROFESSIONAL SCHOOL DEGREE

(EXAMPLE: MD, DDS, DVM, JD) 20

DOCTORAL DEGREE (EXAMPLE:

PhD, EdD) 21

REFUSED 77

DON’T KNOW 99



BOX 1AA


CHECK ITEM DMQ.035:

IF SP AGE <= 19, CONTINUE

OTHERWISE, GO TO DMQ.new1.




DMQ.037 {Are you/Is SP} now . . .


going to school, 1

on vacation from school (between

grades), or 2

neither? 3

REFUSED 7

DON’T KNOW 9


HELP SCREEN:

Going to School: Attending any type of public or private educational establishment both in and out of the regular school system.



BOX 1B


CHECK ITEM DMQ.040:

IF SP AGE >= 17, CONTINUE.

OTHERWISE, GO TO DMQ.061.




DMQ.new1 Have you ever served on active duty in the U.S. Armed Forces, military Reserves, or National Guard? (Active duty does not include training for the Reserves or National Guard, but DOES include activation for service in the U.S. or in a foreign country, in support of military or humanitarian operations.)


YES 1

NO 2 (DMQ.061)

REFUSED 7 (DMQ.061)

DON'T KNOW 9 (DMQ.061)


HELP SCREEN:

Armed Forces: Non-civilian members of any of the armed services of the federal government (Army, Navy, Air Force, Coast Guard, Marines).



DMQ.new2 Did you ever serve in a foreign country during a time of armed conflict or on a humanitarian or peace-keeping mission? (This would include National Guard or reserve or active duty monitoring or conducting peace keeping operations in Bosnia Kosovo, in the Sinai between Egypt and Israel, or in response to the 2004 tsunami, or Haiti in 2010.)


YES 1

NO 2

REFUSED 7

DON'T KNOW 9



DMQ.new3 When did you serve on active duty in the U.S. Armed Forces?


HAND CARD DMQ.NEW2


CODE ALL THAT APPLY


INTERVIEWER: CHECK ALL PERIODS IN WHICH THIS PERSON SERVED. CHECK THE ITEM EVEN IF THE SP SERVED FOR JUST FOR PART OF THAT PERIOD.


SEPT 2001 OR LATER 1

AUGUST 1990 TO AUGUST 2001 (INCLUDING PERSIAN

GULF WAR) 2

SEPTEMBER 1980 TO JULY 1990 3

MAY 1975 TO AUGUST 1980 4

VIETNAM ERA (AUGUST 1964 TO APRIL 1975) 5

MARCH 1961 TO JULY 1964 6

FEBRUARY 1955 TO FEBRUARY 1961 7

KOREAN WAR (JULY 1950 TO JANUARY 1955) 8

JANUARY 1947 TO JUNE 1950 9

WORLD WAR II (DECEMBER 1941 TO DECEMBER 1946) 10

NOVEMBER 1941 OR EARLIER 11

REFUSED 7

DON'T KNOW 9



NEW BOX 1BB


CHECK ITEM DMQ.???:

IF CODE 2 (AUGUST 1990 TO AUGUST 2001) IN DMQ.new3, CONTINUE

OTHERWISE, SKIP TO DMQ.061.




DMQ.new4 Did you serve in the Persian Gulf during Operation Desert Shield or Operation Desert Storm between August 1990 and April 1991?


YES 1

NO 2

REFUSED 7

DON'T KNOW 9



DMQ.061 Next I have a few questions about your name. {Do you/Does SP} usually go by another first name besides {DISPLAY FIRST NAME FROM DMQ-SPIV.040}?


CAPI INSTRUCTION:

DISPLAY "FIRST NAME:" AND FIRST NAME FROM DMQ-SPIV.040 AS LEFT HEADER.


YES 1

NO 2 (BOX 1BBB)

REFUSED 7 (BOX 1BBB)

DON'T KNOW 9 (BOX 1BBB)



DMQ.071 What is this other first name?


VERIFY SPELLING

____________________________________

ENTER NAME


REFUSED 7

DON'T KNOW 9



BOX 1BBB


CHECK ITEM DMQ.073a:

IF AGE >= 14, CONTINUE.

OTHERWISE, GO TO BOX 1D.




DMQ.380 {Are you/Is SP} now married, widowed, divorced, separated, never married or living with a partner?


MARRIED 1

WIDOWED 2

DIVORCED 3

SEPARATED 4

NEVER MARRIED 5 (BOX 1D)

LIVING WITH PARTNER 6

REFUSED 7

DON'T KNOW 9



BOX 1C


CHECK ITEM DMQ.075A:

IF SP IS MALE, GO TO BOX 1D.

OTHERWISE, CONTINUE.




DMQ.081 {Do you/Does SP} have a maiden name?


ASK IF NOT KNOWN


YES 1

NO 2 (BOX 1D)

REFUSED 7 (BOX 1D)

DON'T KNOW 9 (BOX 1D)



DMQ.090 What is {your/SP's} maiden name?

G/Q

VERIFY SPELLING


CAPI INSTRUCTION:

DISPLAY "LAST NAME:" AND SP'S CURRENT LAST NAME FROM DMQ-SPIV.060 AS LEFT HEADER.


____________________________________

ENTER MAIDEN NAME 1

SAME AS CURRENT LAST NAME 2

REFUSED 7

DON'T KNOW 9



BOX 1D


CHECK ITEM DMQ.094:

IF SP AGE >= 16, CONTINUE.

OTHERWISE, GO TO DMQ.241.




DMQ.101 What is {your/SP's} father's last name?

G/Q

VERIFY SPELLING


CAPI INSTRUCTION:

DISPLAY "LAST NAME:" AND SP'S CURRENT LAST NAME FROM DMQ-SPIV.060 AS LEFT HEADER.

IF MAIDEN NAME ENTERED IN DMQ.090G/Q, AND MAIDEN NAME IS DIFFERENT FROM CURRENT LAST NAME, ALSO DISPLAY "MAIDEN NAME:" AND MAIDEN NAME FROM DMQ.090G/Q AS LEFT HEADER.


CAPI INSTRUCTION:

HARD EDIT: IF SP MALE, DO NOT ALLOW RESPONSE 3.


____________________________________

ENTER NAME 1

SAME AS CURRENT LAST NAME 2

SAME AS MAIDEN NAME 3

REFUSED 7

DON'T KNOW 9



DMQ.241 {Do you/Does SP} consider {yourself/himself/herself} to be Hispanic or Latino?


READ IF NECESSARY: Where {do your/do his/do her} ancestors come from?

Puerto Rican

Cuban/Cuban American

Dominican Republic

Mexican/Mexican American

Central/South American

Other Latin American

Other Hispanic or Latino


YES 1

NO 2

REFUSED 7

DON'T KNOW 9


HELP SCREEN:

SPANISH, HISPANIC OR LATINO PEOPLE MAY BE OF ANY RACE. LISTED BELOW ARE HISPANIC OR LATINO CATEGORIES/COUNTRIES.


MEXICAN

PUERTO RICAN

CUBAN

DOMINICAN REPUBLIC

CENTRAL AMERICAN:

COSTA RICAN

GUATEMALAN

HONDURAN

NICARAGUAN

PANAMANIAN

SALVADORAN

OTHER CENTRAL AMERICAN

SOUTH AMERICAN:

ARGENTINEAN

BOLIVIAN

CHILEAN

COLOMBIAN

ECUADORIAN

PARAGUAYAN

PERUVIAN

URUGUAYAN

VENEZUELAN

OTHER SOUTH AMERICAN

OTHER HISPANIC OR LATINO:

SPANIARD

SPANISH

SPANISH AMERICAN


BOX 3I


CHECK ITEM DMQ.242:

IF YES (CODE 1) IN DMQ.241 AND YES IN SCQ.260 GO TO DMQ.252.

IF NO (CODE 2) IN DMQ.241 AND NO IN SCQ.260

GO TO DMQ.262.

OTHERWISE, GO TO BOX 3J.




BOX 3J


CHECK ITEM DMQ.249:

IF YES (CODE 1) OR DK IN DMQ.241 AND NO (CODE 2) IN SCQ.260, DISPLAY SOFT EDIT MESSAGE “WARNING – SCREENER ETHNICITY IS NOT HISPANIC – SP MAY BE DESAMPLED. HAND CARD DMQ4 TO RESPONDENT AND READ CATEGORIES.

OTHERWISE, GO TO BOX 3K.




BOX 3K


CHECK ITEM DMQ.254:

IF NO (CODE 2) OR DK IN DMQ.241 AND YES (CODE 1) IN SCQ.260, DISPLAY SOFT EDIT MESSAGE “WARNING – SCREENER ETHNICITY IS HISPANIC – SP MAY BE DESAMPLED. HAND CARD DMQ4 TO RESPONDENT AND READ CATEGORIES.

OTHERWISE, CONTINUE WITH BOX 3K-1.




BOX 3K-1


CHECK ITEM DMQ.???:

IF YES IN DMQ.241, CONTINUE.

OTHERWISE, GO TO DMQ.262.




DMQ.252 Please give me the number of the group that represents {your/SP's} Hispanic/Latino origin or ancestry. Please select 1 or more of these categories.


PROBE: Where do you/your ancestors come from?


HAND CARD DMQ3

SELECT 1 OR MORE


MEXICAN 10

PUERTO RICAN 11

CUBAN 12

DOMINICAN REPUBLIC 13

CENTRAL AMERICAN:

COSTA RICAN 14

GUATEMALAN 15

HONDURAN 16

NICARAGUAN 17

PANAMANIAN 18

SALVADORAN 19

OTHER CENTRAL AMERICAN 20

SOUTH AMERICAN:

ARGENTINEAN 21

BOLIVIAN 22

CHILEAN 23

COLOMBIAN 24

ECUADORIAN 25

PARAGUAYAN 26

PERUVIAN 27

URUGUAYAN 28

VENEZUELAN 29

OTHER SOUTH AMERICAN 30

OTHER HISPANIC OR LATINO:

FILIPINO 31

SPANIARD 32

SPANISH 33

SPANISH AMERICAN 34

HISPANO/HISPANA 35

HISPANIC/LATINO 36

OTHER HISPANIC/LATINO (SPECIFY) 40

REFUSED 77

DON'T KNOW 99



BOX 3L


CHECK ITEM DMQ.255:

IF ‘OTHER SPECIFY’ (CODE 40) IN DMQ.252, DISPLAY SOFT ERROR MESSAGE “PLEASE REVIEW THE LIST AND SELECT RESPONSE FROM LIST BEFORE TYPING. THE LIST IS MEANT TO INCLUDE ALL CATEGORIES” AND CAPI SHOULD RETURN TO DMQ.252.




DMQ.262 HAND CARD NEW #1


Please look at the categories on this card. What race or races do you consider {yourself/NAME} to be? Please select one or more.


CHECK ALL THAT APPLY.


AMERICAN INDIAN OR ALASKAN NATIVE 1

ASIAN 2

BLACK OR AFRICAN AMERICAN 3

NATIVE HAWAIIAN OR PACIFIC ISLANDER 4

WHITE 5

OTHER 6

DK 9

RF 7


NEW BOX L-1


CHECK ITEM DMQ.???:

IF CODE 2 (ASIAN) IN DMQ.262 AND CODE 2 (ASIAN) IN SCQ.270, GO TO DMQ.NEW5.

IF NOT CODE 2 (ASIAN) IN DMQ.262 AND NOT CODE 2 (ASIAN) IN SCQ.270, GO TO BOX L-5.



NEW BOX L-2


CHECK ITEM DMQ.???:

IF CODE 2 (ASIAN) OR DK IN DMQ.262 AND NO (CODE 2) IN SCQ.270, DISPLAY SOFT EDIT MESSAGE “WARNING – SCREENER RACE IS NOT ASIAN – SP MAY BE DESAMPLED.




NEW BOX L-3


CHECK ITEM DMQ.???:

IF NOT CODE 2 (NOT ASIAN) OR DK IN DMQ.262 AND CODE 2 (ASIAN) IN SCQ.270, DISPLAY SOFT EDIT MESSAGE “WARNING – SCREENER RACE IS ASIAN – SP MAY BE DESAMPLED.




NEW BOX L-4


CHECK ITEM DMQ.???:

IF CODE 2 (ASIAN) IN DMQ.262, GO TO DMQ.new5.

OTHERWISE, CONTINUE WITH BOX L-5.




NEW BOX L-5


CHECK ITEM DMQ.???:

IF CODE 6 (OTHER) IN DMQ.262 AND CODE 1 (YES-HISPANIC) IN DMQ.241, GO TO DMQ.266.

OTHERWISE, GO TO DMQ.107.




DMQ.new5 Please give me the number of the group that represents {your/SP’s} Asian origin or ancestry. Please select one or more of these categories.


HAND CARD DMQ.new4


PROBE: Where do your ancestors come from?



Asian Indian 1

Bangladeshi 2

Bengalese 3

Bharat 4

Bhutanese 5

Burmese 6

Cambodian 7

Cantonese 8

Chinese 9

Dravidian 10

East Indian 11

Filipino 12

Goanese 13

Hmong 14

Indochinese 15

Indonesian 16

Iwo Jiman 17

Japanese 18

Korean 19

Laohmong 20

Laotian 21

Madagascar/Malagasy 22

Malaysian 23

Maldivian 24

Mong 25

Nepalese 26

Nipponese 27

Okinawan 28

Pakistani 29

Siamese 30

Singaporean 31

Sri Lankan 32

Taiwanese 33

Thai 34

Vietnamese 35



NEW BOX L-6


CHECK ITEM DMQ.???:

SKIP TO DMQ.107.




DMQ.266 CODE SP ANSWER TO ‘OTHER RACE’.


MEXICAN 10

PUERTO RICAN 11

CUBAN 12

DOMINICAN REPUBLIC 13

CENTRAL AMERICAN:

COSTA RICAN 14

GUATEMALAN 15

HONDURAN 16

NICARAGUAN 17

PANAMANIAN 18

SALVADORAN 19

OTHER CENTRAL AMERICAN 20

SOUTH AMERICAN:

ARGENTINEAN 21

BOLIVIAN 22

CHILEAN 23

COLOMBIAN 24

ECUADORIAN 25

PARAGUAYAN 26

PERUVIAN 27

URUGUAYAN 28

VENEZUELAN 29

OTHER SOUTH AMERICAN 30

OTHER HISPANIC OR LATINO:

SPANIARD 32

SPANISH 33

SPANISH AMERICAN 34

HISPANO/HISPANA 35

HISPANIC/LATINO 36

OTHER (SPECIFY) 40

REFUSED 77

DON'T KNOW 99



BOX 3M


CHECK ITEM DMQ.268:

IF ‘OTHER SPECIFY’ (CODE 40) IN DMQ.266, DISPLAY SOFT ERROR MESSAGE – “PLEASE REVIEW THE LIST AND SELECT RESPONSE FROM LIST BEFORE TYPING. THE LIST IS MEANT TO INCLUDE ALL CATEGORIES.” AND CAPI SHOULD RETURN TO QUESTION DMQ.266.




DMQ.107 In what country {were you/was SP} born?


UNITED STATES 1 (DMQ.130)

OTHER COUNTRY 2 (NEW BOX 3N)

REFUSED 7 (BOX 4)

DON'T KNOW 9 (BOX 4)



NEW BOX 3N


CHECK ITEM DMQ.???:

IF CODE 2 (ASIAN) IN DMQ.262, GO TO DMQ.new6.

OTHERWISE, CONTINUE.



DMQ.112 SELECT COUNTRY OF BIRTH


ARGENTINA 1 (DMQ.160 M/Y)

BELIZE 2 (DMQ.160 M/Y)

BOLIVIA 3 (DMQ.160 M/Y)

BRAZIL 4 (DMQ.160 M/Y)

CHILE 5 (DMQ.160 M/Y)

COLOMBIA 6 (DMQ.160 M/Y)

COSTA RICA 7 (DMQ.160 M/Y)

CUBA 8 (DMQ.160 M/Y)

DOMINICAN REPUBLIC 9 (DMQ.160 M/Y)

ECUADOR 10 (DMQ.160 M/Y)

EL SALVADOR 11 (DMQ.160 M/Y)

GUATEMALA 12 (DMQ.160 M/Y)

HONDURAS 13 (DMQ.160 M/Y)

MEXICO 14 (DMQ.160 M/Y)

NICARAGUA 15 (DMQ.160 M/Y)

PANAMA 16 (DMQ.160 M/Y)

PARAGUAY 17 (DMQ.160 M/Y)

PERU 18 (DMQ.160 M/Y)

PHILIPPINES 19 (DMQ.160 M/Y)

PUERTO RICO 20 (DMQ.160 M/Y)

SPAIN 21 (DMQ.160 M/Y)

URUGUAY 22 (DMQ.160 M/Y)

VENEZUELA 23 (DMQ.160 M/Y)

OTHER COUNTRY (CAPI INSTRUCTION:

DO NOT SPECIFY) 40 (DMQ.160 M/Y)



DMQ.new6


Bangladesh

Bhutan

Burma/Myanmar

Cambodia

China

Hong Kong

India

Indonesia

Japan

Korea

Laos

Macau

Madagascar

Malaysia

Maldives

Nepal

Pakistan

Philippine

Singapore

Sri Lanka

Taiwan

Thailand

Tibet

Vietnam

Other



DMQ.160 In what month and year did {you/SP} come to the United States to stay?

M/Y

|___|___|

ENTER MONTH NUMBER


REFUSED 7777

DON'T KNOW 9999


|___|___|___|___|

ENTER 4-DIGIT YEAR


REFUSED 777777

DON'T KNOW 999999



DMQ.170 {Are you/Is SP} a citizen of the United States?


[Information about citizenship is being collected by the Centers for Disease Control and Prevention to perform health related research. Providing this information is voluntary and is collected under the authority of the Public Health Service Act. There will be no effect on pending immigration or citizenship petitions.]


HAND CARD DMQ2


YES, BORN IN UNITED STATES 1

YES, BORN IN PUERTO RICO, GUAM,

AMERICAN VIRGIN ISLANDS, OR

OTHER U.S. TERRITORY 2

YES, BORN ABROAD TO AMERICAN

PARENTS 3

YES, U.S. CITIZEN BY NATURALIZATION 4

NO, NOT A CITIZEN OF THE UNITED

STATES 5

REFUSED 7

DON'T KNOW 9


HELP SCREEN:

Naturalization: The process of granting full citizenship to a person of foreign birth.



BOX 4


CHECK ITEM DMQ.???:

IF CODE 1 (BORN IN U.S.) IN DMQ.170 – DISPLAY SOFT ERROR MESSAGE “SP SAYS NOT BORN IN U.S. IN PREVIOUS QUESTION – PLEASE CORRECT.”




BOX 5


SKIP TO DMQ.281a.




DMQ.130 In what state {were you/was SP} born?


ENTER 2 LETTER STATE ABBREVIATION TO START THE LOOKUP.

SELECT STATE FROM CAPI STATE LIST.

PRESS ENTER TO ACCEPT SELECTION.


CAPI INSTRUCTION:

DISPLAY FIPS STATE LIST. INTERVIEWER ONLY SHOULD BE ABLE TO SELECT 1 STATE FROM LIST. DON'T KNOW AND REFUSED SHOULD BE VALID OPTIONS. THE STATE LOOKUP IN THE SP AND FAMILY QUESTIONNAIRES SHOULD WORK EXACTLY THE SAME.



DMQ.281a

The National Center for Health Statistics will conduct statistical research by combining {your/his/her} survey data with vital, health, nutrition and other related records. {Your/SP’s} social security number is used only for these purposes and the Center will not release it to anyone, including any government agency, for any other reason. Providing this information is voluntary and is collected under the authority of Section 306 of the Public Health Service Act. There will be no effect on {your/his/her} benefits if you do not provide it.


INTERVIEWER INSTRUCTION—ONLY READ IF ASKED. [Public Health Service Act is title 42, United States Code, section 242k.]


What is {your/SP's} Social Security Number?


INTERVIEWER INSTRUCTION:

IF RESPONDENT CANNOT RECALL FROM MEMORY ASK {HIM/HER} TO GET CARD AT THIS TIME.

IF RESPONDENT IS RELUCTANT OR NEEDS MORE INFORMATION, PRESS F1 TO ACCESS THE HELP SCREEN AND FOLLOW THE SCRIPT.


ENTER SOCIAL SECURITY NUMBER 1 (DMQ281b)

DOES NOT HAVE SOCIAL SECURITY NUMBER 2 (END OF SECTION)

REFUSED 7 (END OF SECTION)

DON'T KNOW 9 (END OF SECTION)


CAPI INSTRUCTION:

IF SP REFUSES (CODE 7), DISPLAY THE FOLLOWING SOFT ERROR MESSAGE:


I understand your concern. The National Center for Health Statistics has never had a breach of confidentiality in the 40 years we have been conducting this study. I do not have access to this information after I type it. Once I complete the interview all the information is sent to a secure facility. No one takes it home on a computer, no one works on it at home and only one or two people have access to the file to use it for our health research.


HELP TEXT - IF R IS RELUCTANT TO GIVE NUMBER OR IF R ASKS IF THEY MUST GIVE NUMBER


It is extremely useful to have this information to be able to link to health records such as death certificates and Medicare records in the future. Many years in the future the information you give me can be used to see how health habits and diet at one point in your life influence how healthy you are in the future.



DMQ281b/c


CAPI INSTRUCTION:

REQUIRE DOUBLE ENTRY OF SOCIAL SECURITY NUMBER.


|___|___|___| |___|___| |___|___|___|___|

ENTER SOCIAL SECURITY NUMBER

or

REFUSED 7 (END OF SECTION)

DON'T KNOW 9 (END OF SECTION)



DMQ.300 INTERVIEWER: SELECT CATEGORY FOR REPORTING OF SOCIAL SECURITY NUMBER


SELF REPORTED FROM MEMORY 1

SELF REPORTED FROM RECORDS 2

PROXY REPORTED FROM MEMORY 3

PROXY REPORTED FROM RECORDS 4



HEALTH INSURANCE



HIQ.011 The next questions are about health insurance.


Include health insurance obtained through employment or purchased directly as well as government programs like Medicare and Medicaid that provide medical care or help pay medical bills.


{Are you/Is SP} covered by health insurance or some other kind of health care plan?


YES 1

NO 2 (BOX 12)

REFUSED 7 (BOX 12)

DON'T KNOW 9 (BOX 12)



HIQ.031 What kind of health insurance or health care coverage {do you/does SP} have? Include those that pay for only one type of service (nursing home care, accidents, or dental care). Exclude private plans that only provide extra cash while hospitalized. If {you have/s/he has} more than one kind of health insurance, tell me all plans that {you have/s/he has}.


CODE ALL THAT APPLY


HAND CARD HIQ1


CAPI INSTRUCTION:

DO NOT ALLOW MORE THAN ONE ANSWER WHEN 40 (NO COVERAGE OF ANY TYPE) IS CODED.


PRIVATE HEALTH INSURANCE 14

MEDICARE 15

MEDI-GAP 16

MEDICAID ({DISPLAY STATE PLAN NAME}) 17

SCHIP (CHIP/CHILDREN’S HEALTH INSURANCE PROGRAM) 18

MILITARY HEALTH CARE (TRICARE/VA/CHAMP-VA) 19

INDIAN HEALTH SERVICE 20

STATE-SPONSORED HEALTH PLAN ({DISPLAY STATE

PLAN NAME}) 21

OTHER GOVERNMENT PROGRAM 22

SINGLE SERVICE PLAN (E.G., DENTAL, VISION,

PRESCRIPTIONS) 23

NO COVERAGE OF ANY TYPE 40

REFUSED 77

DON'T KNOW 99



BOX 2


OMITTED



BOX 3


OMITTED



BOX 4


OMITTED



BOX 5


OMITTED



BOX 10


OMITTED



BOX 11


OMITTED




BOX 12


CHECK ITEM HIQ.065:

  • IF AGE => 65 AND HIQ.031 = CODE 14 OR CODE 16-99 OR HIQ.031 IS EMPTY, GO TO HIQ.260.

  • IF AGE = BIRTH+ AND HIQ.031 = CODE 15, GO TO HIQ.500.

  • OTHERWISE, CONTINUE.




BOX 13


CHECK ITEM HIQ.259:

IF AGE < 65 AND (HIQ.011 = 1 (YES) AND HIQ.031 NOT = 40 (NO COVERAGE), GO TO HIQ.270.

IF AGE < 65 AND (HIQ.011 = 2, 7, OR 9 OR HIQ.031 = 40), GO TO END OF SECTION.




HIQ.260 {Do you/Does SP} have Medicare? This is a health insurance program that virtually all persons 65 and older are eligible for. A card is automatically mailed to you shortly before your 65th birthday, it looks like this.


SHOW HAND CARD HIQ2 OF MEDICARE CARD


YES 1

NO 2 (BOX 14)

REFUSED 7 (BOX 14)

DON’T KNOW 9 (BOX 14)



HIQ.500 May I please see {your/SP's} Medicare card to record the Health Insurance Claim Number?

This number is needed to allow Medicare records of the Center for Medicare and Medicaid Services to be easily and accurately located and identified for statistical or research purposes. We may also need to link it with other records in order to re-contact {you/SP}. Except for these purposes, the Department of Health and Human Services will not release {your/his/her} Health Insurance Claim Number to anyone, including any other government agency. Providing the Health Insurance Claim Number is voluntary and collected under the authority of the Public Health Service Act. Whether the number is given or not, there will be no effect on {your/his/her} benefits. This number will be held in strict confidence. [The Public Health Service Act is Title 42, United States Code, Section 242K.]


CAPI INSTRUCTION:

REQUIRE DOUBLE ENTRY OF NUMBER.

ALLOW UP TO 11 CHARACTERS (LETTERS OR NUMBERS)


|___|___|___|___|___|___|___|___|___|___|___|

ENTER CLAIM NUMBER


REFUSED 777777777 (BOX 14)

DON'T KNOW 999999999 (BOX 14)



HIQ.105 INTERVIEWER: ENTER 1 RESPONSE


CARD AVAILABLE 1

CARD NOT AVAILABLE 2 (BOX 14)



BOX 14


CHECK ITEM HIQ.269:

IF (HIQ.011 = 1 AND HIQ.031 NOT = 40) OR HIQ.260 = 1, CONTINUE.

OTHERWISE, GO TO END OF SECTION.




BOX 6


OMITTED



BOX 7


OMITTED



BOX 8


OMITTED



BOX 9


OMITTED




HIQ.270 {Does this plan/Do any of these plans} cover any part of the cost of prescriptions?


CAPI INSTRUCTION:

IF HIQ.031 = 15 or HIQ.260 = 1, DISPLAY: [If you are enrolled in Medicare Part D, also known as the Medicare Prescription Drug Plan, you have some prescription drug coverage.]


Yes 1

No 2

Refused 7

Don't know 9



HIQ.210 In the past 12 months, was there any time when {you/SP} did not have any health insurance coverage?


Yes 1

No 2

Refused 7

Don't know 9

HELP SCREEN FOR HIQ.011:


Health Insurance: Health benefits coverage which provides persons with health-related benefits. Coverage may include the following; hospitalization, major medical, surgical, prescriptions, dental, and vision.


Medicare: A Federal health insurance program for people 65 or older and for certain persons under 65 with long-term disabilities. Almost all Social Security recipients are covered by Medicare. It is run by the Center for Medicare and Medicaid Services of the U.S., Department of Health and Human Services.

Medicare consists of two parts, A and B:

Part A is called the Hospital Insurance Program. It helps pay for inpatient care in a hospital or in a skilled nursing facility, for home health care, and for hospice care. It is available to nearly everyone 65 or older.

Persons who are eligible for either Social Security or Railroad Retirement benefits are not required to pay a monthly premium for Part A of Medicare. However, anyone who is 65 or over and does not qualify for Social Security or Railroad Retirement benefits may pay premiums directly to Social Security to obtain Part A coverage.

Part B is called the Supplementary Medical Insurance Program. It is a voluntary plan that builds upon the hospital insurance protection provided by the basic plan. It helps pay for the doctor and surgeon services, outpatient hospital services, durable medical equipment, and a number of other medical services and supplies that are not already covered under Part A of Medicare.

If a person elects this additional insurance, the monthly premium is deducted from his/her Social Security.


Medicaid: Refers to a medical assistance program that provides health care coverage to low-income and disabled persons. The Medicaid program is a joint federal-state program which is administered by the states.


HELP SCREEN FOR HIQ.031:


Health Insurance: Health benefits coverage which provides persons with health-related benefits. Coverage may include the following; hospitalization, major medical, surgical, prescriptions, dental, and vision.


Private Health Insurance Plan: Any type of health insurance, including HMOs, that is not a public program. Private health insurance plans may be provided in part or full by a person's employer or union, or may be purchased directly by an individual.


Private Health Insurance Plan through a State or Local Government Program or Community Program: A type of health insurance for which state or local government or community effort pays for part or all of the cost of a private insurance plan, such as Blue Cross/Blue Shield. The individual may also contribute to the cost of the health insurance and may receive a card such as a Blue Cross/Blue Shield card. A community program or effort may include a variety of mechanisms to achieve health insurance for persons who would otherwise be uninsured. An example would be a private company giving a grant to an HMO to pay for health insurance coverage.


Medicare: A Federal health insurance program for people 65 or older and for certain persons under 65 with long-term disabilities. Almost all Social Security recipients are covered by Medicare. It is run by the Center for Medicare and Medicaid Services of the U.S., Department of Health and Human Services.

Medicare consists of two parts, A and B:

Part A is called the Hospital Insurance Program. It helps pay for inpatient care in a hospital or in a skilled nursing facility, for home health care, and for hospice care. It is available to nearly everyone 65 or older.

Persons who are eligible for either Social Security or Railroad Retirement benefits are not required to pay a monthly premium for Part A of Medicare. However, anyone who is 65 or over and does not qualify for Social Security or Railroad Retirement benefits may pay premiums directly to Social Security to obtain Part A coverage.

Part B is called the Supplementary Medical Insurance Program. It is a voluntary plan that builds upon the hospital insurance protection provided by the basic plan. It helps pay for the doctor and surgeon services, outpatient hospital services, durable medical equipment, and a number of other medical services and supplies that are not already covered under Part A of Medicare.

If a person elects this additional insurance, the monthly premium is deducted from his/her Social Security.


Medi-Gap: Refers to private health insurance purchased to supplement Medicare. Medi-Gap will be treated as a private health insurance plan in the detailed questions about health insurance.


Medicaid: Refers to a medical assistance program that provides health care coverage to low-income and disabled persons. The Medicaid program is a joint federal-state program which is administered by the states.


CHIP (Children's Health Insurance Program, also called SCHIP): A joint federal and state program, administered by each state, that offers health care coverage to low-income, uninsured children. This law was passed in 1997. In some states, CHIP programs have distinct names.


Military Health Care/VA: Refers to health care available to active duty personnel and their dependents, in addition, the VA provides medical assistance to veterans of the Armed Forces, particularly those with service-connected ailments.


CHAMPUS/TRICARE/CHAMP-VA: CHAMPUS (Comprehensive Health and Medical Plan for the Uniformed Services) provides health care in private facilities for dependents of military personnel on active duty or retired for reasons other than disability. TRICARE is the "managed care" version of CHAMPUS. CHAMP-VA (Comprehensive Health and Medical Plan of the Veterans Administration) provides health care for the spouse, dependents, or survivors of a veteran who has a total, permanent service-connected disability.


Indian Health Service: The federal health care program for Native Americans.


State-Sponsored Health Plan: Any other health care coverage run by a specific state, including public assistance programs other than "Medicaid" that pay for health care.


Other Government Program: A catch-all category for any public program providing health care coverage other than those programs in specific categories.


Single Service Plan (SSP): Health insurance coverage paid for by an individual that provides for only one type of service or treatment for a specific condition. These plans are usually bought to supplement a more comprehensive health insurance plan. Examples of SSPs are dental care, vision care, prescriptions, nursing home care, hospice care, accidents, catastrophic care, cancer treatment, AIDS care, and/or hospitalization.


HELP SCREEN FOR HIQ.500:


Medicare: A Federal health insurance program for people 65 or older and for certain persons under 65 with long-term disabilities. Almost all Social Security recipients are covered by Medicare. It is run by the Center for Medicare and Medicaid Services of the U.S., Department of Health and Human Services.

Medicare consists of two parts, A and B:

Part A is called the Hospital Insurance Program. It helps pay for inpatient care in a hospital or in a skilled nursing facility, for home health care, and for hospice care. It is available to nearly everyone 65 or older.

Persons who are eligible for either Social Security or Railroad Retirement benefits are not required to pay a monthly premium for Part A of Medicare. However, anyone who is 65 or over and does not qualify for Social Security or Railroad Retirement benefits may pay premiums directly to Social Security to obtain Part A coverage.

Part B is called the Supplementary Medical Insurance Program. It is a voluntary plan that builds upon the hospital insurance protection provided by the basic plan. It helps pay for the doctor and surgeon services, outpatient hospital services, durable medical equipment, and a number of other medical services and supplies that are not already covered under Part A of Medicare.

If a person elects this additional insurance, the monthly premium is deducted from his/her Social Security.

DIETARY SUPPLEMENTS AND PRESCRIPTION MEDICATION



DSQ.012 The next questions are about {your/SP's} use of dietary supplements, nonprescription antacids, and prescription medications during the past 30 days.


{Have you/Has SP} used or taken any vitamins, minerals, herbals or other dietary supplements in the past 30 days? Include prescription and non-prescription supplements.


This card lists some examples of different types of dietary supplements.


HAND CARD DSQ1a


YES 1

NO 2

REFUSED 7

DON'T KNOW 9



RXQ.021 {Have you/Has SP} used or taken any nonprescription antacids in the past 30 days?


HAND CARD DSQ1b


YES 1

NO 2

REFUSED 7

DON'T KNOW 9


HELP SCREEN:

Antacids: An agent that neutralizes acidity or reduces acid production, especially in the digestive system.


Past Month: The past 30 days. From yesterday, 30 days back.




RXQ.032 In the past 30 days, {have you/has SP} used or taken medication for which a prescription is needed? Include only those products prescribed by a health professional such as a doctor or dentist. [Do not include prescription vitamins or minerals you may have already told me about.]


YES 1

NO 2

REFUSED 7

DON'T KNOW 9





NEW BOX 1


CHECK ITEM new:

IF SP >= 40 YEARS OLD, CONTINUE WITH NEW1.

OTHERWISE, GO TO BOX1.



NEW1 Doctors and other health care providers sometimes recommend that {you take/SP takes) a low-dose aspirin each day to prevent heart attacks, strokes, or cancer. {Have you/Has SP} ever been told to do this?


YES............................................................... 1

NO................................................................. 2 (NEW3)

REFUSED..................................................... 7 (NEW3)

DON'T KNOW............................................... 9 (NEW3)


INTERVIEWER INSTRUCTION:

If the respondent volunteers they have been told to taking an aspirin every other day or ‘regularly’ for these reasons code “yes”.



NEW2 {Are you/Is SP} now following this advice?


YES………........................................................................... 1 (New4)

NO………............................................................................. 2 (BOX1)

SOMETIMES ...................................................................... 3 (New4)

STOPPED ASPIRIN USE DUE TO SIDE EFFECTS……… 4 (BOX1)

REFUSED............................................................................ 7 (BOX1)

DON'T KNOW...................................................................... 9 (BOX1)

HELP SCREEN:

Side Effect: is an unexpected health problem that is caused by a medicine. Some side effects of aspirin are stomach problems, easy bruising or bleeding, runny nose, wheezing and skin rashes.




NEW3 On {your/SP’s} own, {are you/is SP} now taking a low-dose aspirin each day to prevent heart attacks, strokes, or cancer?


YES............................................................... 1

NO................................................................. 2 (BOX1)

REFUSED..................................................... 7 (BOX1)

DON'T KNOW............................................... 9 (BOX1)


INTERVIEWER INSTRUCTION:

If the respondent volunteers they are taking an aspirin every other day or ‘regularly’ for these reasons code “yes”.



NEW4 How often {do you/does SP} take an aspirin?

G/Q/U

CAPI INSTRUCTION: Soft edit: if GE 2 per day.


ONE EVERY DAY.......................................................................... 1

ONE EVERY OTHER DAY............................................................ 2

OTHER, ENTER NUMBER/UNIT.................................................. 3



|___|

ENTER NUMBER


REFUSED..................................................... 77

DON'T KNOW............................................... 99


ENTER UNIT


DAY............................................................... 1

WEEK............................................................ 2

REFUSED..................................................... 7

DON'T KNOW............................................... 9



NEW5 What is the size or dose that {you take/SP takes}?


81 MG........................................................... 1

325 MG………............................................... 2

500 MG…...................................................... 3

OTHER (SPECIFIY)...................................... 4

REFUSED..................................................... 7

DON'T KNOW............................................... 9




BOX 1


CHECK ITEM DSQ.035A:

IF 'YES' (CODE 1) IN DSQ.012, RXQ.021, OR RXQ.032, CONTINUE.

OTHERWISE, GO TO BOX 18.




DSQ.042 May I please see the containers for all the {vitamins, minerals, herbals, and other dietary supplements}, {and} {nonprescription antacids} {and} {prescription medicines} that {you/SP} used or took in the past 30 days?


PRESS ENTER TO CONTINUE


CAPI INSTRUCTION:

DISPLAY {vitamins, minerals, herbals and other dietary supplements,} only if DSQ.012 = yes (1), {nonprescription antacids.} only if RXQ.021 = yes (1), {prescription medicines,} only if RXQ.032 = yes (1), and the word {“and”} only before the last product type if there is more than one product type.



BOX 1A


CHECK ITEM DSQ.045:

IF 'YES' (CODE 1) IN DSQ.012, CONTINUE WITH DSQ.047.

OTHERWISE, GO TO BOX 6.




DSQ.047 I will start with the vitamins, minerals, herbals and other dietary supplements. Please show me any {you have/SP has} taken in the past 30 days.


CHECK PRODUCT LABEL OR ASK PRODUCT NAME.

IS THIS PRODUCT ON THE LIST BELOW?


YES 1

NO 2 (DSQ.052)

DON’T KNOW 9 (DSQ.052)


SINGLE ELEMENTS

VITAMIN A 10

VITAMIN B6 12

VITAMIN B12 13

VITAMIN C (WITH OR WITHOUT ROSE HIPS) 14

VITAMIN D 15

VITAMIN E 16

CALCIUM 18

CHROMIUM (CHROMIUM PICOLINATE) 19

FOLATE (FOLIC ACID) 20

IRON (FERROUS XXXATE) 21

MAGNESIUM 27

POTASSIUM 28

SELENIUM 29

ZINC (ZINC GLUCONATE) 40


MULTI ELEMENTS

VITAMINS A & D 50

CALCIUM & VITAMIN D 51

CALCIUM & MAGNESIUM 52



DSQ.049 WHICH PRODUCT IS IT?

ENTER 1 PRODUCT CODE


VITAMIN A 10

VITAMIN B6 12

VITAMIN B12 13

VITAMIN C (WITH OR WITHOUT ROSE HIPS) 14

VITAMIN D 15

VITAMIN E 16

CALCIUM 18

CHROMIUM (CHROMIUM PICOLINATE) 19

FOLATE (FOLIC ACID) 20

IRON (FERROUS XXXATE) 21

MAGNESIUM 27

POTASSIUM 28

SELENIUM 29

ZINC (ZINC GLUCONATE) 40

VITAMINS A & D 50

CALCIUM & VITAMIN D 51

CALCIUM & MAGNESIUM 52

REFUSED 77 (DSQ.052)

DON’T KNOW 99 (DSQ.052)



BOX 1B


CHECK ITEM DSQ.059:

GO TO DSQ.071.




DSQ.052 REFER TO PRODUCT LABEL(S) OR ASK RESPONDENT FOR NAME(S) OF DIETARY SUPPLEMENTS USED. ENTER FULL NAME OF SUPPLEMENT, INCLUDING BRAND.


ENTER SUPPLEMENT NAME


REFUSED 7

DON'T KNOW 9


CAPI INSTRUCTION:

IF DON'T KNOW OR REFUSAL, THEN GO TO BOX 6.

SHOULD ALLOW ENTRY OF PRODUCT NAME TO SAVE THE PRODUCT NAME AS KEYED.

TEXT SHOULD BE OPTIONAL, "[ ]"S, AFTER THE FIRST TIME.



DSQ.060s OMITTED



BOX 2


OMITTED




DSQ.057 OMITTED



DSQ.071 INTERVIEWER: ENTER 1 RESPONSE


CAPI INSTRUCTION:

DISPLAY PRODUCT NAME AS LEFT HEADER.


CONTAINER SEEN 1

CONTAINER NOT SEEN 2



BOX 2A


CHECK ITEM DSQ.074:

  • IF PRODUCT WAS SELECTED FROM SPECIAL PRODUCT LIST (YES, CODE 1 IN DSQ.047) AND CONTAINER SEEN, CONTINUE.

  • IF PRODUCT WAS NOT SELECTED FROM SPECIAL PRODUCT LIST (NO, CODE 2 IN DSQ.047) AND CONTAINER SEEN, GO TO DSQ.077.

  • OTHERWISE (IF CONTAINER NOT SEEN), GO TO DSQ.096.




DSQ.066 SELECT STRENGTH FOR {ELEMENT}

a/b/aO/bO

IF STRENGTH NOT ON FRONT OR UNCLEAR, TURN CONTAINER AROUND AND GET STRENGTH FROM FACTS BOX.


PRESS BS TO START LOOKUP.


PRESS ENTER TO SELECT.


CAPI INSTRUCTION:

  • {ELEMENT} = DISPLAY PRODUCT ELEMENT SELECTED IN DSQ.049. IF PRODUCT SELECTED HAS MORE THAN 1 ELEMENT (EXAMPLE = ), STRENGTH QUESTION SHOULD APPEAR FOR EACH ELEMENT.

  • IF “OTHER” STRENGTH IS SELECTED, GET OTHER SPECIFY AND INTERVIEWER INSTRUCTION SHOULD READ “ENTER SUPPLEMENT STRENGTH”.

  • ALL OF THE STRENGTH QUESTION AND INSTRUCTION SHOULD APPEAR WHEN STRENGTH LOOKUP LIST IS DISPLAYED (NO SCROLLING). THIS MAY MEAN PRINTING ALL WORDS ON THE SCREEN FLUSH LEFT IN MULTIPLE LINES.



BOX 3


OMITTED




DSQ.077 WHAT IS THE FORM OF THIS PRODUCT?

OS

CAPSULES 1

TABLETS 2

CHEWABLE TABLETS 3

PILLS 4

CAPLETS 5

SOFT GELS 6

GEL CAPS 7

VEGICAPS 8

PACKAGE/PACKETS 9

LIQUID 10

POWDER 11

WAFERS 12

CHEWS/GUMMIES 13

DOTS 14

GRANULES 15

LOZENGES/COUGH DROPS 16

GEL 17

OTHER FORM (SPECIFY) 91

REFUSED 77

DON’T KNOW 99


CAPI INSTRUCTION:

DISPLAY PRODUCT NAME AS LEFT HEADER.



BOX 3A


CHECK ITEM DSQ.079:

IF PRODUCT NOT SELECTED FROM SPECIAL PRODUCT LIST (NO, CODE 2 IN DSQ.047), CONTINUE.

OTHERWISE, GO TO DSQ.096.




DSQ.081 ENTER MANUFACTURER/DISTRIBUTOR/STORE BRAND NAME.


ENTER AS MUCH INFORMATION AS POSSIBLE.


ENTER MANUFACTURER/DISTRIBUTOR/STORE BRAND NAME


REFUSED 7 (DSQ.088)

DON'T KNOW 9 (DSQ.088)


CAPI INSTRUCTION:

FOLLOW THE BASIC FORMAT FOR THE DIETARY SUPPLEMENT LOOKUP. ONLY ALLOW ENTRY OF 1 MANUFACTURER. DISPLAY PRODUCT NAME AS A LEFT HEADER.



DSQ.084 PRESS BS TO START THE LOOKUP.


SELECT MANUFACTURER

FROM LIST.


IF MANUFACTURER NOT

ON LIST – PRESS BS

TO DELETE ENTRY


TYPE '**'.


PRESS ENTER TO SELECT.


CAPI INSTRUCTION:

DISPLAY MANUFACTURER LIST. INTERVIEWER SHOULD BE ABLE TO SELECT ONLY 1 MANUFACTURER OR THE '**' OPTION. DON'T KNOW AND REFUSED SHOULD BE VALID OPTIONS. IF MANUFACTURER IS SELECTED FROM THE LOOKUP LIST, AUTOMATICALLY FILL IN THE CITY AND STATE INFORMATION (DSQ.088).

DISPLAY PRODUCT NAME AS LEFT HEADER.



BOX 4


CHECK ITEM DSQ.085:

IF MANUFACTURER SELECTED FROM LOOKUP, GO TO DSQ.096.

OTHERWISE, CONTINUE.




DSQ.088b ENTER CITY NAME.


ENTER AS MUCH INFORMATION AS POSSIBLE.


ENTER CITY


REFUSED 7

DON’T KNOW 9



DSQ.088c ENTER STATE NAME.


ENTER 2-LETTER

STATE ABBREVIATION.


PRESS ENTER TO

SELECT STATE FROM LIST.


ENTER STATE


REFUSED 7

DON'T KNOW 9


CAPI INSTRUCTION:

DISPLAY PRODUCT NAME AS A LEFT HEADER.

AN ENTRY MUST BE MADE IN ALL DSQ.081 AND DSQ.087 FIELDS (MANUFACTURER INFO). IF THE MANUFACTURER INFO IS DON'T KNOW OR REFUSED, THEN SET THE NO MANUFACTURER INFORMATION VARIABLE.



DSQ.096 For how long {have/has} {you/SP} been taking {PRODUCT NAME} or a similar type of product?

Q/U

CAPI INSTRUCTION:

RESPONSE FIELD SHOULD ALLOW FOR 4 NUMERIC ENTRIES AND INCLUDE A DECIMAL. ALLOW UP TO 3 ENTRIES TO THE LEFT OF THE DECIMAL AND UP TO 1 ENTRY TO THE RIGHT OF THE DECIMAL.


|___|___|___|___|

ENTER NUMBER (OF DAYS, WEEKS, MONTHS OR YEARS)


REFUSED 777

DON'T KNOW 999


ENTER UNIT


DAYS 1

WEEKS 2

MONTHS 3

YEARS 4

REFUSED 7

DON'T KNOW 9



DSQ.103 In the past {30 DAYS/NUMBER AND UNIT}, on how many days did {you/SP} take {PRODUCT NAME}?


CAPI INSTRUCTION:

  • {30 DAYS/NUMBER AND UNIT} = IF NUMBER AND UNIT ENTERED IN DSQ.096 >= 30 DAYS, OR REFUSED (CODE 7), OR DON’T KNOW (CODE 9), DISPLAY “30 DAYS” IN TEXT OF QUESTION. IF NUMBER AND UNIT ENTERED IN DSQ.096 IS < 30 DAYS, DISPLAY ACTUAL NUMBER AND UNIT ENTERED IN DSQ.096 IN TEXT OF QUESTION.

  • {PRODUCT NAME} = PRODUCT SELECTED AT DSQ.049 OR PRODUCT ENTERED IN DSQ.052.


|___|___|

ENTER NUMBER OF DAYS FROM 1-30


REFUSED 777

DON'T KNOW 999



DSQ.123 On the days that {you/SP} took {PRODUCT NAME}, how much did {you/SP} usually take on a single day?

Q/U/OS

CAPI INSTRUCTION:

RESPONSE FIELD SHOULD ALLOW FOR 3 NUMERIC ENTRIES AND INCLUDE A DECIMAL. ALLOW 0 OR 1 ENTRIES TO THE LEFT OF THE DECIMAL AND 0, 1 OR 2 ENTRIES TO THE RIGHT OF THE DECIMAL.


|___|___|___|

ENTER NUMBER


REFUSED 7777 (DSQ.124)

DON'T KNOW 9999 (DSQ.124)


|___|___|

ENTER UNIT/FORM


TABLETS/CAPSULES/PILLS/CAPLETS/
SOFTGELS/GEL CAPS/VEGICAPS/
CHEWABLE TABLETS 1 (07BOX NEW 4A)

DROPPERS 2 (07BOX NEW 4A)

DROPS 3 (07BOX NEW 4A)

INJECTIONS/SHOTS 5 (07BOX NEW 4A)

LOZENGES/COUGH DROPS 6 (07BOX NEW 4A)

MILLILITERS 7 (07BOX NEW 4A)

TABLESPOONS 11 (07BOX NEW 4A)

TEASPOONS 12 (07BOX NEW 4A)

WAFERS 13 (07BOX NEW 4A)

CANS 15 (07BOX NEW 4A)

GRAMS 16 (07BOX NEW 4A)

DOTS 17 (07BOX NEW 4A)

CUPS 18 (07BOX NEW 4A)

SPRAYS/SQUIRTS 19 (07BOX NEW 4A)

CHEWS/GUMMIES 20 (07BOX NEW 4A)

SCOOPS 21 (07BOX NEW 4A)

CAPFULS 23 (07BOX NEW 4A)

OUNCES 27 (07BOX NEW 4A)

PACKAGES/PACKETS 28 (CONTINUE)

VIALS 29 (07BOX NEW 4A)

GUMBALLS 30 (07BOX NEW 4A)

OTHER FORM (SPECIFY) 91 (07BOX NEW 4A)

REFUSED 77 (07BOX NEW 4A)

DON’T KNOW 99 (07BOX NEW 4A)


CAPI INSTRUCTION:

  • IF FORM CODE 1 THROUGH 8 IN DSQ.077, AUTOMATICALLY CODE THE UNIT CODE 1 AND SKIP TO 07BOX NEW 4A.


  • IF FORM CODE 12 IN DSQ.077, AUTOMATICALLY CODE THE UNIT CODE 13 FOR DSQ.123U AND SKIP TO 07BOX NEW 4A.


  • IF FORM CODE 13 IN DSQ.077, AUTOMATICALLY CODE THE UNIT CODE 20 FOR DSQ.123U AND SKIP TO 07BOX NEW 4A.


  • IF FORM CODE 14 IN DSQ.077, AUTOMATICALLY CODE THE UNIT CODE 17 FOR DSQ.123U AND SKIP TO 07BOX NEW 4A.


  • IF FORM CODE 16 IN DSQ.077, AUTOMATICALLY CODE THE UNIT CODE 6 FOR DSQ.123U AND SKIP TO 07BOX NEW 4A.


  • IF FORM CODE 9 IN DSQ.077, DISPLAY THE UNIT CODES 1, 6, 7, 11, 12, 13, 15, 16, 17, 18, 20, 21, 23, 27, 28, 30, 91, 77, 99 FOR DSQ.123U.


  • IF FORM CODE 10, 17 IN DSQ.077, DISPLAY THE UNIT CODES 2, 3, 5, 7, 11, 12, 15, 18, 19, 23, 27, 29, 91, 77, 99 FOR DSQ.123U.


  • IF FORM CODE 11, 15 IN DSQ.077, DISPLAY THE UNIT CODES 11, 12, 15, 16, 18, 21, 23, 27, 28, 91, 77, 99 FOR DSQ.123U.


  • IF FORM CODE 91, 77, 99 IN DSQ.077, DISPLAY ENTIRE PICK LIST FOR DSQ.123U.


  • IF CONTAINER NOT SEEN (CODE 2 IN DSQ.071), DISPLAY ENTIRE PICK LIST FOR DSQ.123U.



DSQ.125 {Did you/Does SP} take an entire packet of {PRODUCT NAME} each time?


YES 1

NO 2

REFUSED 7

DON'T KNOW 9



07BOX NEW 4A


CHECK ITEM DSQ.105:

IF PRODUCT NOT SEEN IN DSQ.071 (CODE 2) AND DSQ.123 = 7, 11, 12, 15, 16, 18, 21, 23 OR 27, CONTINUE.

OTHERWISE, SKIP TO DSQ.124.




DSQ.110 Was that a liquid or powder?


LIQUID 1

POWDER 2

REFUSED 77

DON'T KNOW 99



DSQ.124 HAND CARD DSQ2


Looking at this card, what is the reason {you take/SP takes} {PRODUCT NAME}?


(Did {you/SP NAME} decide to take it for reasons of your own or did a doctor or other health provider tell you to take it?)


DECIDED TO TAKE IT FOR REASONS
OF MY OWN 1

A DOCTOR OR OTHER HEALTH
PROVIDER TOLD ME TO 2

REFUSED 7 (DSQ.127)

DON’T KNOW 9 (DSQ.127)



DSQ.128 {For what reason or reasons {do you/does SP} take {PRODUCT NAME}?}

{For what reason or reasons did the doctor or other health professional tell {you/SP} to take {PRODUCT}?}


HAND CARD DSQ3


CODE ALL THAT APPLY.


FOR GOOD BOWEL/COLON HEALTH 10

FOR PROSTATE HEALTH 11

FOR MENTAL HEALTH 12

TO PREVENT HEALTH PROBLEMS 13

TO IMPROVE MY OVERALL HEALTH 14

FOR TEETH, PREVENT CAVITIES 15

TO SUPPLEMENT MY DIET (BECAUSE
I DON’T GET ENOUGH FROM FOOD) 16

TO MAINTAIN HEALTH (TO STAY
HEALTHY) 17

TO PREVENT COLDS, BOOST IMMUNE
SYSTEM 18

FOR HEART HEALTH, CHOLESTEROL 19

FOR EYE HEALTH 20

FOR HEALTHY JOINTS, ARTHRITIS 21

FOR HEALTHY SKIN, HAIR AND NAILS 22

FOR WEIGHT LOSS 23

FOR BONE HEALTH, BUILD STRONG
BONES, OSTEOPOROSIS 24

TO GET MORE ENERGY 25

FOR PREGNANCY/BREASTFEEDING 26

FOR ANEMIA, SUCH AS LOW IRON 27

FOR MENOPAUSE, HOT FLASHES

TO MAINTAIN HEALTHY BLOOD SUGAR LEVEL, DIABETES

FOR KIDNEY AND BLADDER HEALTH, URINARY TRACT HEALTH

TO IMPROVE DIGESTION

FOR MUSCLE RELATED ISSUES, MUSCLE CRAMPS, MUSCLE BUILDING

FOR RELAXATION, DECREASE STRESS, IMPROVE SLEEP

FOR LIVER HEALTH, DETOXIFICATION, CLEANSE SYSTEM

OTHER SPECIFY 91

REFUSED 77

DON’T KNOW 99


CAPI INSTRUCTION:

IF CODE 1 IN DSQ.124, DISPLAY For what reason or reasons {do you/does SP} take {PRODUCT NAME}?

IF CODE 2 IN DSQ.124, DISPLAY For what reason or reasons did the doctor or other health professional tell {you/SP} to take {PRODUCT}?



DSQ.127 ARE THERE ANY OTHER VITAMINS, MINERALS, HERBALS OR DIETARY SUPPLEMENTS?


YES 1

NO 2


HELP SCREEN:

Dietary Supplements (Vitamins/Minerals): Dietary supplements are often labeled as "dietary supplements" and are used in addition to foods and beverages. Dietary supplements are not intended to replace food. Include vitamins, minerals, antacid/calcium supplement products, fiber supplements, amino acids, performance enhancers, herbs, herbal medicine products, and plant extracts used as dietary supplements. Include products that are taken orally or given by injection. Do not include beverages, such as tea, and skin creams. Meal replacement beverages, weight loss and performance booster drinks, and food bars are considered foods, not dietary supplements.



BOX 5


CHECK ITEM DSQ.129:

ASK DSQ.127 FOR NEXT VITAMIN (CODE 1 IN DSQ.127). IF NO NEXT VITAMIN (CODE 2 IN DSQ.127), CONTINUE WITH DSQ.131.




DSQ.131 REVIEW TOTAL NUMBER OF DIETARY SUPPLEMENTS AND THEIR NAMES WITH RESPONDENT.


I have listed {TOTAL NUMBER} vitamin(s), mineral(s), herbals or dietary supplement(s) that {you have/SP has} taken in the past 30 days: {PRODUCT NAME (STRENGTH)}


PRESS ENTER TO CONTINUE


CAPI INSTRUCTION:

DISPLAY LIST OF ALL VITAMIN AND MINERAL NAMES AND STRENGTHS SELECTED AT DSQ.060 AND ENTERED AT DSQ.052. CALCULATE TOTAL NUMBER OF ALL VITAMINS AND MINERALS SELECTED AT DSQ.060 AND ENTERED AT DSQ.052. DISPLAY NUMBER ON SCREEN.



HELP SCREEN:

Dietary Supplements (Vitamins/Minerals): Dietary supplements are often labeled as "dietary supplements" and are used in addition to foods and beverages. Dietary supplements are not intended to replace food. Include vitamins, minerals, antacid/calcium supplement products, fiber supplements, amino acids, performance enhancers, herbs, herbal medicine products, and plant extracts used as dietary supplements. Include products that are taken orally or given by injection. Do not include beverages, such as tea, and skin creams. Meal replacement beverages, weight loss and performance booster drinks, and food bars are considered foods, not dietary supplements.



BOX 6


CHECK ITEM DSQ.133:

IF 'YES' (CODE 1) IN RXQ.021, CONTINUE.

OTHERWISE, GO TO BOX 10A NEW.




RXQ.141 Now I would like to ask you some questions about {your/SP's} use of nonprescription antacids in the past 30 days.


[First I will record some information about an antacid, then I will ask you some questions about it.]


REFER TO PRODUCT LABEL(S) OR ASK RESPONDENT FOR NAME(S) OF NONPRESCRIPTION ANTACIDS USED. ENTER FULL BRAND NAME OF ANTACID.


ENTER ANTACID NAME


REFUSED 7

DON'T KNOW 9


CAPI INSTRUCTION:

IF DON'T KNOW OR REFUSED, THEN GO TO BOX 10A.

SHOULD ALLOW ENTRY OF PRODUCT NAME TO SAVE THE PRODUCT NAME AS KEYED AND THAT SHOULD BE USED TO START THE LOOKUP.

[TEXT SHOULD BE OPTIONAL, "[ ]"S, AFTER THE FIRST TIME.


HELP SCREEN:

Antacids: An agent that neutralizes acidity or reduces acid production, especially in the digestive system.


Past Month: The past 30 days. From yesterday, 30 days back.



RXQ.150s PRESS BS TO START THE LOOKUP.


SELECT ANTACID

FROM LIST.


IF ANTACID NOT

ON LIST – PRESS BS

TO DELETE ENTRY.


TYPE '**'.


PRESS ENTER TO SELECT.


CAPI INSTRUCTION:

DISPLAY CAPI ANTACID PRODUCT LIST. INTERVIEWER SHOULD BE ABLE TO ACCEPT THE PRODUCT NAME AS IT WAS KEYED IN RXQ.141 BY TYPING IN "**". THE LOOKUP BOX SHOULD BE LOW ENOUGH ON THE SCREEN SO THAT THE INSTRUCTION ABOUT HOW TO ACCEPT THE KEYED PRODUCT NAME IS SHOWING ABOVE THE LOOKUP BOX. THE LOOKUP SHOULD ONLY SHOW THE PRODUCT NAMES WITH THE OTHER LOOKUP INFO OFF THE SCREEN TO THE RIGHT.

INTERVIEWER SHOULD BE ABLE TO ACCEPT THE KEYED NAME AS A NEW PRODUCT NAME AN UNLIMITED NUMBER OF TIMES. AFTER ENTRY, INTERVIEWER SHOULD RETURN TO THE DATA BASE LIST. IF NO MORE ENTRIES, INTERVIEWERS SHOULD HAVE A WAY OF MOVING INTO LOOP 2.

ONCE A PRODUCT IS SELECTED FROM THE LIST, THE FOLLOWING INFORMATION SHOULD BE COLLECTED FROM THE LOOKUP DATABASE:

DRUG TYPE {3}

GENERIC NAME {60}

THERAPEUTIC CLASS CODE {6}

GENERIC FLAG {1}

THERE IS NO NEED TO DISPLAY THIS INFORMATION.



BOX 7


OMITTED




RXQ.NEW INTERVIEWER: ENTER 1 RESPONSE.


CAPI INSTRUCTION:

DISPLAY PRODUCT NAME AS LEFT HEADER.


CONTAINER SEEN 1

CONTAINER NOT SEEN 2



RXQ.180 For how long {have/has} {you/SP} been using or taking {PRODUCT NAME}?


CAPI INSTRUCTION:

RESPONSE FIELD SHOULD ALLOW FOR 4 NUMERIC ENTRIES AND INCLUDE A DECIMAL. ALLOW UP TO 3 ENTRIES TO THE LEFT OF THE DECIMAL AND UP TO 1 ENTRY TO THE RIGHT OF THE DECIMAL.


|___|___|___|___|

ENTER NUMBER (OF DAYS, WEEKS, MONTHS OR YEARS)


REFUSED 777

DON'T KNOW 999


ENTER UNIT


DAYS 1

WEEKS 2

MONTHS 3

YEARS 4

REFUSED 7

DON'T KNOW 9



RXQ.191 In the past {30 DAYS/NUMBER AND UNIT}, on how many days did {you/SP} take {PRODUCT NAME}?


CAPI INSTRUCTION:

  • {30 DAYS/NUMBER AND UNIT} = IF NUMBER AND UNIT ENTERED IN RXQ.180 >= 30 DAYS, OR REFUSED (CODE 7), OR DON’T KNOW (CODE 9), DISPLAY “30 DAYS” IN TEXT OF QUESTION. IF NUMBER AND UNIT ENTERED IN RXQ.180 IS < 30 DAYS, DISPLAY ACTUAL NUMBER AND UNIT ENTERED IN DSQ.096 IN TEXT OF QUESTION.

  • {PRODUCT NAME} = PRODUCT SELECTED AT DSQ.049 OR PRODUCT ENTERED IN DSQ.052.


|___|___|

ENTER NUMBER OF DAYS FROM 1-30


REFUSED 7777

DON'T KNOW 9999



RXQ.195
Q/U/OS

On those days that you used or took {PRODUCT NAME}, how much did {you/SP} usually take on a single day?


CAPI INSTRUCTION:

RESPONSE FIELD SHOULD ALLOW FOR 3 NUMERIC ENTRIES AND INCLUDE A DECIMAL. ALLOW 0 OR 1 ENTRIES TO THE LEFT OF THE DECIMAL AND 0, 1 OR 2 ENTRIES TO THE RIGHT OF THE DECIMAL.


OPTIONS MUST BE IN ORDER SPECIFIED – APPROVED BY DRG (NCHS)


|___|___|___|

ENTER NUMBER


REFUSED 7777 (RXQ.216)

DON'T KNOW 9999 (RXQ.216)


ENTER UNIT/FORM


TABLETS/CAPSULES/PILLS/CAPLETS/
SOFTGELS/GEL CAPS/VEGICAPS/
CHEWABLE TABLETS 1 (07BOX NEW 8)

DROPPERS 2 (07BOX NEW 8)

DROPS 3 (07BOX NEW 8)

INJECTIONS/SHOTS 5 (07BOX NEW 8)

LOZENGES/COUGH DROPS 6 (07BOX NEW 8)

MILLILITERS 7 (07BOX NEW 8)

TABLESPOONS 11 (07BOX NEW 8)

TEASPOONS 12 (07BOX NEW 8)

WAFERS 13 (07BOX NEW 8)

CANS 15 (07BOX NEW 8)

GRAMS 16 (07BOX NEW 8)

DOTS 17 (07BOX NEW 8)

CUPS 18 (07BOX NEW 8)

SPRAYS/SQUIRTS 19 (07BOX NEW 8)

CHEWS/GUMMIES 20 (07BOX NEW 8)

SCOOPS 21 (07BOX NEW 8)

CAPFULS 23 (07BOX NEW 8)

OUNCES 27 (07BOX NEW 8)

PACKAGES/PACKETS 28 (CONTINUE)

VIALS 29 (07BOX NEW 8)

GUMBALLS 30 (07BOX NEW 8)

OTHER FORM (SPECIFY) 91 (07BOX NEW 8)

REFUSED 77 (07BOX NEW 8)

DON’T KNOW 99 (07BOX NEW 8)



RXQ.200 {Do you/Does SP{ take an entire packet each time?


YES 1

NO 2

REFUSED 7

DON'T KNOW 9



07BOX NEW 8


CHECK ITEM RXQ.205:

IF RXQ.195U IS 7, 11, 12, 15, 16, 18, 21, 23, OR 27, CONTINUE.

OTHERWISE, SKIP TO RXQ.215a.




DSQ.110 Was that a liquid or powder?


LIQUID 1

POWDER 2

REFUSED 77

DON'T KNOW 99



RXQ.215a Did you take {PRODUCT NAME} as an antacid, as a calcium supplement, or both?


ANTACID 1

CALCIUM SUPPLEMENT 2

BOTH 3

NEITHER 4

REFUSED 7

DON'T KNOW 9



RXQ.216 CHECK CONTAINERS. ARE THERE ANY OTHER NONPRESCRIPTION ANTACIDS?


OR ASK RESPONDENT:

[Are there any other nonprescription antacids that {you/SP} used in the past 30 days?]


YES 1

NO 2


HELP SCREEN:

Antacids: An agent that neutralizes acidity or reduces acid production, especially in the digestive system.



BOX 9


CHECK ITEM RXQ.219:

ASK RXQ.141 FOR NEXT ANTACID (CODE 1 IN RXQ.216). IF NO NEXT ANTACID, (CODE 2 IN RXQ.216), CONTINUE WITH RXQ.221.




RXQ.221 REVIEW TOTAL NUMBER OF ANTACIDS AND THEIR NAMES WITH RESPONDENT.


I have listed {TOTAL NUMBER} nonprescription antacid(s) that {you have/SP has} taken in the past 30 days: {PRODUCT NAME(S)}


PRESS ENTER TO CONTINUE


CAPI INSTRUCTION:

DISPLAY NAMES OF ALL ANTACIDS SELECTED AT RXQ.150 AND ENTERED AT RXQ.141. CALCULATE TOTAL NUMBER OF ALL ANTACIDS SELECTED AT RXQ.150 AND ENTERED AT RXQ.141. DISPLAY NUMBER ON SCREEN.


HELP SCREEN:

Antacids: An agent that neutralizes acidity or reduces acid production, especially in the digestive system.



BOX 15


OMITTED



BOX 16


OMITTED



BOX 16A


OMITTED
























BOX 10A


CHECK ITEM DSQ.225 NEW:

IF 'YES' (CODE 1) IN RXQ.032, CONTINUE WITH RXQ.231.

IF ‘NO’ (CODE 2) IN RXQ.032 and (DIQ.050 = 1 OR DIQ.070 = 1) GO TO NEW6;

IF ‘NO’ (CODE 2) IN RXQ.032 and (BPQ.050a = 1) GO TO NEW7;

IF ‘NO’ (CODE 2) IN RXQ.032 and (BPQ.100d = 1) GO TO NEW8;

IF ‘NO’ (CODE 2) IN RXQ.032 and (MCQ.051 = 1) GO TO NEW9;


CAPI INSTRUCTION (GO TO EACH OF THE ITEMS NEW6-NEW9 BEFORE PROCEEDING TO NEW BOX1 RX)


IF ‘NO’ to all check items above GO TO BOX 18.




NEW6 Earlier your reported taking (insulin DIQ.050=1/a diabetic pill DIQ.070=1/insulin and a diabetic bill DIQ.050=1 and DIQ.070=1). Can you show me the containers for your (insulin/diabetic pill/insulin and diabetic pill)?


YES............................................................................... 1

NO................................................................................. 2

NOT TAKING INSULIN OR DIABETIC PILL................. 3



[INTERWIEWER INSTRUCTION: ENTER INSULIN AS A PRECRIPTION MEDICATION EVEN IF THE PARTICIPANT SAYS THEY PURCHASED THEIR INSULIN WITHOUT A PRESCRIPTION].


NEW7 Earlier your reported taking a prescribed medication for high blood pressure (BPQ.050a=1). Can you show me the containers for your high blood pressure medicines?


YES............................................................................... 1

NO................................................................................. 2

NOT TAKING HIGH BLOOD PRESSURE PILL............ 3



NEW8 Earlier your reported taking a prescribed medication for high cholesterol (BPQ.100d=1). Can you show me the containers for your high cholesterol medicines?


YES............................................................................... 1

NO................................................................................. 2

NOT TAKING HIGH CHOLESTEROL PILL.................. 3



NEW9 Earlier your reported taking a prescribed medication for asthma sometime during the past 3 months (MCQ.051=1). Have you taken any prescribed medicine for asthma during the past 30 days?



YES............................................................... 1

NO................................................................. 2 (NEW BOX1 RX)

REFUSED..................................................... 7 (NEW BOX1 RX)

DON'T KNOW............................................... 9 (NEW BOX1 RX)


NEW10 Can you show me the containers for your asthma medicines?


YES............................................................... 1

NO................................................................. 2


NEW BOX1 RX


CHECK ITEM new:

IF ‘YES’ TO NEW6, NEW7, NEW8 OR NEW 10 PROCEED TO RXQ.231 (MODIFIED)

IF ‘NOT TAKING …’ TO NEW6, NEW7, NEW8 AND ‘NO’ TO NEW9 GO TO BOX 18.



RXQ.231MODIFIED (IF THE RESPONDENT ONLY GETS TO RXQ.231 VIA NEW6, NEW7 NEW8 OR NEW 10 OMIT THE FIRST TWO SENTENCES.

RXQ.231 Now I would like to talk about prescription medication {you have/SP has} used in the past 30 days. Again, these are products prescribed by a health professional such as a doctor or dentist.


[First I will record some information about the medication, then I will ask you some questions about it.]


REFER TO PRODUCT LABEL(S) OR ASK RESPONDENT FOR NAME(S) OF PRESCRIPTION MEDICATIONS USED.


ENTER MEDICATION NAME


REFUSED 7

DON'T KNOW 9


CAPI INSTRUCTION:

IF DON'T KNOW OR REFUSED, THEN GO TO BOX 18.

SHOULD ALLOW ENTRY OF PRODUCT NAME TO SAVE THE PRODUCT NAME AS KEYED AND THAT SHOULD BE USED TO START THE LOOKUP.

TEXT SHOULD BE OPTIONAL, "[ ]"S, AFTER THE FIRST TIME.





RXQ.240s PRESS BS TO START THE LOOKUP.

SELECT MEDICATION

FROM LIST.


IF MEDICATION NOT

ON LIST – PRESS BS

TO DELETE ENTRY.


TYPE '**'.


PRESS ENTER TO SELECT


CAPI INSTRUCTION:

DISPLAY CAPI MEDICATION PRODUCT LIST. INTERVIEWER SHOULD BE ABLE TO ACCEPT THE PRODUCT NAME AS IT WAS KEYED IN RXQ.231 BY TYPING IN "**". THE LOOKUP BOX SHOULD BE LOW ENOUGH ON THE SCREEN SO THAT THE INSTRUCTION ABOUT HOW TO ACCEPT THE KEYED PRODUCT NAME IS SHOWING ABOVE THE LOOKUP BOX. THE LOOKUP SHOULD ONLY SHOW THE PRODUCT NAMES WITH THE OTHER LOOKUP INFO OFF THE SCREEN TO THE RIGHT.

INTERVIEWER SHOULD BE ABLE TO ACCEPT THE KEYED NAME AS A NEW PRODUCT NAME AN UNLIMITED NUMBER OF TIMES. AFTER ENTRY, INTERVIEWER SHOULD RETURN TO THE DATA BASE LIST. IF NO MORE ENTRIES, INTERVIEWERS SHOULD HAVE A WAY OF MOVING INTO LOOP 3.

ONCE A PRODUCT IS SELECTED FROM THE LIST, THE FOLLOWING INFORMATION SHOULD BE COLLECTED FROM THE LOOKUP DATABASE:

DRUG TYPE {3}

GENERIC NAME {60}

THERAPEUTIC CLASS CODE {6}

GENERIC FLAG {1}

THERE IS NO NEED TO DISPLAY THIS INFORMATION.




BOX 10B


CHECK ITEM RXQ.243:

IF PRODUCT IS SELECTED FROM THE LOOKUP AND THE PRODUCT HAS AN ‘OTC’ DESIGNATION, CONTINUE WITH RXQ.245.

OTHERWISE, GO TO RXQ.250.




RXQ.245 YOU HAVE SELECTED


{DISPLAY FULL PRODUCT VARIABLE NAME}.


YOU HAVE SELECTED THIS PRODUCT IN AN ‘OVER THE COUNTER’ FORM. IS THIS CORRECT?


YES 1

NO 2


CAPI INSTRUCTION:

DISPLAY SCREEN RXQ.240s – ENTRY FIELD SHOULD BE BLANK. INTERVIEWER SHOULD PRESS THE ‘BACKSPACE’ KEY TO START THE LOOKUP AGAIN AND SELECT ANOTHER PRODUCT.



BOX 11


OMITTED




RXQ.250 INTERVIEWER: ENTER 1 RESPONSE


CAPI INSTRUCTION:

DISPLAY PRODUCT NAME AS A LEFT HEADER.


CONTAINER SEEN 1

CONTAINER NOT SEEN 2


RXQ.260 For how long {have/has} {you/SP} been using or taking {PRODUCT NAME}?

Q/U

CAPI INSTRUCTION:

RESPONSE FIELD SHOULD ALLOW FOR 4 NUMERIC ENTRIES AND INCLUDE A DECIMAL. ALLOW UP TO 3 ENTRIES TO THE LEFT OF THE DECIMAL AND UP TO 1 ENTRY TO THE RIGHT OF THE DECIMAL.


|___|___|___|___|

ENTER NUMBER (OF DAYS, WEEKS, MONTHS OR YEARS)


REFUSED 777

DON'T KNOW 999


ENTER UNIT


DAYS 1

WEEKS 2

MONTHS 3

YEARS 4



BOX 13


OMITTED




RXQ.290 What is the main reason for which (you use/SP uses) {PRODUCT NAME}?



REFUSED 7

DON'T KNOW 9



RXQ.291 INTERVIEWER INSTRUCTION: ASK IF NECESSARY


IS SP TAKING MEDICATION FOR ASTHMA, BREATHING PROBLEMS, EMPHYSEMA OR RELATED CONDITION?


YES 1

NO 2

REFUSED 77

DON’T KNOW 99



RXQ.294 CHECK CONTAINERS. ARE THERE ANY OTHER PRESCRIPTION MEDICATIONS?


OR ASK RESPONDENT:

[Are there any other prescription medications that {you/SP} used in the past 30 days?]


YES 1

NO 2

REFUSED 77

DON’T KNOW 99



BOX 14


CHECK ITEM RXQ.294A:

ASK RXQ.231 - RXQ.294 FOR NEXT MEDICATION (CODE 1 IN RXQ.294). IF NO NEXT MEDICATION (CODE 2 IN RXQ.294), CONTINUE WITH RXQ.295.




RXQ.295 REVIEW TOTAL NUMBER OF PRESCRIBED MEDICATIONS AND THEIR NAMES WITH RESPONDENT.


I have listed {TOTAL NUMBER} prescription medication(s) that {you have/SP has} taken in the past 30 days: {PRODUCT NAME(S)}


PRESS ENTER TO CONTINUE


CAPI INSTRUCTION:

DISPLAY NAMES OF ALL PRESCRIPTION MEDICATIONS SELECTED AT RXQ.240 AND ENTERED AT RXQ.231. CALCULATE TOTAL NUMBER OF ALL PRESCRIPTION MEDICATIONS SELECTED AT RXQ.240 AND ENTERED AT RXQ.231. DISPLAY NUMBER ON SCREEN.




NEW BOX 2 RX


CHECK ITEM new:

IF DIQ.050 = 1 AND (ANY PRODUCT SELECTED FROM LOOKUP CLASS CODES NOT EQUAL TO 215) THEN GO TO NEW11a.

IF DIQ.070 = 1 AND (ANY PRODUCT SELECTED FROM LOOKUP CLASS CODES NOT EQUAL TO 213, 214, 216, 271, 282, 309, OR 314) THEN GO TO NEW11b.

IF BPQ.050a = 1 AND (ANY PRODUCT SELECTED FROM LOOKUP CLASS CODES NOT EQUAL TO 41, 42, 44, 47, 48, 49, 53, 55, 56, OR 340) THEN GO TO NEW11c.

IF BPQ.100d = 1 AND (ANY PRODUCT SELECTED FROM LOOKUP CLASS CODES NOT EQUAL TO 19) THEN GO TO NEW11d.

OTHERWISE, GO TO BOX 18.




NEW11 I have listed {TOTAL NUMBER} prescription medication(s) that {you have/SP has} taken in the past 30 days:  {PRODUCT NAME(S)}. Which product you are taking is?


CAPI INSTRUCTION:

DISPLAY NAMES OF ALL PRESCRIPTION MEDICATIONS SELECTED AT RXQ.240 AND ENTERED AT RXQ.231. IF A NEW MEDICATION IS ADDED, ASK RXQ.231-RXQ294 FOR THIS NEW MEDICATION.

CODE ALL THAT APPLY.



    a. insulin? 

__________________________________

SELECT MEDICATION NAME


REFUSED 77

DON’T KNOW 99



                   b. pill(s) for diabetes or blood sugar?

__________________________________

SELECT MEDICATION NAME


REFUSED 77

DON’T KNOW 99



                   c. blood pressure lowering pill(s)?

__________________________________

SELECT MEDICATION NAME


REFUSED 77

DON’T KNOW 99



                   d. cholesterol lowering pill(s)?

__________________________________

SELECT MEDICATION NAME


REFUSED 77

DON’T KNOW 99



BOX 18


CHECK ITEM DSQ.332:

IF PROXY INTERVIEW IN RPQ, CONTINUE.

IF NOT PROXY INTERVIEW IN RPQ, GO TO DSQ.335.




DSQ.334 INTERVIEWER OBSERVATION: WAS SP PRESENT FOR ALL OR PART OF INTERVIEW?


YES 1

NO 2



DSQ.335 PRESS F10 TO EXIT BLAISE.

HELP SCREEN FOR DSQ.012:


Dietary Supplements (Vitamins/Minerals): Dietary supplements are often labeled as "dietary supplements" and are used in addition to foods and beverages. Dietary supplements are not intended to replace food. Include vitamins, minerals, antacid/calcium supplement products, fiber supplements, amino acids, performance enhancers, herbs, herbal medicine products, and plant extracts used as dietary supplements. Include products that are taken orally or given by injection. Do not include beverages, such as tea, and skin creams. Meal replacement beverages, weight loss and performance booster drinks, and food bars are considered foods, not dietary supplements.


Health (Care) Professional: A person entitled by training and experience and possibly licensure to assist a doctor and who works with one or more medical doctors. Examples include: doctor's assistants, nurse practitioners, nurses, lab technicians, and technicians who administer shots (i.e., allergy shots). Also include paramedics, medics and physical therapists working with or in a doctor's office. Do not include: dentists, oral surgeons, chiropractors, chiropodists, podiatrists, naturopaths, Christian Science healers, opticians, optometrists, and psychologists or social workers.


Dentist: Medical professional whose primary occupation is caring for teeth, gums and jaws. Dental care includes general work such as fillings, cleaning, extractions, and also specialized work such as root canals, fittings for braces, etc.


Doctor: The term refers to both medical doctors (M.D.s) and osteopathic physicians (D.O.s). It includes general practitioners as well as specialists. It does not include persons who do not have an M.D. or D.O. degree, such as dentists, oral surgeons, chiropractors, podiatrists, Christian Science healers, opticians, optometrists, psychologists, etc.


Past Month: The past 30 days. From yesterday, 30 days back.


HELP SCREEN FOR RXQ.032:


Prescription Medication: Prescription medications are those ordered by a physician or other authorized medical professional through a written or verbal prescription for a pharmacist to fill. Prescription medications may also be given by a medical professional directly to a patient to take home, such as free samples.


Prescription medications do not include:


- Medication administered to the patient during the event in the office as part of the treatment (such as an antibiotic shot for an infection, a flu shot, or an oral medication) unless a separate bill for the medication is received;


- Diaphragms and IUD's (Intra-Uterine Devices); or


- Some state laws require prescriptions for over the counter medications. Sometimes physicians write prescriptions for over the counter medications, such as aspirin. Consider any medication a prescription medication if the respondent reports it as prescribed. If it is an over the counter medication, however, the prescription must be a written prescription to be filled by a pharmacist, not just a written or oral instruction. If in doubt, probe whether the patient got a written prescription to fill at a pharmacy.


Past Month: The past 30 days. From yesterday, 30 days back.


HELP SCREEN FOR DSQ.042:


Dietary Supplements (Vitamins/Minerals): Dietary supplements are often labeled as "dietary supplements" and are used in addition to foods and beverages. Dietary supplements are not intended to replace food. Include vitamins, minerals, antacid/calcium supplement products, fiber supplements, amino acids, performance enhancers, herbs, herbal medicine products, and plant extracts used as dietary supplements. Include products that are taken orally or given by injection. Do not include beverages, such as tea, and skin creams. Meal replacement beverages, weight loss and performance booster drinks, and food bars are considered foods, not dietary supplements.


Antacids: An agent that neutralizes acidity or reduces acid production, especially in the digestive system.


Prescription Medication: Prescription medications are those ordered by a physician or other authorized medical professional through a written or verbal prescription for a pharmacist to fill. Prescription medications may also be given by a medical professional directly to a patient to take home, such as free samples.


Prescription medications do not include:


- Medication administered to the patient during the event in the office as part of the treatment (such as an antibiotic shot for an infection, a flu shot, or an oral medication) unless a separate bill for the medication is received;


- Diaphragms and IUD's (Intra-Uterine Devices); or


- Some state laws require prescriptions for over the counter medications. Sometimes physicians write prescriptions for over the counter medications, such as aspirin. Consider any medication a prescription medication if the respondent reports it as prescribed. If it is an over the counter medication, however, the prescription must be a written prescription to be filled by a pharmacist, not just a written or oral instruction. If in doubt, probe whether the patient got a written prescription to fill at a pharmacy.


Past Month: The past 30 days. From yesterday, 30 days back.


HELP SCREEN FOR DSQ.052:


Dietary Supplements (Vitamins/Minerals): Dietary supplements are often labeled as "dietary supplements" and are used in addition to foods and beverages. Dietary supplements are not intended to replace food. Include vitamins, minerals, antacid/calcium supplement products, fiber supplements, amino acids, performance enhancers, herbs, herbal medicine products, and plant extracts used as dietary supplements. Include products that are taken orally or given by injection. Do not include beverages, such as tea, and skin creams. Meal replacement beverages, weight loss and performance booster drinks, and food bars are considered foods, not dietary supplements.


Health (Care) Professional: A person entitled by training and experience and possibly licensure to assist a doctor and who works with one or more medical doctors. Examples include: doctor's assistants, nurse practitioners, nurses, lab technicians, and technicians who administer shots (i.e., allergy shots). Also include paramedics, medics and physical therapists working with or in a doctor's office. Do not include: dentists, oral surgeons, chiropractors, chiropodists, podiatrists, naturopaths, Christian Science healers, opticians, optometrists, and psychologists or social workers.


Dentist: Medical professional whose primary occupation is caring for teeth, gums and jaws. Dental care includes general work such as fillings, cleaning, extractions, and also specialized work such as root canals, fittings for braces, etc.


Doctor: The term refers to both medical doctors (M.D.s) and osteopathic physicians (D.O.s). It includes general practitioners as well as specialists. It does not include persons who do not have an M.D. or D.O. degree, such as dentists, oral surgeons, chiropractors, podiatrists, Christian Science healers, opticians, optometrists, psychologists, etc.


Past Month: The past 30 days. From yesterday, 30 days back.


HELP SCREEN FOR RXQ.231:


Prescription Medication: Prescription medications are those ordered by a physician or other authorized medical professional through a written or verbal prescription for a pharmacist to fill. Prescription medications may also be given by a medical professional directly to a patient to take home, such as free samples.


Prescription medications do not include:


- Medication administered to the patient during the event in the office as part of the treatment (such as an antibiotic shot for an infection, a flu shot, or an oral medication) unless a separate bill for the medication is received;


- Diaphragms and IUD's (Intra-Uterine Devices); or


- Some state laws require prescriptions for over the counter medications. Sometimes physicians write prescriptions for over the counter medications, such as aspirin. Consider any medication a prescription medication if the respondent reports it as prescribed. If it is an over the counter medication, however, the prescription must be a written prescription to be filled by a pharmacist, not just a written or oral instruction. If in doubt, probe whether the patient got a written prescription to fill at a pharmacy.


Past Month: The past 30 days. From yesterday, 30 days back.


HELP SCREEN FOR RXQ.294/RXQ.295:


Prescription Medication: Prescription medications are those ordered by a physician or other authorized medical professional through a written or verbal prescription for a pharmacist to fill. Prescription medications may also be given by a medical professional directly to a patient to take home, such as free samples.


Prescription medications do not include:


- Medication administered to the patient during the event in the office as part of the treatment (such as an antibiotic shot for an infection, a flu shot, or an oral medication) unless a separate bill for the medication is received;


- Diaphragms and IUD's (Intra-Uterine Devices); or


- Some state laws require prescriptions for over the counter medications. Sometimes physicians write prescriptions for over the counter medications, such as aspirin. Consider any medication a prescription medication if the respondent reports it as prescribed. If it is an over the counter medication, however, the prescription must be a written prescription to be filled by a pharmacist, not just a written or oral instruction. If in doubt, probe whether the patient got a written prescription to fill at a pharmacy.





mailing address



MAQ.005 Processing Extended SP Questionnaire. Please Wait.



MAQ.020 The Centers for Disease Control and Prevention may wish to contact {you/SP} again. Please give me {your/SP's} complete mailing address.


CRITICAL INFORMATION – CHECK CAREFULLY.


USE PEN OR PRESS 'TAB' KEY TO MOVE TO THE NEXT ENTRY FIELD.


TAP 'NEXT' BUTTON OR PRESS 'ENTER' KEY WHEN FINISHED VERIFYING ADDRESS.


CAPI INSTRUCTION:

DISPLAY THE SCREENER MAILING ADDRESS INFORMATION. ENTRY SHOULD APPEAR IN ALL CAPS – AS IT DOES IN IVQ.


________ ________ ____________________________ __________ ________ _________

STREET # DIR PRE STREET NAME ST/RD/AVE DIR POST APT/LOT #


________ ________ ________ ______________________________ ________ ________

PO BOX # RR # RR BOX CITY STATE ZIP



MAQ.040 I have recorded . . .


{DISPLAY ADDRESS ENTERED IN MAQ.020 IN UPPER CASE}


Is that correct?


YES 1 (MAQ.100)

NO 2



MAQ.060 ENTER CORRECTED MAILING ADDRESS INFORMATION.

PROBE FOR MAILING ADDRESS CORRECTIONS, IF NECESSARY.


USE PEN OR PRESS 'TAB' KEY TO MOVE TO THE NEXT ENTRY FIELD.

TAP 'NEXT' BUTTON OR PRESS 'ENTER' KEY WHEN CORRECTIONS COMPLETED.


{DISPLAY ALL ADDRESS FIELDS AND INFORMATION ENTERED IN MAQ.020 IN UPPER CASE. ALLOW CORRECTIONS.}



MAQ.080 I now have {your/SP's} mailing address as . . .


{DISPLAY CORRECTED ADDRESS FROM MAQ.060 IN UPPER CASE}


Is that correct?


YES 1

NO 2


BOX 2


CHECK ITEM MAQ.090:

IF 'NO' IN MAQ.080, RETURN TO MAQ.060. DISPLAY CORRECTED ADDRESS INFORMATION IN MAQ.060. (CONTACT KAY IF THERE ARE PROBLEMS DOING THIS.)

OTHERWISE, CONTINUE.



BOX 3


CHECK ITEM MAQ.095:

CHECK TELEPHONE NUMBER LISTED IN SCREENER (SCQ.430). IF NO HOME TELEPHONE (CODE 2), REF (CODE 9), OR DK (CODE 7), CONTINUE.

OTHERWISE, GO TO MAQ.130.



MAQ.100 Please give me your home telephone number in case my office wants to check my work.


CAPI INSTRUCTION:

ONLY ALLOW 10 DIGIT PHONE NUMBER. DISPLAY HARD RANGE CHECK MESSAGE IF NOT 10 DIGITS.


|__|__|__|__|__|__|__|__|__|__|


NO HOME TELEPHONE 2 (MAQ.110)

REFUSED 7 (MAQ.110)

DON’T KNOW 9 (MAQ.110)



MAQ.110 Is there another number where you can be reached?


CAPI INSTRUCTION:

ONLY ALLOW 10 DIGIT PHONE NUMBER. DISPLAY HARD RANGE ERROR IF NOT 10 DIGITS.


|__|__|__|__|__|__|__|__|__|__|


NO 2 (MAQ.130)

REFUSED 7 (MAQ.130)

DON’T KNOW 9 (MAQ.130)



MAQ.120 Where is that phone located?


WORK 1

RELATIVE’S HOME 2

NEIGHBOR’S HOME 3

MOBILE PHONE 4

OTHER 5

REFUSED 7

DON’T KNOW 9



MAQ.130 This is the end of the health interview. Thank you very much for your cooperation.

POST INTERVIEW



BOX 1


CHECK ITEM DUST:

IF SP AGE = 1 TO 5, CONTINUE.

OTHERWISE, GO TO APPTCONT.



DUSTCONT PERFORM THE DUST MODULE AT THIS TIME?


YES 1 (LAUNCH DUST MODULE)

NO 2



APPTCONT PERFORM THE APPOINTMENT MODULE AT THIS TIME?


YES 1

NO 2




















FAMILY QUESTIONNAIRE



DEMOGRAPHIC BACKGROUND/OCCUPATION




BOX 1A


RULES FOR ADMINISTERING THE DEMOGRAPHIC AND OCCUPATION SECTION OF THE FAMILY QUESTIONNAIRE:


  • A CPS FAMILY INCLUDES INDIVIDUALS AND GROUPS OF INDIVIDUALS WHO ARE 16+ AND RELATED BY BIRTH, MARRIAGE OR ADOPTION. STEP CHILDREN, PARENTS OR SIBLINGS ARE INCLUDED. IT ALSO INCLUDES UNMARRIED PARTNERS IF THEY HAVE A BIOLOGICAL OR ADOPTIVE CHILD IN COMMON. IT DOES NOT INCLUDE UNMARRIED PARTNERS WHO DO NOT HAVE A CHILD IN COMMON, FOSTER PARENTS OR FOSTER CHILDREN. NOTE: A CPS FAMILY CAN BE ONE INDIVIDUAL.




BOX 1


LOOP 1:

ASK DMQ.107 – DMQ.141 AS APPROPRIATE FOR NON-SP HEAD OF CPS FAMILY AND NON-SP SPOUSE (RELATIONSHIP OF "MARRIED" IN THE SCREENER) OF HEAD OF CPS FAMILY.

  • FIRST ASK DMQ.107, 130, AND 141 FOR NON-SP HEAD OF CPS FAMILY.

  • NEXT, ASK DMQ.141 FOR NON-SP SPOUSE OF HEAD OF CPS FAMILY.

  • EACH TARGET PERSON SHOULD BE ASKED THIS SECTION ONCE.

  • IF NO NON-SP HEAD OF CPS FAMILY AND NON-SP SPOUSE, GO TO
    END OF SECTION.




DMQ.107 In what country {were you/was NON-SP Head} born?


UNITED STATES 1 (DMQ.130)

OTHER COUNTRY 2

REFUSED 7 (BOX 2)

DON'T KNOW 9 (BOX 2)



DMQ.new1 SELECT COUNTRY OF BIRTH

ARGENTINA 1

BANGLADESH 2

BELIZE 3

BHUTAN 4

BOLIVIA 5

BRAZIL 6

BURMA/MYANMAR 7

CAMBODIA 8

CHILE 9

CHINA 10

COLOMBIA 11

COSTA RICA 12

CUBA 13

DOMINICAN REPUBLIC 14

ECUADOR 15

EL SALVADOR 16

GUATEMALA 17

HONG KONG 18

INDIA 19

INDONESIA 20

HONDURAS 21

JAPAN 22

KOREA 23

LAOS 24

MEXICO 25

MACAU 26

MADAGASCAR 27

MALAYSIA 28

MALDIVES 29

NEPAL 30

NICARAGUA 31

PAKISTAN 32

PANAMA 33

PARAGUAY 34

PERU 35

PHILIPPINES 36

PUERTO RICO 37

SINGAPORE 38

SPAIN 39

SRI LANKA 40

TAIWAN 41

THAILAND 42

TIBET 43

URUGUAY 44

VENEZUELA 45

VIETNAM 46

OTHER COUNTRY (CAPI INSTRUCTION:

DO NOT SPECIFY) 50




BOX 2


CHECK ITEM DMQ.120:

IF ANY CODE OTHER THAN 'UNITED STATES', SKIP TO DMQ.141.




DMQ.130 In what state {were you/was NON-SP HEAD} born?


ENTER 2 LETTER STATE ABBREVIATION TO START THE LOOKUP.

SELECT STATE FROM CAPI STATE LIST.

PRESS ENTER TO ACCEPT SELECTION.


CAPI INSTRUCTION:

DISPLAY FIPS STATE LIST. INTERVIEWER SHOULD ONLY BE ABLE TO SELECT 1 STATE FROM THE LIST. DON'T KNOW AND REFUSED SHOULD BE VALID OPTIONS. THE STATE LOOKUP IN THE SP AND FAMILY QUESTIONNAIRES SHOULD WORK EXACTLY THE SAME.

DMQ.141 What is the highest grade or level of school {you have/NON-SP HEAD/NON-SP SPOUSE has} completed or the highest degree {you have/he/she has} received?


HAND CARD DMQ1

READ HAND CARD CATEGORIES IF NECESSARY

Enter highest level of school.


NEVER ATTENDED/KINDERGARTEN

ONLY 0

1ST GRADE 1

2ND GRADE 2

3RD GRADE 3

4TH GRADE 4

5TH GRADE 5

6TH GRADE 6

7TH GRADE 7

8TH GRADE 8

9TH GRADE 9

10TH GRADE 10

11TH GRADE 11

12TH GRADE, NO DIPLOMA 12

HIGH SCHOOL GRADUATE 13

GED OR EQUIVALENT 14

SOME COLLEGE, NO DEGREE 15

ASSOCIATE DEGREE: OCCUPATIONAL,

TECHNICAL, OR VOCATIONAL

PROGRAM 16

ASSOCIATE DEGREE: ACADEMIC

PROGRAM 17

BACHELOR’S DEGREE (EXAMPLE: BA,

AB, BS, BBA) 18

MASTER’S DEGREE (EXAMPLE: MA,

MS, MEng, MEd, MBA) 19

PROFESSIONAL SCHOOL DEGREE

(EXAMPLE: MD, DDS, DVM, JD) 20

DOCTORAL DEGREE (EXAMPLE:

PhD, EdD) 21

REFUSED 77

DON’T KNOW 99



BOX 3


END LOOP 1:

  • ASK DMQ.107-141 FOR NEXT TARGET PERSON (NON-SP HEAD)

  • ASK DMQ.141 FOR NEXT TARGET PERSON (NON-SP SPOUSE –
    RELATIONSHIP OF "MARRIED" IN THE SCREENER).

IF NO NEXT PERSON, GO TO BOX 4.




BOX 4


LOOP 2:

ASK OCQ.150 - OCQ.380 FOR NON-SP HEAD IF AGE >= 16 AND NON-SP SPOUSE (RELATIONSHIP OF 'MARRIED' IN THE SCREENER) OF HEAD IF NON-SP SPOUSE AGE >= 16.




OCQ.150 The next questions are about {your/NON-SP HEAD'S/NON-SP SPOUSE'S} current job or business. Which of the following {were you/was} {NON-SP HEAD/NON-SP SPOUSE} doing last week . . .


working at a job or business, 1 (BOX 7)

with a job or business but not at work, 2 (BOX 7)

looking for work, or 3 (BOX 7)

not working at a job or business? 4

REFUSED 7 (BOX 7)

DON'T KNOW 9 (BOX 7)



OCQ.380 What is the main reason {you/NON-SP HEAD/NON-SP SPOUSE} did not work last week?


TAKING CARE OF HOUSE OR FAMILY 1

GOING TO SCHOOL 2

RETIRED 3

UNABLE TO WORK FOR HEALTH

REASONS 4

ON LAYOFF 5

DISABLED 6

OTHER 7

REFUSED 77

DON'T KNOW 99



BOX 7


END LOOP 2:

ASK OCQ.150 – OCQ.380 FOR NEXT TARGET PERSON (NON-SP HEAD OR NON-SP SPOUSE - RELATIONSHIP OF "MARRIED" IN THE SCREENER).
IF NO NEXT PERSON, GO TO END OF SECTION.




housing characteristics



HOQ.050 How many rooms are in this home? Count the kitchen but not the bathroom.


|___|___|

ENTER NUMBER OF ROOMS


REFUSED 777777

DON'T KNOW 999999


HELP SCREEN:

Number of Rooms in House: Do not count bathrooms, laundry rooms, or unfinished basements.



HOQ.065 Is this home owned, being bought, rented, or occupied by some other arrangement by {you/you or someone else in your family}?


OWNED OR BEING BOUGHT 1

RENTED 2

OTHER ARRANGEMENT 3

REFUSED 7

DON'T KNOW 9


HELP SCREEN:

Rents or Owns Home: A person rents the home if s/he pays on a continuing basis without gaining any rights to ownership. A person owns the home even if s/he is still paying on a mortgage.




















SMOKING



SMQ.410 I would now like to ask you a few questions about smoking.


Does anyone who lives here smoke cigarettes, cigars, or pipes anywhere inside this home?


YES 1

NO 2 (END OF SECTION)

REFUSED 7 (END OF SECTION)

DON'T KNOW 9 (END OF SECTION)



SMQ.420 Who smokes?

PROBE: Anyone else?


CAPI INSTRUCTION:

DISPLAY HOUSEHOLD ROSTER


SELECT NAMES FROM HOUSEHOLD ROSTER


SELECT 1

REFUSED 7

DON'T KNOW 9



BOX 1


LOOP 1:

ASK SMQ.430 FOR EACH PERSON SELECTED FROM HOUSEHOLD ROSTER AS SMOKING INSIDE THE HOME.




SMQ.430 How many cigarettes per day {do you/does PERSON} usually smoke anywhere inside the home?


1 PACK EQUALS 20 CIGARETTES

IF NONE, ENTER 0

IF LESS THAN 1 PER DAY, ENTER 1


|___|___|___|

ENTER NUMBER OF CIGARETTES


REFUSED 777777

DON'T KNOW 999999



BOX 2


END LOOP 1:

ASK SMQ.430 FOR EACH PERSON SELECTED FROM HOUSEHOLD ROSTER AS SMOKING INSIDE THE HOME.

IF NO NEXT PERSON, GO TO END OF SECTION.




consumer behavior

CBQ.070
Q/U

The next questions are about how much money {your family spends/you spend} on food. First I’ll ask you about money spent at supermarkets or grocery stores. Then we will talk about money spent at other types of stores.


During the past 30 days, how much money {did your family/did you} spend at supermarkets or grocery stores? Please include purchases made with food stamps. (You can tell me per week or per month.)


INTERVIEWER: ENTER “0” IF SP SAYS NO MONEY WAS SPENT.


$ |___|___|___|___|___|___|___|___|___|


NO MONEY SPENT 0 (CBQ.100)

REFUSED 7 (CBQ.100)

DON'T KNOW 9 (CBQ.100)


ENTER UNIT


WEEK 1

MONTH 2

REFUSED 7

DON'T KNOW 9



CBQ.080 Was any of this money spent on nonfood items such as cleaning or paper products, pet food, cigarettes or alcoholic beverages?


YES 1

NO 2 (CBQ.100)

REFUSED 7 (CBQ.100)

DON'T KNOW 9 (CBQ.100)



CBQ.090
Q/U

About how much money was spent on nonfood items? (You can tell me per week or per month.)


$ |___|___|___|___|___|___|___|___|___|


HARD EDIT: AMOUNT CANNOT BE MORE THAN
THE AMOUNT ENTERED ON CBQ.070.


REFUSED 7

DON'T KNOW 9


ENTER UNIT


WEEK 1

MONTH 2

REFUSED 7

DON'T KNOW 9



CBQ.100 During the past 30 days, {did your family/did you} spend money on food at stores other than grocery stores? Here are some examples of stores where you might buy food. Please do not include stores that you have already told me about.


HAND CARD CBQ4


YES 1

NO 2 (CBQ.120)

REFUSED 7 (CBQ.120)

DON'T KNOW 9 (CBQ.120)



CBQ.110
Q/U

About how much money {did your family/did you} spend on food at these types of stores? (Please do not include any stores you have already told me about.) (You can tell me per week or per month.)


INTERVIEWER: ENTER “0” IF SP SAYS NO MONEY WAS SPENT.


HAND CARD CBQ4


$ |___|___|___|___|___|___|___|___|___|


REFUSED 7

DON'T KNOW 9


ENTER UNIT


WEEK 1

MONTH 2

REFUSED 7

DON'T KNOW 9



CBQ.120
Q/U

During the past 30 days, how much money {did your family/did you} spend on eating out? Please include money spent in cafeterias at work or at school or on vending machines, for all family members. (You can tell me per week or per month.)


INTERVIEWER INSTRUCTION: IF RESPONDENT KNOWS ONLY AMOUNT FOR SELF, CODE DK.


INTERVIEWER: ENTER “0” IF SP SAYS NO MONEY WAS SPENT.


$ |___|___|___|___|___|___|___|___|___|


REFUSED 7

DON'T KNOW 9


ENTER UNIT


WEEK 1

MONTH 2

REFUSED 7

DON'T KNOW 9



CBQ.130
Q/U

During the past 30 days, how much money {did your family/did you} spend on food carried out or delivered? Please do not include money you have already told me about. (You can tell me per week or per month.)


INTERVIEWER INSTRUCTION: IF RESPONDENT KNOWS ONLY AMOUNT FOR SELF, CODE DK.


INTERVIEWER: ENTER “0” IF SP SAYS NO MONEY WAS SPENT.


$ |___|___|___|___|___|___|___|___|___|


REFUSED 7

DON'T KNOW 9


ENTER UNIT


WEEK 1

MONTH 2

REFUSED 7

DON'T KNOW 9



INCOME



Definitions for Testers:


      • NHANES FAMILY: Everyone related to each other by blood, marriage or a marriage-like relationship including partners and foster children.


      • FAMILY: Individuals and groups of individuals who are related by birth, marriage or adoption. step children, parents or siblings are included. It also includes unmarried partners if they have a biological or adoptive child in common. It does not include unmarried partners who do not have a child in common, foster parents or foster children. Note: Individuals living alone or with other unrelated individuals are referred to as “unrelated individuals”.



INQ.020 The next questions are about {your/your combined family} income. When answering these questions, please remember that by {"income/combined family income"}, I mean {your income/your income plus the income of {NAMES OF OTHER NHANES FAMILY MEMBERS} for {LAST CALENDAR YEAR}. Did {you/you and OTHER NHANES FAMILY MEMBERS 16+} receive income in {LAST CALENDAR YEAR} from wages and salaries?


[Did {you/you or OTHER FAMILY MEMBERS 16+} get paid for work in {LAST CALENDAR YEAR}.]


YES 1

NO 2

REFUSED 7

DON'T KNOW 9


HELP SCREEN:

Wages and Salaries: Include tips, bonuses, overtime, commissions, Armed Forces pay, special cash bonuses and subsistence allowances.


Income: Income is an important factor in the analysis of the health information we collect. Access to medical care depends in part on a person or family's financial resources. This information helps us learn if people in one income group use certain types of medical services more or less than people in other income groups. We may also learn if one income group has certain medical conditions more than other income groups.



INQ.012 Did {you/you or any family members 16 and older} receive income in {LAST CALENDAR YEAR} from self-employment including business and farm income?


[Self-employment means you worked for yourself.]


YES 1

NO 2

REFUSED 7

DON'T KNOW 9



BOX 1B


OMITTED




BOX 1C


OMITTED




INQ.030 When answering the next questions about different kinds of income members of your family might have received in {LAST CALENDAR YEAR}, please consider that we also want to know about family members less than 16 years old. Did {you/you or any family members living here, that is: you or NAME(S) OF OTHER NHANES FAMILY MEMBERS} receive income in {LAST CALENDAR YEAR} from Social Security or Railroad Retirement?


YES 1

NO 2

REFUSED 7

DON'T KNOW 9


HELP SCREEN:

Social Security: Social Security (SS) payments are received by persons who have worked long enough in employment that had SS deductions taken from their salary in order to be entitled to payments. SS payments may be made to the spouse or dependent children of a covered worker. SS also pays benefits to student dependents (under 19 years of age) of eligible social security annuitants who are disabled or deceased.


Railroad Retirement: U.S. Government Railroad Retirement Benefits are based on a person’s long-term employment in the railroad industry.


Income: Income is an important factor in the analysis of the health information we collect. Access to medical care depends in part on a person or family's financial resources. This information helps us learn if people in one income group use certain types of medical services more or less than people in other income groups. We may also learn if one income group has certain medical conditions more than other income groups.



BOX 1D


OMITTED




BOX 1E


OMITTED




INQ.060 Did {you/you or any family members living here} receive any disability pension [other than Social Security or Railroad Retirement] in {LAST CALENDAR YEAR}?


YES 1

NO 2

REFUSED 7

DON'T KNOW 9


HELP SCREEN:

Disability Pension: The following are the most common types of disability pensions: company or union disability, Federal Government (Civil Service) disability, U.S. military retirement disability, state or local government employee disability, accident or disability insurance annuities, and Black Lung miner's disability.


Social Security: Social Security (SS) payments are received by persons who have worked long enough in employment that had SS deductions taken from their salary in order to be entitled to payments. SS payments may be made to the spouse or dependent children of a covered worker. SS also pays benefits to student dependents (under 19 years of age) of eligible social security annuitants who are disabled or deceased.

Railroad Retirement: U.S. Government Railroad Retirement Benefits are based on a person's long-term employment in the railroad industry.



BOX 2A


OMITTED




INQ.080 Did {you/you or any family members living here} receive retirement or survivor pension [other than Social Security or Railroad Retirement or disability pension] in {LAST CALENDAR YEAR}?


YES 1

NO 2

REFUSED 7

DON'T KNOW 9



BOX 2B


OMITTED




INQ.090 Did {you/you or any family members living here} receive Supplemental Security Income [SSI] in {LAST CALENDAR YEAR}?


YES 1

NO 2

REFUSED 7

DON'T KNOW 9


HELP SCREEN:

SSI: Also known as Supplemental Security Income (SSI), this federal program provides monthly cash payments in accordance with uniform, nationwide eligibility requirements to persons who are both needy and aged (65 years or older), blind, or disabled. A person may be eligible for SSI payments even if they have never worked. SSI is NOT the same as Social Security. A person can get SSI in addition to Social Security. The SSI program is issued by the Social Security Administration. Each state may add to the federal payment from its own funds. This additional money may be included in the federal payment or it may be received as a separate check. If it is combined with the federal payment, the words "STATE PAYMENT INCLUDED" will appear on the federal check. A few states make SSI payments to individuals who do not receive a federal payment.



BOX 2C


OMITTED




BOX 3A


OMITTED




INQ.132 Did {you/you or any family members living here} receive any cash assistance from a state or county welfare program such as {DISPLAY SPECIFIC STATE PROGRAMS} in {LAST CALENDAR YEAR}?


CAPI INSTRUCTION:

DISPLAY FULL NAMES OF ALL STATE PROGRAMS FOR STATE IN WHICH INTERVIEW IS BEING CONDUCTED. NAMES FOR EACH STATE WILL BE SENT TO PROGRAMMING IN A SEPARATE FILE.


YES 1

NO 2

REFUSED 7

DON'T KNOW 9



BOX 3AA


OMITTED




BOX 3B


OMITTED




INQ.140 Did {you/you or any family members living here} receive interest from savings or other bank accounts or income from dividends received from stocks or mutual funds or net rental income from property, royalties, estates, or trusts in {LAST CALENDAR YEAR}?


YES 1

NO 2

REFUSED 7

DON'T KNOW 9


HELP SCREEN:

Income: Income is an important factor in the analysis of the health information we collect. Access to medical care depends in part on a person or family's financial resources. This information helps us learn if people in one income group use certain types of medical services more or less than people in other income groups. We may also learn if one income group has certain medical conditions more than other income groups.



BOX 3C


OMITTED




INQ.150 Did {you/you or any family members living here} receive income in {LAST CALENDAR YEAR} from child support, alimony, contributions from family or others, VA payments, worker's compensation, or unemployment compensation?


INTERVIEWER INSTRUCTION: CONTRIBUTIONS INCLUDE GIFTS.


INTERVIEWER INSTRUCTION: IF RESPONDENT IS A COLLEGE STUDENT LIVING AWAY FROM THEIR FAMILY PLEASE ADD “INCLUDING MONEY RECEIVED FROM FAMILY FOR COLLEGE TUITION, BOOKS AND LIVING EXPENSES”


YES 1

NO 2

REFUSED 7

DON'T KNOW 9



BOX 3D


OMITTED




BOX 4A


OMITTED




BOX 4C


OMITTED




BOX 4B


OMITTED




BOX 5


OMITTED




BOX 7


ASK INQ.200 – 230 FOR EACH FAMILY IN THE HOUSEHOLD.




FOR THE PURPOSE OF ADMINISTERING THE QUESTIONS ABOUT TOTAL INCOME:


 A FAMILY INCLUDES INDIVIDUALS AND GROUPS OF INDIVIDUALS WHO ARE RELATED BY BIRTH, MARRIAGE OR ADOPTION. STEP CHILDREN, PARENTS OR SIBLINGS ARE INCLUDED. IT ALSO INCLUDES UNMARRIED PARTNERS IF THEY HAVE A BIOLOGICAL OR ADOPTIVE CHILD IN COMMON. IT DOES NOT INCLUDE UNMARRIED PARTNERS WHO DO NOT HAVE A CHILD IN COMMON, FOSTER PARENTS OR FOSTER CHILDREN. NOTE: INDIVIDUALS LIVING ALONG OR WITH OTHER UNRELATED INDIVIDUALS ARE REFERRED TO AS “UNRELATED INDIVIDUALS”.


 TOTAL INCOME IS ADMINISTERED FOR EACH FAMILY AND THEN FOR THE ENTIRE HOUSEHOLD.




INQ.200 Now I am going to ask about the total income for {you/NAME(S) OF OTHER FAMILY/you and NAMES OF FAMILY MEMBERS} in {LAST CALENDAR YEAR}, including income from all sources we have just talked about such as wages, salaries, Social Security or retirement benefits, help from relatives and so forth. Can you tell me that amount before taxes?


CAPI INSTRUCTIONS:

 DISPLAY "YOU" IF ONLY 1 PERSON IN THE FAMILY.

 DISPLAY "NAMES OF FIRST/NEXT FAMILY MEMBERS" IF THERE IS MORE THAN 1 PERSON IN THE FAMILY.


$ |___|___|___|___|___|___|___|___|___| (GO TO INQ.235)


REFUSED 7777777777 (INQ.220)

DON'T KNOW 9999999999 (INQ.220)


CAPI INSTRUCTION:

 REQUIRE DOUBLE ENTRY OF INCOME.

 SCREEN SHOULD READ:

“INCOME FOR {NAMES OF FAMILY MEMBERS} HAS BEEN RECORDED AS {INCOME ENTERED IN INQ.200} DOUBLE ENTRY OF INCOME REQUIRED.”

 IF ENTRIES DO NOT MATCH, DISPLAY BOTH ENTRIES. INTERVIEW SHOULD SELECT ENTRY TO CORRECT.



BOX 5A


OMITTED




INQ.220 You may not be able to give us an exact figure for {your/NAME(S) OF OTHER FAMILY/you and NAMES OF FAMILY MEMBERS} income, but can you tell me if this income in {LAST CALENDAR YEAR} was . . .


PROBE: Income is important in using the health information we collect.  For example, it helps us to learn whether persons in one income group use certain types of medical services or have certain health conditions more or less often than those in another income group.


CAPI INSTRUCTIONS:

 DISPLAY "YOUR" IF ONLY 1 PERSON IN THE FAMILY.

 DISPLAY "NAMES OF FIRST/NEXT FAMILY MEMBERS" IF THERE IS MORE THAN 1 PERSON IN THE FAMILY.


$20,000 or more, or 1

less than $20,000? 2

REFUSED 7 (BOX 8)

DON'T KNOW 9 (INQ235)


HELP SCREEN:

Income: Income is an important factor in the analysis of the health information we collect. Access to medical care depends in part on a person or family's financial resources. This information helps us learn if people in one income group use certain types of medical services more or less than people in other income groups. We may also learn if one income group has certain medical conditions more than other income groups.


Household: The entire group of persons who live in one dwelling unit. It may be several persons living together or one person living alone. It includes the household reference person and any of their relatives, as well as roomers, employees, and other non-related persons.



INQ.230
a/b

Of these income groups, can you tell me which letter best represents {your/NAME(S) OF OTHER FAMILY/you and NAMES OF FAMILY MEMBERS} income in {LAST CALENDAR YEAR}?


HAND CARD {INQ1 AND INQ2}


ENTER LETTER(S) CORRESPONDING TO TOTAL COMBINED FAMILY INCOME.


CAPI INSTRUCTIONS:

 DISPLAY "YOUR" IF ONLY 1 PERSON IN THE FAMILY.

 DISPLAY "NAMES OF FIRST/NEXT FAMILY MEMBERS" IF THERE IS MORE THAN 1 PERSON IN THE FAMILY.

 IF $20,000 OR MORE, DISPLAY HAND CARD INQ1.

 IF LESS THAN $20,000, DISPLAY HAND CARD INQ2.


|___|___|


A

B

C

D

E

F

G

H

I

J

K

L

M

N

O

P

Q

R

S

T

U

V

W

X

Y

Z

AA

BB

CC

DD

EE

FF

GG

HH

II

JJ

KK

LL

MM

NN

OO

PP

QQ

RR

SS

TT

UU

VV

WW


REFUSED 77

DON'T KNOW 99


HELP SCREEN:

Income: Income is an important factor in the analysis of the health information we collect. Access to medical care depends in part on a person or family's financial resources. This information helps us learn if people in one income group use certain types of medical services more or less than people in other income groups. We may also learn if one income group has certain medical conditions more than other income groups.


Household: The entire group of persons who live in one dwelling unit. It may be several persons living together or one person living alone. It includes the household reference person and any of their relatives, as well as roomers, employees, and other non-related persons.



BOX 6


OMITTED




INQ.235 What is the total income received last month, {LAST CALENDAR MONTH & CURRENT CALENDAR YEAR} by {you/NAMES OF OTHER FAMILY/you and NAMES OF FAMILY MEMBERS}} before taxes?


[Please include income from all sources we have just talked about such as wages, salaries, Social Security or retirement benefits, help from relatives and so forth.]


[INTERVIEWER INSTRUCTION: IF SP DOES NOT KNOW INCOME OF OTHER FAMILY MEMBERS, ENTER DON’T KNOW.]


SOFT EDIT: If the amount reported in INQ235 (monthly income), equal to the amount reported in INQ200 (annual income), display a soft edit to ask interviewer to verify.


CAPI INSTRUCTION:

 REQUIRE DOUBLE ENTRY OF INCOME.

 SCREEN SHOULD READ:

“LAST MONTH’S INCOME FOR {NAMES OF FAMILY MEMBERS} HAS BEEN RECORDED AS {INCOME ENTERED IN INQ.200} DOUBLE ENTRY OF INCOME REQUIRED.”

  • IF ENTRIES DO NOT MATCH, DISPLAY BOTH ENTRIES. INTERVIEW SHOULD SELECT ENTRY TO CORRECT.

  • FOR THE CALENDAR FILL: IF CURRENT MONTH IS JANUARY THE PAST CALENDAR YEAR WILL BE SHOWN


$ |___|___|___|___|___|___|___|___|___| (BOX NEW 7A)


REFUSED 7

DON'T KNOW 9



INQ.238 You may not be able to give us an exact figure, but can you tell me if the income for {you/NAMES OF OTHER FAMILY/your family} in {LAST CALENDAR MONTH & CURRENT CALENDAR YEAR} was . . .


{185% or less of monthly poverty

level}, or 1

more than {185% monthly poverty level}? 2 (BOX NEW 7A)

REFUSED 7

DON'T KNOW 9


PROBE: (That would be {12 times 185% monthly poverty level}} per year.)


CAPI INSTRUCTION:

    • Fill 185% of the monthly poverty level based on family size:

For family size of 1, fill ($1,670 round to nearest 100s = $1,700)

For each additional family member, fill {[$1,670+(577* # of additional person)] round to nearest 100s}

    • Fill 185% of the annual poverty level based on family size in the PROBE:

For family size of 1, fill [($1,670*12) round to nearest 100s] = $20,000)

For each additional member, fill {[$1,670+(577* # of additional person)]*12 round to nearest 100s}


Persons in Family

185% monthly poverty level

185% annual poverty level

Raw Number1

Rounded to nearest 100s2

Raw Number3

Rounded to nearest 100s4

1

1,670

1,700

20,040

20,000

2

2,247

2,200

26,964

27,000

3

2,824

2,800

33,888

33,900

4

3,401

3,400

40,812

40,800

5

3,978

4,000

47,736

47,700

6

4,555

4,600

54,660

54,700

7

5,132

5,100

61,584

61,600

8

5,709

5,700

68,508

68,500


1: $1,670 for family size of 1, thereafter, adding $577 for each additional person.

2: These are the numbers to be used in the response category fills.

3: Multiply by 12 to the raw number of the 185% monthly poverty level.

4: These are the numbers to be used in the probe fills



INQ.241 Was it more or less than {130% monthly poverty level}?


130% or less than monthly poverty level 1

More than 130% of monthly poverty level 2

REFUSED 7

DON'T KNOW 9


PROBE: {That would be 12 times 130% annual poverty level per year.}


CAPI INSTRUCTION:

    • Fill 130% of the monthly poverty level based on family size:

For family size of 1, fill ($1,173 round to nearest 100s = $1,200)

For each additional family member, fill {[$1,173+(405* # of additional person)] round to nearest 100s}

    • Fill 130% of the annual poverty level based on family size in the PROBE:

For family size of 1, fill [($1,173*12) round to nearest 100s] = $14,100)

For each additional member, fill {[$1,173+(405* # of additional person)]*12 round to nearest 100s}



Persons in Family

130% monthly poverty level

130% annual poverty level

Raw Number1

Rounded to nearest 100s2

Raw Number3

Rounded to nearest 100s4

1

1,173

1,200

14,076

14,100

2

1,578

1,600

18,936

18,900

3

1,983

2,000

23,796

23,800

4

2,388

2,400

28,656

28,700

5

2,793

2,800

33,516

33,500

6

3,198

3,200

38,376

38,400

7

3,603

3,600

43,236

43,200

8

4,008

4,000

48,096

48,100


1: $1,173 for family size of 1, thereafter, adding $405 for each additional person.

2: These are the numbers to be used in the text of question and response category fills.

3: Multiply 12 to the raw number of the 130% monthly poverty level.

4: These are the numbers to be used in the probe fills



BOX NEW 7A


CHECK ITEM INQ.242:

IF FAMILY ANNUAL INCOME (INQ200) EQUAL OR LESS THAN {200% POVERTY LEVEL}, CONTINUE;

OTHERWISE, GO TO BOX 8.


CALCULATE 200% OF THE ANNUAL POVERTY LEVEL BASED ON FAMILY SIZE: $21,660 FOR FAMILY SIZE OF 1, THEREAFTER, ADDING $7,480 FOR EACH ADDITIONAL PERSON




INQ.244 Do {you/NAMES OF OTHER FAMILY/you and NAMES OF FAMILY MEMBERS} have more than $5,000 in savings at this time? Please include money in your checking accounts.


INTERVIEWER INSTRUCTION: INCLUDE CASH, SAVINGS OR CHECKING ACCOUNTS, STOCKS, BONDS, MUTUAL FUNDS, RETIREMENT FUNDS (SUCH AS PENSIONS, IRAS, 401KS, ETC), AND CERTIFICATES OF DEPOSIT.


CAPI INSTRUCTION:

DISPLAY “you” for single-person family; DISPLAY “the members of your family” for multi-persons family.


YES 1 (BOX 9)

NO 2

REFUSED 7 (BOX 9)

DON'T KNOW 9 (BOX 9)



INQ.247 Which letter on this card best represents the total savings or cash assets at this time for {you/NAMES OF OTHER FAMILY/your family}?


HAND CARD INQ3


|___| ENTER LETTER


REFUSED 7

DON'T KNOW 9


A: Less than $500

B: $501- $1000

C: $1001-$2000

D: $2001-$3000

E: $3001-$4000

F: $4001-$5000



BOX 8


END LOOP 2:

ASK INQ.200 – INQ.247 FOR NEXT FAMILY.

IF NO NEXT FAMILY, CONTINUE.




BOX 9


CHECK ITEM INQ.240:

IF THERE IS MORE THAN ONE NHANES FAMILY IN THE HOUSEHOLD, CONTINUE.

OTHERWISE, GO TO END OF SECTION.




INQ.250 Now I am going to ask you about the total household income for the persons we have talked about plus {NAMES OF ALL OTHER PERSONS IN ADDITIONAL NHANES FAMILIES} in {LAST CALENDAR YEAR}, including income from all sources we have just talked about such as wages, salaries, Social Security or retirement benefits, help from relatives and so forth. Can you tell me that amount before taxes?


$ |___|___|___|___|___|___|___|___|___| (GO TO END OF SECTION)


REFUSED 7777777777 (INQ.260)

DON'T KNOW 9999999999 (INQ.260)


CAPI INSTRUCTION:

 REQUIRE DOUBLE ENTRY OF INCOME.

 SCREEN SHOULD READ:

“INCOME FOR YOUR HOUSEHOLD HAS BEEN RECORDED AS {INCOME ENTERED IN INQ.250} DOUBLE ENTRY OF INCOME REQUIRED.”

 IF ENTRIES DO NOT MATCH, DISPLAY BOTH ENTRIES. INTERVIEW SHOULD SELECT ENTRY TO CORRECT.



INQ.260 You may not be able to give us an exact figure for your total household income, but can you tell me if this income in {LAST CALENDAR YEAR} was . . .


PROBE: Income is important in analyzing the health information we collect. For example, this information helps us to learn whether persons in one income group use certain types of medical services or have certain conditions more or less often than those in another group.


$20,000 or more, or 1

less than $20,000? 2

REFUSED 7 (END OF SECTION)

DON'T KNOW 9 (END OF SECTION)


HELP SCREEN:

Income: Income is an important factor in the analysis of the health information we collect. Access to medical care depends in part on a person or family's financial resources. This information helps us learn if people in one income group use certain types of medical services more or less than people in other income groups. We may also learn if one income group has certain medical conditions more than other income groups.


Household: The entire group of persons who live in one dwelling unit. It may be several persons living together or one person living alone. It includes the household reference person and any of their relatives, as well as roomers, employees, and other non-related persons.



INQ.270

Of these income groups, can you tell me which letter best represents your total household income in {LAST CALENDAR YEAR}?


HAND CARD {INQ1 AND INQ2}


ENTER LETTER(S) CORRESPONDING TO TOTAL COMBINED HOUSEHOLD INCOME.


|___|___|


A

B

C

D

E

F

G

H

I

J

K

L

M

N

O

P

Q

R

S

T

U

V

W

X

Y

Z

AA

BB

CC

DD

EE

FF

GG

HH

II

JJ

KK

LL

MM

NN

OO

PP

QQ

RR

SS

TT

UU

VV

WW


REFUSED 77

DON'T KNOW 99


CAPI INSTRUCTION:

IF $20,000 OR MORE, DISPLAY HAND CARD INQ1.

IF LESS THAN $20,000, DISPLAY HAND CARD INQ2.


HELP SCREEN:

Income: Income is an important factor in the analysis of the health information we collect. Access to medical care depends in part on a person or family's financial resources. This information helps us learn if people in one income group use certain types of medical services more or less than people in other income groups. We may also learn if one income group has certain medical conditions more than other income groups.


Household: The entire group of persons who live in one dwelling unit. It may be several persons living together or one person living alone. It includes the household reference person and any of their relatives, as well as roomers, employees, and other non-related persons.


END OF SECTION




FOOD SECURITY


CAPI DISPLAY INSTRUCTIONS FOR ALL QUESTIONS IN SECTION:

1. IF ONLY ONE PERSON IN HOUSEHOLD

- FOR {YOU/YOUR HOUSEHOLD}, DISPLAY “YOU”

- FOR {I/WE}, {MY/OUR}, DISPLAY “I” AND “MY”

- FOR {YOU/YOU OR OTHER ADULTS IN YOUR HOUSEHOLD}, DISPLAY “YOU”.

2. IF MORE THAN ONE PERSON IN HOUSEHOLD

- FOR {YOU/YOUR HOUSEHOLD}, DISPLAY “YOUR HOUSEHOLD”

- FOR {I/WE}, {MY/OUR}, DISPLAY “WE” AND “OUR”

- FOR {YOU/YOU OR OTHER ADULTS IN YOUR HOUSEHOLD}, DISPLAY “YOU OR OTHER ADULTS IN YOUR HOUSEHOLD”.



FSQ.032 I am going to read you several statements that people have made about their food situation. For these statements, please tell me whether the statement was often true, sometimes true, or never true for {you/your household} in the last 12 months, that is since {DISPLAY CURRENT MONTH AND LAST YEAR}.


RESPONSES TO FSQ032A, B, AND C: OFTEN TRUE = 1, SOMETIMES TRUE = 2, NEVER TRUE = 3, REFUSED = 7, DON’T KNOW = 9


a. {I/We} worried whether {my/our} food would run out before {I/we} got money

to buy more. ____


b. The food that {I/we} bought just didn’t last, and {I/we} didn’t have enough

money to get more food. ____


c. {I/We} couldn’t afford to eat balanced meals. ____


HELP SCREEN:

Household: The entire group of persons who live in one dwelling unit. It may be several persons living together or one person living alone. It includes the household reference person and any of their relatives, as well as roomers, employees, and other non-related persons.



BOX 1


IF RESPONSE TO FSQ032 a, b, OR c, IS CODE 1 OR 2 (OFTEN TRUE OR SOMETIMES TRUE), CONTINUE.

OTHERWISE, GO TO BOX 3.




FSQ.041 In the last 12 months, since last { DISPLAY CURRENT MONTH AND LAST YEAR }, did {you/you or other adults in your household} ever cut the size of your meals or skip meals because there wasn’t enough money for food?


YES 1

NO 2 (FSQ.061)

REFUSED 7 (FSQ.061)

DON’T KNOW 9 (FSQ.061)


HELP SCREEN:

Household: The entire group of persons who live in one dwelling unit. It may be several persons living together or one person living alone. It includes the household reference person and any of their relatives, as well as roomers, employees, and other non-related persons.



FSQ.052 How often did this happen?


Almost every month, 1

some months but not every month, or 2

in only 1 or 2 months? 3

REFUSED 7

DON’T KNOW 9



FSQ.061 In the last 12 months, did you ever eat less than you felt you should because there wasn’t enough money for food?


YES 1

NO 2

REFUSED 7

DON’T KNOW 9



FSQ.071 [In the last 12 months], were you ever hungry but didn’t eat because there wasn’t enough money for food?


YES 1

NO 2

REFUSED 7

DON’T KNOW 9



FSQ.081 [In the last 12 months], did you lose weight because there wasn’t enough money for food?


YES 1

NO 2

REFUSED 7

DON’T KNOW 9



BOX 2


CHECK ITEM FSQ.083:

IF RESPONSE TO FSQ.041, 061, 071, OR 081 IS CODE 1 (YES), CONTINUE.

OTHERWISE GO TO BOX 3.




FSQ.092 [In the last 12 months], did {you/you or other adults in your household} ever not eat for a whole day because there wasn’t enough money for food?


YES 1

NO 2 (BOX 3)

REFUSED 7 (BOX 3)

DON’T KNOW 9 (BOX 3)


HELP SCREEN:

Household: The entire group of persons who live in one dwelling unit. It may be several persons living together or one person living alone. It includes the household reference person and any of their relatives, as well as roomers, employees, and other non-related persons.



FSQ.102 How often did this happen?


Almost every month, 1

some months but not every month, or 2

in only 1 or 2 months? 3

REFUSED 7

DON’T KNOW 9



BOX 3


CHECK ITEM FSQ.085A:

IF THERE IS AT LEAST 1 CHILD IN THE HOUSEHOLD WHO IS <= 17 (OR IN THE AGE RANGE THAT INCLUDES OR IS LESS THAN THE ONE THAT INCLUDES 17), CONTINUE.

OTHERWISE, GO TO FSQ.151.




CAPI DISPLAY INSTRUCTIONS FOR ALL QUESTIONS:

IF ONLY ONE CHILD IN THE HOUSEHOLD AGED <=17, DISPLAY CHILD’S NAME.

IF MORE THAN ONE CHILD IN HOUSEHOLD AGED <=17, DISPLAY “THE CHILDREN IN YOUR HOUSEHOLD WHO ARE UNDER 18 YEARS OLD”, “THE CHILDREN”, OR “ANY OF THE CHILDREN”.



FSQ032 The next questions are about children living in the household who are under 18 years old.


I am going to read you several statements that people have made about their children’s food situation. For these statements, please tell me whether the statement was often true, sometimes true, or never true for {CHILD’s NAMEyour child/the children in your household who are under 18 years old} in the last 12 months, that is since {DISPLAY CURRENT MONTH AND LAST YEAR}.


RESPONSES TO FSQ032D, E, AND F: OFTEN TRUE = 1, SOMETIMES TRUE = 2, NEVER TRUE = 3, REFUSED = 7, DON’T KNOW = 9


d. (I/We) relied on only a few kinds of low-cost foods to feed {CHILD’s

NAME/the children} because there wasn’t enough money for food. ____


e. (I/We) couldn’t feed {(CHILD’s NAME/the children} a balanced meal,

because there wasn’t enough money for food. ____


f. {CHILD’s NAME was/The children were} not eating enough because

there wasn’t enough money for food. ____


HELP SCREEN:

Household: The entire group of persons who live in one dwelling unit. It may be several persons living together or one person living alone. It includes the household reference person and any of their relatives, as well as roomers, employees, and other non-related persons.



NEW BOX 4


CHECK ITEM FSQ.108:

IF RESPONSE TO FSQ.032d, e, or f, IS CODE 1 OR 2 (OFTEN TRUE OR SOMETIMES TRUE), CONTINUE.

OTHERWISE, GO TO FSQ.151.




FSQ.111 In the last 12 months, since {DISPLAY CURRENT MONTH AND LAST YEAR} did you ever cut the size of {CHILD’S NAME/any of the children’s} meals because there wasn’t enough money for food?


YES 1

NO 2

REFUSED 7

DON’T KNOW 9



FSQ.121 [In the last 12 months], did {CHILD’S NAME/any of the children} ever skip meals because there wasn’t enough money for food?


YES 1

NO 2 (FSQ.141)

REFUSED 7 (FSQ.141)

DON’T KNOW 9 (FSQ.141)



FSQ.132 How often did this happen?


Almost every month, 1

some months but not every month, or 2

in only 1 or 2 months? 3

REFUSED 7

DON’T KNOW 9



FSQ.141 In the last 12 months, {was CHILD’S NAME/were any of the children} ever hungry, but there wasn’t enough money for food?


YES 1

NO 2

REFUSED 7

DON’T KNOW 9



FSQ.146 [In the last 12 months], did {CHILD’S NAME/any of the children} ever not eat for a whole day because there wasn’t enough money for food?


YES 1

NO 2

REFUSED 7

DON’T KNOW 9



FSQ.151 [In the last 12 months], did {you/you or any member of your household} ever get emergency food from a church, a food pantry, or a food bank, or eat in a soup kitchen?


YES 1

NO 2

REFUSED 7

DON’T KNOW 9


HELP SCREEN:

Household: The entire group of persons who live in one dwelling unit. It may be several persons living together or one person living alone. It includes the household reference person and any of their relatives, as well as roomers, employees, and other non-related persons.

Community Kitchen: A place you went to eat because you didn’t have money for food. Do not include a place you went to for social reasons, such as, as senior center or a place you went to for shelter because of something like a hurricane or flood.



BOX 5


CHECK ITEM FSQ.155B:

IF THE HOUSEHOLD INCLUDES:

**A CHILD AGED 6 YEARS OR UNDER, OR IN AN AGE RANGE THAT INCLUDES AGE 6 AND UNDER

OR

** A FEMALE BETWEEN AGES 12 AND 59, OR IN AN AGE RANGE THAT INCLUDES ANY AGES BETWEEN 12 AND 59) CONTINUE


OTHERWISE, GO TO FSQ.165.




FSQ.162 [In the last 12 months], did {you/you or any member of your household} receive benefits from the WIC program, that is, the Women, Infants and Children program?


YES 1

NO 2

REFUSED 7

DON’T KNOW 9


HELP SCREEN:

WIC: WIC is short for the Special Supplemental Food Program for Women, Infants, and Children. This program provides food assistance and nutritional screening to low-income pregnant and postpartum women and their infants, as well as to low-income children up to age 5.

Household: The entire group of persons who live in one dwelling unit. It may be several persons living together or one person living alone. It includes the household reference person and any of their relatives, as well as roomers, employees, and other non-related persons.




FSQ.165 The next questions are about SNAP, the Supplemental Nutrition Assistance Program, formerly known as the Food Stamp Program. SNAP benefits are provided on an electronic debit card {or EBT card} {called the DISPLAY STATE NAME FOR EBT CARD}} card in STATE}.


CAPI INSTRUCTIONS:

INSERT “OR EBT CARD” IF INTERVIEWING IN STATE WITH NO SPECIFIC NAME FOR THE EBT CARD.

INSERT STATE NAME FOR EBT CARD AND STATE NAME IF INTERVIEWING IN A STATE THAT HAS A SPECIFIC NAME FOR THE EBT CARD.


Have {you/you or anyone in your household} ever received SNAP or Food Stamp benefits?


YES 1

NO 2 (END OF SECTION)

REFUSED 7 (END OF SECTION)

DON’T KNOW 9 (END OF SECTION)



FSQ.171 In the last 12 months, did {you/you or any member of your household} receive SNAP or Food Stamp benefits?


YES 1

NO 2 (END OF SECTION)

REFUSED 7 (END OF SECTION)

DON’T KNOW 9 (END OF SECTION)



FSQ.225 On what date did {you/your household} last receive SNAP or food stamp benefits?

M/D/Y

|___|___| - |___|___| - |___|___|___|___| (FSQ.235)

MONTH DAY YEAR


HARD EDIT: DATE MUST BE WITHIN PAST 12 MONTHS OF CURRENT MONTH.


INTERVIEWER INSTRUCTION: PROBE FOR ANY MISSING PORTIONS OF DATE.


CAPI INSTRUCTION:

SEPARATE FIELDS FOR MONTH, DAY AND YEAR, ALLOW ENTRY OF RF AND DK IN FIELDS.


REFUSED 7

DON’T KNOW 9


NEW Box: If the date reported in FSQ.225 is greater than or equal to one month ago then ask FSQ.230.







FSQ.230 {Do you/Does any member of your household} currently receive SNAP or Food Stamp benefits?


YES 1

NO 2

REFUSED 7

DON’T KNOW 9



FSQ.235 How much did {you/your household} receive in SNAP or food stamp benefits the last time you got them?


|___|___|___|___|

ENTER DOLLAR AMOUNT


REFUSED 77777

DON’T KNOW 9999











TRACKING AND TRACING (TTQ)



BOX 1


LOOP 1:

ASK TTQ.010 - TTQ.040 FOR 2 CONTACT PERSONS.




TTQ.005 The United States Public Health Service may wish to contact you again to obtain additional health related information. Please give me the names, addresses, and telephone numbers of 2 relatives or friends who would know where you could be reached in case we have trouble reaching you. (Please give me the names of persons not currently living in the household.)

PRESS F6 IF RESPONDENT REFUSES {ALL/SECOND} CONTACT INFORMATION

PRESS F5 IF RESPONDENT DOESN'T KNOW {ANY/SECOND} CONTACT INFORMATION

PRESS ENTER TO ADD {FIRST/SECOND} CONTACT INFORMATION


REFUSED 7 (END OF SECTION)

DON'T KNOW 9 (END OF SECTION)



TTQ.010 REFERRING TO PERSON {1/2}


VERIFY SPELLING.


ENTER FIRST NAME


REFUSED 7

DON'T KNOW 9


PROBE FOR MIDDLE NAME IF NOT REPORTED

ENTER "NMN" FOR NO MIDDLE NAME


ENTER MIDDLE NAME


REFUSED 7

DON'T KNOW 9


ENTER LAST NAME


REFUSED 7

DON'T KNOW 9



TTQ.020 REFERRING TO PERSON {1/2}


What is this person's address? [If there is more than one address, please give us the address used most often.]


ENCOURAGE RESPONDENT TO USE PHONE BOOK OR OTHER DOCUMENTATION IF AVAILABLE.



______________________ ___________________________ _____________________

ENTER STREET NUMBER ENTER STREET NAME ENTER APARTMENT NUMBER


REFUSED 7 REFUSED 7 REFUSED 7

DON'T KNOW 9 DON'T KNOW 9 DON'T KNOW 9



_____________________ |____|____| |___|____|____|____|____|

ENTER TOWN OR ENTER 2 LETTER ENTER POSTAL CODE

CITY NAME STATE ABBREVIATION TO OR ZIPCODE

TO START THE LOOKUP.

SELECT STATE FROM CAPI STATE LIST.

PRESS ENTER TO ACCEPT SELECTION.


REFUSED 7 REFUSED 77 REFUSED 77777

DON'T KNOW 9 DON'T KNOW 99 DON'T KNOW 99999


CAPI INSTRUCTION:

DISPLAY FIPS STATE LIST. INTERVIEWER SHOULD ONLY BE ABLE TO SELECT 1 STATE FROM THE LIST. DON'T KNOW AND REFUSED SHOULD BE VALID OPTIONS. THE STATE LOOKUP IN THE SP AND FAMILY QUESTIONNAIRES SHOULD WORK EXACTLY THE SAME.



TTQ.030 REFERRING TO PERSON {1/2}


What is this person's telephone number, beginning with the area code?


REPEAT AREA CODE

REPEAT PHONE NUMBER

REPEAT EXTENSION



|___|___|___| |___|___|___| - |___|___|___|___| |___|___|____|____|

ENTER AREA CODE ENTER TELEPHONE NUMBER ENTER EXTENSION


NO PHONE 666 (TTQ.040) REFUSED 7777777 REFUSED 7777

REFUSED 777 (TTQ.040) DON'T KNOW 9999999 DON'T KNOW 9999

DON'T KNOW 999 (TTQ.040)



TTQ.040 REFERRING TO PERSON {1/2}


What is the relationship of this contact person to you?


SPOUSE/EX-SPOUSE NOT LIVING IN HH 1

UNMARRIED PARTNER NOT LIVING IN HH 2

CHILD 3

GRANDCHILD 4

PARENT (MOTHER OR FATHER) 5

BROTHER OR SISTER 6

GRANDPARENT 7

OTHER RELATIVE 8

LEGAL GUARDIAN 9

FRIEND 10

CO-WORKER 11

NEIGHBOR 12

OTHER 13

REFUSED 77

DON'T KNOW 99



BOX 2


END LOOP 1:

ASK TTQ.010 - TTQ.040 FOR SECOND CONTACT PERSON.

IF SECOND CONTACT PERSON INFORMATION COLLECTED, GO TO TTQ.050.




TTQ.050 This is the end of the Family Interview. Thank you very much for your cooperation.





















MEC QUESTIONNAIRE - CAPI


RESPONDENT SELECTION SECTION


RIQ.005 INTERVIEWER: MARK MAIN RESPONDENT. SPECIFY RELATIONSHIP OF RESPONDENT TO SP IF OTHER THAN SP.


SP 1 (RIQ.090)

MOTHER 2

FATHER 3

SPOUSE 4

SISTER OR BROTHER 5

CHILD 6

GRANDPARENT 7

LEGAL GUARDIAN 8

OTHER (SPECIFY) 9



RIQ.030 WHY IS INTERVIEW BEING CONDUCTED WITH A PROXY?


SP HAS COGNITIVE PROBLEMS 1

SP HAS PHYSICAL PROBLEMS

(SPECIFY) 2

OTHER (SPECIFY) 3



RIQ.038 INTERVIEWER: WAS SP PRESENT IN THE ROOM DURING ANY PART OF THE INTERVIEW?


YES 1

NO 2



RIQ.090 INTERPRETER USED FOR THIS INTERVIEW?


YES 1

NO 2 (END OF SECTION)



RIQ.100 CODE TYPE OF INTERPRETER.


RELATIVE 1

NEIGHBOR OR FRIEND 2

PAID INTERPRETER 3



RIQ.140 LANGUAGE OF INTERVIEW.


CHINESE 1

FRENCH 2

GERMAN 3

ITALIAN 4

JAPANESE 5

RUSSIAN 6

VIETNAMESE 8

SPANISH 9

OTHER (SPECIFY) 10



BOX 1


CHECK ITEM RIQ.149:

  • IF SP 8-11 YEARS AND INTERVIEW DONE WITH SURVEY PARTICIPANT (CODED ‘1’ IN RIQ.005), DISPLAY THE FOLLOWING INTRODUCTORY TEXT: “During this interview, I will be asking you questions about your health and weight. Your answers will be kept private. Do you have any questions before we begin?”

  • IF SP 12 YEARS OR OLDER AND INTERVIEW DONE WITH SURVEY PARTICIPANT (CODED ‘1’ IN RIQ.005), DISPLAY THE FOLLOWING INTRODUCTORY TEXT: “During this interview, I will be asking you questions about your home, diet ,current health status and other health behaviors. Remember, all of your responses to these questions will be kept strictly confidential. Do you have any questions before we begin?”

  • OTHERWISE, DISPLAY THE FOLLOWING INTRODUCTORY TEXT: ”During this interview, I will be asking you questions about {SP}'s current health status, and on other health behaviors.”










Volatile Toxicant



The VOC section is applicable for only those SPs that are subsampled into VOC. To determine if a particular SP is subsampled into VOC, check the mec_sp_subsample. If the SP in question has a record for subsample 1, they are subsampled for VOC and so should get the VOC section



VTQ.210_ First, I would like to ask you a few questions about {your/SP's} home.


VTQ.210 Does {your/her/his} home have an attached garage?


YES 1

NO 2

REFUSED 7

DON'T KNOW 9



VTQ.220 Is the source of water for {your/her/his} home from a private well?


YES 1

NO 2

REFUSED 7

DON'T KNOW 9



VTQ.200a {Do you/Does she/Does he} store paints or fuels inside {your/her/his} home? Include {your/her/his} basement {and attached garage}.


CAPI INSTRUCTION:

IF SP HAS AN ATTACHED GARAGE (CODED ‘1’ IN VTQ.210), DISPLAY {and attached garage}.


YES 1

NO 2

REFUSED 7

DON'T KNOW 9



VTQ.230a {Do you/Does she/Does he} use toilet bowl deodorizers inside {your/her/his} home?


HELP SCREEN SHOULD READ: Some toilet bowl deodorizers clip onto the toilet rim, others, such as deodorant blocks and gels, are placed inside the tank or hang inside the wall of the tank. Brand names include Bully, 2000 Flushes, Vanish, X-14, Ty-D-Bol, Toilet Duck, Clorox, Lime-A-Way, and Sno Bol.


YES 1

NO 2

REFUSED 7

DON'T KNOW 9



VTQ.230b {Do you/Does she/Does he} use moth balls or crystals inside {your/her/his} home?


YES 1

NO 2

REFUSED 7

DON'T KNOW 9



VTQ.240_ Now I am going to ask you a few questions about {your/SP’s} activities over the last three days. This means today, yesterday, or the day before yesterday.


VTQ.240a In the last three days, did {you/she/he} pump gas into a car or other motor vehicle {yourself/herself/himself}?


YES 1

NO 2 (VTQ.250a)

REFUSED 7 (VTQ.250a)

DON'T KNOW 9 (VTQ.250a)



VTQ.240b How long ago, in hours, did {you/she/he} pump gas into a car?


HARD EDIT: Range - 1 – 72


|___|___|

HOURS


REFUSED 777

DON'T KNOW 999



VTQ.250a In the last three days, did {you/she/he} spend any time at a swimming pool, in a hot tub, or in a steam room?


YES 1

NO 2 (VTQ.260a)

REFUSED 7 (VTQ.260a)

DON'T KNOW 9 (VTQ.260a)



VTQ.250b How long ago, in hours, has it been since {you/she/he} spent time in a swimming pool, in a hot tub, or in a steam room?


HARD EDIT: Range - 1 – 72


|___|___|

HOURS


REFUSED 777

DON'T KNOW 999



VTQ.260a In the last three days, did {you/she/he} visit a dry cleaning shop or wear clothes that had been dry-cleaned within the last week?


YES 1

NO 2

REFUSED 7

DON'T KNOW 9



VTQ.260b In the last three days, did {you/she/he} spend 10 or more minutes near a person who was smoking a cigarette, cigar, or pipe?


YES 1

NO 2

REFUSED 7

DON'T KNOW 9



VTQ.270a In the last three days, did {you/she/he} take a hot shower or bath for five minutes or longer?


YES 1

NO 2 (VTQ.280a)

REFUSED 7 (VTQ.280a)

DON'T KNOW 9 (VTQ.280a)



VTQ.270b How long ago, in hours, has it been since {your/SP’s} last shower or hot bath?


HARD EDIT: Range - 1 – 72


|___|___|

HOURS


REFUSED 777

DON'T KNOW 999



VTQ.280a In the last three days, did {you/she/he} breathe fumes from any of the following:


Paints?


YES 1

NO 2

REFUSED 7

DON'T KNOW 9



VTQ.280b [In the last three days, did {you/she/he} breathe fumes from any of the following:]


Degreasing cleaners?


YES 1

NO 2

REFUSED 7

DON'T KNOW 9



VTQ.280c [In the last three days, did {you/she/he} breathe fumes from any of the following:]


Diesel fuel or kerosene?


YES 1

NO 2

REFUSED 7

DON'T KNOW 9



VTQ.280d [In the last three days, did {you/she/he} breathe fumes from any of the following:]


Paint thinner, brush cleaner, or furniture stripper?


YES 1

NO 2

REFUSED 7

DON'T KNOW 9



VTQ.280e [In the last three days, did {you/she/he} breathe fumes from any of the following:]


Drycleaning fluid or spot remover?


YES 1

NO 2

REFUSED 7

DON'T KNOW 9



VTQ.280f [In the last three days, did {you/she/he} breathe fumes from any of the following:]


Fingernail polish or fingernail polish remover?


YES 1

NO 2

REFUSED 7

DON'T KNOW 9



VTQ.280g [In the last three days, did {you/she/he} breathe fumes from any of the following:]


Glues or adhesives used for hobbies or crafts?


YES 1

NO 2

REFUSED 7

DON'T KNOW 9
































PESTICIDE USE


PUQ.100 In the past 7 days, were any chemical products used in {your/his/her} home to control fleas, roaches, ants, termites, or other insects?


CAPI INSTRUCTION:

IF SP 8-17 YEARS, DISPLAY THE FOLLOWING INTERVIEWER INSTRUCTION: "THIS ITEM IS COLLECTED VIA PROXY FOR SPS 8-17. LOOK UP THE PROXY RESPONSE IN THE PUQ REPORT AND ENTER IT IN PUQ.100"


YES 1

NO 2

REFUSED 7

DON'T KNOW 9



PUQ.110 In the past 7 days, were any chemical products used in {your/his/her} lawn or garden to kill weeds?


CODE ‘NO’ IF THE RESPONDENT SAYS S/HE DOES NOT HAVE A LAWN OR GARDEN.


CAPI INSTRUCTION:

IF SP 8-17 YEARS, DISPLAY THE FOLLOWING INTERVIEWER INSTRUCTION: "THIS ITEM IS COLLECTED VIA PROXY FOR SPS 8-17. LOOK UP THE PROXY RESPONSE IN THE PUQ REPORT AND ENTER IT IN PUQ.110."


YES 1

NO 2

REFUSED 7

DON'T KNOW 9





CURRENT HEALTH STATUS




HUQ.010 Next, I have some general questions about {your/SP's} health.


Would you say {your/SP's} health in general is . . .


excellent, 1

very good, 2

good, 3

fair, or 4

poor? 5

REFUSED 7

DON'T KNOW 9





HSQ.470 The next questions are about {your/SP's} recent health during the 30 days outlined on the calendar.


Thinking about {your/SP's} physical health, which includes physical illness and injury, for how many days during the past 30 days was {your/his/her} physical health not good?


HAND CARD HSQ1


CAPI INSTRUCTION:

HARD EDIT VALUES: 0-30.


|___|___|

ENTER # OF DAYS


REFUSED 77

DON'T KNOW 99



HSQ.480 Now thinking about {your/SP's} mental health, which includes stress, depression, and problems with emotions, for how many days during the past 30 days was {your/his/her} mental health not good?


CAPI INSTRUCTION:

HARD EDIT VALUES: 0-30.


|___|___|

ENTER # OF DAYS


REFUSED 77

DON'T KNOW 99



HSQ.490 During the past 30 days, for about how many days did poor physical or mental health keep {you/SP} from doing {your/his/her} usual activities, such as self-care, work, school or recreation?


CAPI INSTRUCTION:

HARD EDIT VALUES: 0-30.


|___|___|

ENTER # OF DAYS


REFUSED 77

DON'T KNOW 99



HSQ.493 During the past 30 days, for about how many days did pain make it hard for {you/SP} to do {your/his/her} usual activities, such as self-care, work, or recreation?


CAPI INSTRUCTION:

HARD EDIT VALUES: 0-30.


|___|___|

ENTER # OF DAYS


REFUSED 77

DON'T KNOW 99



HSQ.496 During the past 30 days, for about how many days {have you/has SP} felt worried, tense, or anxious?


CAPI INSTRUCTION:

HARD EDIT VALUES: 0-30.


|___|___|

ENTER # OF DAYS


REFUSED 77

DON'T KNOW 99



HSQ.500 Did {you/SP} have a head cold or chest cold that started during those 30 days?


YES 1

NO 2

REFUSED 7

DON'T KNOW 9



HSQ.510 Did {you/SP} have a stomach or intestinal illness with vomiting or diarrhea that started during those 30 days?


YES 1

NO 2

REFUSED 7

DON'T KNOW 9



HSQ.520 Did {you/SP} have flu, pneumonia, or ear infections that started during those 30 days?


YES 1

NO 2

REFUSED 7

DON'T KNOW 9



BOX 1


CHECK ITEM HSQ.560:

IF SP 16 YEARS OR OLDER, CONTINUE WITH HSQ.571.

OTHERWISE, GO TO END OF SECTION.




HSQ.571 During the past 12 months, that is, since {DISPLAY CURRENT MONTH, DISPLAY LAST YEAR}, {have you/has SP} donated blood?


YES 1

NO 2 (HSQ.590)

REFUSED 7 (HSQ.590)

DON'T KNOW 9 (HSQ.590)



HSQ.580 How long ago was {your/SP's} last blood donation?


IF LESS THAN ONE MONTH, ENTER '1'.


CAPI INSTRUCTION:

HARD EDIT VALUES: 1-12.


|___|___|

ENTER # OF MONTHS


REFUSED 77

DON'T KNOW 99



HSQ.590 Except for tests {you/SP} may have had as part of blood donations, {have you/has he/has she} ever had {your/his/her} blood tested for the AIDS virus infection?


YES 1

NO 2

REFUSED 7

DON'T KNOW 9






































DEPRESSION SCREEN



BOX 1


CHECK ITEM DPQ.001:

  • IF INTERVIEW DONE ONLY WITH SURVEY PARTICIPANT (CODED ‘1’ IN RIQ.005), CONTINUE.

  • OTHERWISE, GO TO NEXT SECTION.



DPQ.010 Over the last 2 weeks, how often have you been bothered by the following problems:


little interest or pleasure in doing things? Would you say . . .


HANDCARD DPQ1


Not at all, 0

several days, 1

more than half the days, or 2

nearly every day? 3

REFUSED 7

DON’T KNOW 9



DPQ.020 [Over the last 2 weeks, how often have you been bothered by the following problems:]


feeling down, depressed, or hopeless?


HANDCARD DPQ1


NOT AT ALL 0

SEVERAL DAYS 1

MORE THAN HALF THE DAYS 2

NEARLY EVERY DAY 3

REFUSED 7

DON’T KNOW 9



DPQ.030 [Over the last 2 weeks, how often have you been bothered by the following problems:]


trouble falling or staying asleep, or sleeping too much?


HANDCARD DPQ1


NOT AT ALL 0

SEVERAL DAYS 1

MORE THAN HALF THE DAYS 2

NEARLY EVERY DAY 3

REFUSED 7

DON’T KNOW 9



DPQ.040 [Over the last 2 weeks, how often have you been bothered by the following problems:]


feeling tired or having little energy?


HANDCARD DPQ1


NOT AT ALL 0

SEVERAL DAYS 1

MORE THAN HALF THE DAYS 2

NEARLY EVERY DAY 3

REFUSED 7

DON’T KNOW 9



DPQ.050 [Over the last 2 weeks, how often have you been bothered by the following problems:]


poor appetite or overeating?


HANDCARD DPQ1


NOT AT ALL 0

SEVERAL DAYS 1

MORE THAN HALF THE DAYS 2

NEARLY EVERY DAY 3

REFUSED 7

DON’T KNOW 9



DPQ.060 [Over the last 2 weeks, how often have you been bothered by the following problems:]


feeling bad about yourself – or that you are a failure or have let yourself or your family down?


HANDCARD DPQ1


NOT AT ALL 0

SEVERAL DAYS 1

MORE THAN HALF THE DAYS 2

NEARLY EVERY DAY 3

REFUSED 7

DON’T KNOW 9



DPQ.070 [Over the last 2 weeks, how often have you been bothered by the following problems:]


trouble concentrating on things, such as reading the newspaper or watching TV?


HANDCARD DPQ1


NOT AT ALL 0

SEVERAL DAYS 1

MORE THAN HALF THE DAYS 2

NEARLY EVERY DAY 3

REFUSED 7

DON’T KNOW 9



DPQ.080 [Over the last 2 weeks, how often have you been bothered by the following problems:]


moving or speaking so slowly that other people could have noticed? Or the opposite – being so fidgety or restless that you have been moving around a lot more than usual?


HANDCARD DPQ1


NOT AT ALL 0

SEVERAL DAYS 1

MORE THAN HALF THE DAYS 2

NEARLY EVERY DAY 3

REFUSED 7

DON’T KNOW 9



DPQ.090 Over the last 2 weeks, how often have you been bothered by the following problem:


Thoughts that you would be better off dead or of hurting yourself in some way?


HANDCARD DPQ1


NOT AT ALL 0

SEVERAL DAYS 1

MORE THAN HALF THE DAYS 2

NEARLY EVERY DAY 3

REFUSED 7

DON’T KNOW 9



BOX 2


CHECK ITEM DPQ.095:

  • IF RESPONSE TO ANY OF QUESTIONS DPQ.010 – DPQ.090 = 1, 2, OR 3, GO TO DPQ.100.

  • OTHERWISE, GO TO NEXT SECTION.



DPQ.100 How difficult have these problems made it for you to do your work, take care of things at home, or get along with people?


Not at all difficult, 0

Somewhat difficult, 1

Very difficult, 2

Extremely difficult? 3

REFUSED 7

DON’T KNOW 9











































TOBACCO



SMQ.680 The following questions ask about use of tobacco or nicotine products in the past 5 days.


During the past 5 days, did {you/he/she} use any product containing nicotine including cigarettes, pipes, cigars, chewing tobacco, snuff, nicotine patches, nicotine gum, or any other product containing nicotine?


VERBAL INSTRUCTIONS TO SP:

Please select yes, no.


YES 1

NO 2 (END OF SECTION)

REFUSED 7 (END OF SECTION)

DON’T KNOW 9 (END OF SECTION)



SMQ.690 Which of these products did {you/he/she} use? (CHECK ALL THAT APPLY)


VERBAL INSTRUCTIONS TO SP:

Please select all that you used.


Cigarettes 1

Pipes 2

Cigars 3

Chewing tobacco 4

Snuff 5

Nicotine patches, gum, or other nicotine

product 6

REFUSED 77

DON’T KNOW 99



BOX 2


CHECK ITEM SMQ.700:

IF ‘CIGARETTES’ (CODE 1) IN SMQ.690, GO TO SMQ.710.

IF ‘PIPES’ (CODE 2) IN SMQ.690, GO TO SMQ.740.

IF ‘CIGARS’ (CODE 3) IN SMQ.690, GO TO SMQ.770.

IF ‘CHEW’ (CODE 4) IN SMQ.690, GO TO SMQ.800.

IF 'SNUFF' (CODE 5) IN SMQ.690, GO TO SMQ.817.

IF ‘NICOTINE PRODUCT’ (CODE 6) IN SMQ.690, GO TO SMQ.830.

IF ‘REFUSED’ (CODE 77) OR ‘DON’T KNOW’ (CODE 99) IN SMQ.690, GO TO SMQ.710.



SMQ.710 During the past 5 days (including today), on how many days did {you/he/she} smoke cigarettes?


VERBAL INSTRUCTIONS TO SP:

Please enter a number.


|___|

ENTER NUMBER OF DAYS


REFUSED 7

DON'T KNOW 9



SMQ.720 During the past 5 days, on the days {you/he/she} smoked, how many cigarettes did {you/he/she} smoke each day?


IF R SAYS 95 OR MORE CIGARETTES PER DAY, ENTER 95.


VERBAL INSTRUCTIONS TO SP:

Please enter a number.


|___|___|___|

ENTER NUMBER OF CIGARETTES


REFUSED 777

DON'T KNOW 999



SMQ.725 When did {you/he/she} smoke {your/his/her} last cigarette? Was it . . .


today, 1

yesterday, or 2

3 to 5 days ago? 3

REFUSED 7

DON'T KNOW 9



BOX 3


CHECK ITEM SMQ.730:

IF ‘PIPES’ (CODE 2) IN SMQ.690, GO TO SMQ.740.

IF ‘CIGARS’ (CODE 3) IN SMQ.690, GO TO SMQ.770.

IF ‘CHEW’ (CODE 4) IN SMQ.690, GO TO SMQ.800.

IF 'SNUFF' (CODE 5) IN SMQ.690, GO TO SMQ.817.

IF ‘NICOTINE PRODUCT’ (CODE 6) IN SMQ.690, GO TO SMQ.830.

IF ‘REFUSED’ (CODE 77) OR ‘DON’T KNOW’ (CODE 99) IN SMQ.690, GO TO SMQ.740.



SMQ.740 During the past 5 days (including today), on how many days did {you/he/she} smoke a pipe?


VERBAL INSTRUCTIONS TO SP:

Please enter a number.


|___|

ENTER NUMBER OF DAYS


REFUSED 7

DON'T KNOW 9



SMQ.750 During the past 5 days, on the days {you/he/she} smoked a pipe, how many pipes did {you/he/she} smoke each day?


IF R SAYS LESS THAN 1 PIPE PER DAY, ENTER 1.


VERBAL INSTRUCTIONS TO SP:

Please enter a number.


|___|___|

ENTER NUMBER OF PIPES


REFUSED 77

DON'T KNOW 99



SMQ.755 When did {you/he/she} smoke {your/his/her} last pipe? Was it . . .


today, 1

yesterday, or 2

3 to 5 days ago? 3

REFUSED 7

DON'T KNOW 9



BOX 4


CHECK ITEM SMQ.760:

IF ‘CIGARS’ (CODE 3) IN SMQ.690, GO TO SMQ.770.

IF ‘CHEW’ (CODE 4) IN SMQ.690, GO TO SMQ.800.

IF 'SNUFF' (CODE 5) IN SMQ.690, GO TO SMQ.817.

IF ‘NICOTINE PRODUCT’ (CODE 6) IN SMQ.690, GO TO SMQ.830.

IF ‘REFUSED’ (CODE 77) OR ‘DON’T KNOW’ (CODE 99) IN SMQ.690, GO TO SMQ.770.



SMQ.770 During the past 5 days (including today), on how many days did {you/he/she} smoke cigars?


VERBAL INSTRUCTIONS TO SP:

Please enter a number.


|___|

ENTER NUMBER OF DAYS


REFUSED 7

DON'T KNOW 9



SMQ.780 During the past 5 days, on the days {you/he/she} smoked cigars, how many cigars did {you/he/she} smoke each day?


IF R SAYS LESS THAN 1 CIGAR PER DAY, ENTER 1.


VERBAL INSTRUCTIONS TO SP:

Please enter a number.


|___|___|

ENTER NUMBER OF CIGARS


REFUSED 77

DON'T KNOW 99



SMQ.785 When did {you/he/she} smoke {your/his/her} last cigar? Was it . . .


today, 1

yesterday, or 2

3 to 5 days ago? 3

REFUSED 7

DON'T KNOW 9



BOX 5


CHECK ITEM SMQ.790:

IF ‘CHEW’ (CODE 4) IN SMQ.690, GO TO SMQ.800.

IF 'SNUFF' (CODE 5) IN SMQ.690, GO TO SMQ.817.

IF ‘NICOTINE PRODUCT’ (CODE 6) IN SMQ.690, GO TO SMQ.830.

IF ‘REFUSED’ (CODE 77) OR ‘DON’T KNOW’ (CODE 99) IN SMQ.690, GO TO SMQ.800.



SMQ.800 During the past 5 days (including today), on how many days did {you/he/she} use chewing tobacco, such as Redman, Levi Garrett or Beechnut?


VERBAL INSTRUCTIONS TO SP:

Please enter a number.


|___|

ENTER NUMBER OF DAYS


REFUSED 7

DON'T KNOW 9



SMQ.815 When did {you/he/she} last use chewing tobacco? Was it . . .


today, 1

yesterday, or 2

3 to 5 days ago? 3

REFUSED 7

DON'T KNOW 9



BOX 5A


CHECK ITEM SMQ.816:

IF ‘SNUFF’ (CODE 5) IN SMQ.690, GO TO SMQ.817.

IF ‘NICOTINE PRODUCT’ (CODE 6) IN SMQ.690, GO TO SMQ.830.

IF ‘REFUSED’ (CODE 77) OR ‘DON’T KNOW’ (CODE 99) IN SMQ.690, GO TO SMQ.817.



SMQ.817 During the past 5 days (including today), on how many days did {you/he/she} use snuff, such as Skoal, Skoal Bandits, or Copenhagen?


VERBAL INSTRUCTIONS TO SP:

Please enter a number.


|___|

ENTER NUMBER OF DAYS


REFUSED 7

DON'T KNOW 9



SMQ.819 When did {you/he/she} last use snuff? Was it . . .


today, 1

yesterday, or 2

3 to 5 days ago? 3

REFUSED 7

DON'T KNOW 9



BOX 6


CHECK ITEM SMQ.820:

IF ‘NICOTINE PRODUCT’ (CODE 6) IN SMQ.690, GO TO SMQ.830.

IF ‘REFUSED’ (CODE 77) OR ‘DON’T KNOW’ (CODE 99) IN SMQ.690, GO TO SMQ.830.

OTHERWISE, GO TO END OF SECTION.



SMQ.830 During the past 5 days (including today), on how many days did {you/he/she} use any product containing nicotine to help {you/him/her} stop smoking? Include nicotine patches, gum, or any other product containing nicotine.


VERBAL INSTRUCTIONS TO SP:

Please enter a number.


|___|

ENTER NUMBER OF DAYS


REFUSED 7

DON'T KNOW 9



SMQ.840 When did {you/he/she} last use a product containing nicotine? Was it . .


today, 1

yesterday, or 2

3 to 5 days ago? 3

REFUSED 7

DON'T KNOW 9


A

NHANES 2005

LCOHOL USE



Questionnaire 2011-2012

ALCOHOL USE – ALQ

Target Group: SPs 18+ (CAPI)



ALQ.101 The next questions are about drinking alcoholic beverages. Included are liquor (such as whiskey or gin), beer, wine, wine coolers, and any other type of alcoholic beverage.


In any one year, {have you/has SP} had at least 12 drinks of any type of alcoholic beverage? By a drink, I mean a 12 oz. beer, a 5 oz. glass of wine, or one and a half ounces of liquor.


YES 1 (ALQ.120)

NO 2

REFUSED 7

DON'T KNOW 9



ALQ.110 In {your/SP’s} entire life, {have you/has he/has she} had at least 12 drinks of any type of alcoholic beverage?


YES 1

NO 2 (END OF SECTION)

REFUSED 7 (END OF SECTION)

DON'T KNOW 9 (END OF SECTION)



ALQ.120
Q/U

In the past 12 months, how often did {you/SP} drink any type of alcoholic beverage?

PROBE: How many days per week, per month, or per year did {you/SP} drink?


ENTER '0' FOR NEVER.


|___|___|___|

ENTER QUANTITY


REFUSED 777

DON'T KNOW 999


ENTER UNIT


WEEK 1

MONTH 2

YEAR 3

REFUSED 7

DON'T KNOW 9



BOX 1


CHECK ITEM ALQ.125:

IF SP DIDN'T DRINK (CODED '0') IN ALQ.120, GO TO ALQ.150.

OTHERWISE, CONTINUE WITH ALQ.130.




ALQ.130 In the past 12 months, on those days that {you/SP} drank alcoholic beverages, on the average, how many drinks did {you/he/she} have? (By a drink, I mean a 12 oz. beer, a 5 oz. glass of wine, or one and a half ounces of liquor.)


IF LESS THAN 1 DRINK, ENTER '1'.

IF 95 DRINKS OR MORE, ENTER '95'.


HARD EDIT: If ALQ.101 = 2 or 9, ALQ.130 must be less than 12.

Error Message: “Number of drinks per day cannot be greater than number of drinks in any one year.”


|___|___|___|

ENTER # OF DRINKS


REFUSED 777

DON'T KNOW 999



ALQ.140
Q/U

In the past 12 months, on how many days did {you/SP} have { DISPLAY NUMBER} or more drinks of any alcoholic beverage?

PROBE: How many days per week, per month, or per year did {you/SP} have 5 or more drinks in a single day?


ENTER '0' FOR NONE.


HARD EDIT: If ALQ.101 = 2 or 9, ALQ.140 must be less than 3 times per year.

Error Message: “Number of drinks must be less than 3 if SP never had more than 12 drinks per year.”


|___|___|___|

ENTER QUANTITY


REFUSED 777

DON'T KNOW 999


ENTER UNIT


WEEK 1

MONTH 2

YEAR 3

REFUSED 7

DON'T KNOW 9


CAPI INSTRUCTION:

IF SP=MALE, DISPLAY=5

IF SP=FEMALE, DISPLAY=4


R

NHANES 2007

EPRODUCTIVE HEALTH



RHQ.010 The next series of questions are about {your/SP's} reproductive history. I will begin by asking some questions about {your/SP's} period or menstrual cycle.


How old {were you/was SP} when {you/she} had {your/her} first menstrual period?


CODE "0" IF HAVEN'T STARTED YET.


CAPI INSTRUCTION:

SOFT EDIT VALUES: 8-25 YEARS.

HARD EDIT VALUES: AGE OF 1ST PERIOD CANNOT BE GREATER THAN CURRENT AGE.


|___|___|

ENTER AGE IN YEARS


REFUSED 77

DON'T KNOW 99



BOX 1


CHECK ITEM RHQ.015:

  • IF PERIODS HAVEN'T STARTED (CODED '0'), GO TO END OF SECTION.

  • IF PERIODS HAVE STARTED AND SP REPORTS AGE (CODED '1' - '76') IN RHQ.010, OR IF SP REFUSES AGE (CODED '77') IN RHQ.010, GO TO RHQ.031.

  • OTHERWISE, CONTINUE WITH RHQ.020.




RHQ.020 {Were you/Was SP} . . .

younger than 10, 1

10 to 12, 2

13 to 15, or 3

16 or older? 4

REFUSED 7

DON'T KNOW 9



RHQ.031 {Have you/Has SP} had at least one menstrual period in the past 12 months? (Please do not include bleedings caused by medical conditions, hormone therapy, or surgeries.)


SOFT EDIT: Display edit when age of SP is greater than or equal to 60 and RHQ.031 is coded yes.

Error message:  "It is unlikely that SPs aged 60 years or older will still be menstruating.  Please verify." 


YES 1 (RHQ.131)

NO 2

REFUSED 7 (RHQ.060)

DON'T KNOW 9 (RHQ.060)



RHQ.042 What is the reason that {you have/SP has} not had a period in the past 12 months?


PREGNANCY 1 (RHQ.143)

BREAST FEEDING 2 (RHQ.143)

MENOPAUSE/HYSTERECTOMY 7

MEDICAL CONDITIONS/TREATMENTS 8

OTHER 9

REFUSED 77

DON'T KNOW 99



RHQ.060 About how old {were you/was SP} when {you/she} had {your/her} last menstrual period?


SOFT EDIT: Display edit when RHQ.060 is greater than 59.

Error message: "It is unlikely that an SP will have her last menstrual period after age 59.  Please verify."


|___|___|

ENTER AGE IN YEARS


REFUSED 77

DON'T KNOW 99



BOX 2


CHECK ITEM RHQ.065:

  • IF SP DOESN'T KNOW AGE AT LAST MENSTRUAL PERIOD (CODED '99') IN RHQ.060, CONTINUE WITH RHQ.070.

  • OTHERWISE, GO TO RHQ.131.




RHQ.070 {Were you/Was SP} . . .


younger than 30, 1

30 to 34, 2

35 to 39, 3

40 to 44, 4

45 to 49, 5

50 to 54, or 6

55 or older? 7

REFUSED 77

DON'T KNOW 99



RHQ.131 The next questions are about {your/SP's} pregnancy history.


{Have you/Has SP} ever been pregnant? Please include (current pregnancy,) live births, miscarriages, stillbirths, tubal pregnancies and abortions.


MARK IF KNOWN. OTHERWISE ASK.


YES 1

NO 2 (BOX 12)

REFUSED 7 (BOX 12)

DON'T KNOW 9 (BOX 12)



BOX 6


CHECK ITEM RHQ.135C:

  • IF SP HAD PERIOD IN PAST 12 MONTHS (CODED '1' IN RHQ.031) OR SP HAS NOT EXPERIENCED MENOPAUSE/HYSTERECTOMY (NOT CODED 7 IN RHQ.042), CONTINUE WITH RHQ.143.

  • OTHERWISE, GO TO RHQ.160.




RHQ.143 {Are you/Is SP} pregnant now?


MARK IF KNOWN. OTHERWISE ASK.


YES 1

NO 2 (RHQ.160)

REFUSED 7 (RHQ.160)

DON'T KNOW 9 (RHQ.160)



RHQ.152 Which month of pregnancy {are you/is she} in?


|___|___|

ENTER NUMBER OF MONTHS


REFUSED 77

DON'T KNOW 99



RHQ.160 How many times {have you/has SP} been pregnant? ({Again, be/Be} sure to count all {your/her} pregnancies including (current pregnancy,) live births, miscarriages, stillbirths, tubal pregnancies, or abortions.)


|___|___|

ENTER NUMBER OF PREGNANCIES


REFUSED 77

DON'T KNOW 99



RHQ.162 During {any/your/SP’s} pregnancy, {were you/was SP} ever told by a doctor or other health professional that {you/she} had diabetes, sugar diabetes or gestational diabetes? Please do not include diabetes that {you/SP} may have known about before the pregnancy.


CAPI INSTRUCTION:

IF RHQ.160 = 1, DISPLAY {your/SP’s}. OTHERWISE, DISPLAY {any}.


HELP SCREEN SHOULD READ: Gestational diabetes is a form of diabetes or high blood sugar found in pregnant women.


YES 1

NO 2 (BOX 7)

BORDERLINE 3 (BOX 7)

REFUSED 7 (BOX 7)

DON'T KNOW 9 (BOX 7)



RHQ.163 How old {were you/was SP} when {you were/she was} first told {you/she} had diabetes during a pregnancy?


SOFT EDIT: IF RHQ.143 = 1 AND RHQ.160 = 1, THEN RHQ.163 must be equal to the age of the SP or the age of the SP minus 1.

Error message: “It is unlikely you were first told you had diabetes at that age since this is your first pregnancy. Please verify.”


HARD EDIT: RHQ.163 must be equal to or less than age of SP.

Error message: "Age cannot be greater than age of SP."


SOFT EDIT: RHQ.163 must be equal to or greater than 12.

Error message: "Unlikely age. Please verify."


|___|___|

ENTER AGE IN YEARS


REFUSED 77

DON'T KNOW 99



BOX 7


CHECK ITEM RHQ.165:

  • IF SP ONLY HAD ONE PREGNANCY (CODED '1') IN RHQ.160 AND CURRENTLY PREGNANT (CODED '1') IN RHQ.143, SKIP TO RHQ.395.

  • OTHERWISE CONTINUE WITH RHQ.166.




RHQ.166 How many vaginal deliveries {have you/has SP} had? {Please count stillbirths as well as live births}


COUNT THE NUMBER OF DELIVERIES, NOT THE NUMBER OF LIVE-BORN CHILDREN. FOR EXAMPLE, IF SP DELIVERED TWINS OR HAD ANY OTHER MULTIPLE BIRTH, COUNT AS A SINGLE DELIVERY.


HARD EDIT: RHQ.166 must be equal to or less than RHQ.160.

Error message: "Number of vaginal deliveries cannot be greater than the number of pregnancies."


SOFT EDIT: IF RHQ.143 = 1, THEN RHQ.166 must be equal to or less than RHQ.160 minus 1.

Error message: "Since you are currently pregnant, it is unlikely that the number of vaginal deliveries is equal to or greater than the number of your pregnancies. Please verify."


|___|___|

ENTER NUMBER


REFUSED 77

DON'T KNOW 99



BOX 7A


CHECK ITEM RHQ.168:

  • IF NUMBER OF PREGNANCIES IN RHQ.160 EQUALS THE NUMBER OF VAGINAL DELIVERIES IN RHQ.166, SKIP TO RHQ.172.

  • IF SP CURRENTLY PREGNANT (CODED '1') IN RHQ.143 AND THE NUMBER OF VAGINAL DELIVERIES IN RHQ.166 EQUALS THE NUMBER OF PREGNANCIES IN RHQ.160 MINUS 1, SKIP TO RHQ.172.

  • OTHERWISE, CONTINUE WITH RHQ.169.




RHQ.169 How many cesarean deliveries {have you/has SP} had? (Cesarean deliveries are also known as C-sections.) (Please count stillbirths as well as live births.)


COUNT THE NUMBER OF DELIVERIES, NOT THE NUMBER OF LIVE-BORN CHILDREN. FOR EXAMPLE, IF SP DELIVERED TWINS OR HAD ANY OTHER MULTIPLE BIRTH, COUNT AS A SINGLE DELIVERY.


SOFT EDIT: Sum of RHQ166 and RHQ.169 must be equal to or less than RHQ160.

Error message: "It is unlikely that the number of deliveries (vaginal and cesarean deliveries combined) is greater than the number of pregnancies. Please verify.”


SOFT EDIT: If currently pregnant (coded '1' in RHQ143) then the sum of RHQ166 and RHQ169 should be less than or equal to RHQ160 minus 1.

Error Message: "Since SP is currently pregnant, it is unlikely that the number of vaginal and cesarean deliveries is equal to or greater than the number of pregnancies. Please verify."

HARD EDIT: RHQ.169 must be equal to or less than RHQ.160.

Error message: “Number of cesarean deliveries cannot be greater than the number of pregnancies.”


|___|___|

ENTER NUMBER


REFUSED 77

DON'T KNOW 99



BOX 7B


CHECK ITEM RHQ.170A:

  • IF THE NUMBER OF DELIVERIES IN RHQ.166 AND RHQ.169 EQUALS ZERO, GO TO BOX 12.

  • OTHERWISE, CONTINUE WITH RHQ.172.




RHQ.172 {Did {your/SP's} delivery/Did any of {your/SP's} deliveries} result in a baby that weighed 9 pounds (4082 g) or more at birth? (Please count stillbirths as well as live births.)


CAPI INSTRUCTION:

IF SP HAD ONE DELIVERY (SUM OF RHQ.166 AND RHQ.169 = 1), DISPLAY {YOUR DELIVERY}.

IF SP HAD MORE THAN ONE DELIVERY (SUM OF RHQ.166 AND RHQ.169 > 1), DISPLAY {ANY OF YOUR DELIVERIES}.


YES 1

NO 2 (RHQ.171)

REFUSED 7 (RHQ.171)

DON'T KNOW 9 (RHQ.171)



RHQ.173 How old {were you/was SP} when {you/she} delivered a baby that weighed 9 pounds or more? (Please count stillbirths as well as live births.)


[IF MORE THAN 1 BABY WEIGHED 9 POUNDS OR MORE RECORD AGE FOR FIRST ONE]

HARD EDIT: RHQ.173 must be equal to or less than age of SP.

Error message: "Age cannot be greater than age of SP."


|___|___|

ENTER AGE IN YEARS


REFUSED 77

DON'T KNOW 99



RHQ.171 How many of {your/her} deliveries resulted {Did {your/her} delivery result} in a live birth?


CAPI INSTRUCTION:

IF SP HAD ONE DELIVERY (SUM OF RHQ.166 AND RHQ.169 = 1), REPLACE {How many of {your/her} deliveries resulted} WITH {Did {your/her} delivery result}.


FOR SINGLE DELIVERIES:

Yes = 1

No = 0


COUNT THE NUMBER OF TOTAL DELIVERIES, NOT NUMBER OF LIVE-BORN CHILDREN. FOR EXAMPLE, IF SP HAD TWINS OR OTHER MULTIPLE BIRTH, COUNT AS A SINGLE DELIVERY.


|___|___|

ENTER NUMBER OF DELIVERIES


REFUSED 77

DON'T KNOW 99



BOX 8


CHECK ITEM RHQ.175:

  • IF SP HAD NO DELIVERIES THAT RESULTED IN A LIVE BIRTH (CODED '0') IN RHQ.171, GO TO BOX 12.

  • IF SP HAD ONE DELIVERY THAT RESULTED IN A LIVE BIRTH (CODED '1') IN RHQ.171, GO TO BOX 8A.

  • OTHERWISE, CONTINUE WITH RHQ.180.




RHQ.180 How old {were you/was SP} at the time of {your/her} first live birth?


CAPI INSTRUCTION:

HARD EDIT: RHQ.180 must be equal to or less than age of SP.

Error message: "Age of SP at first delivery cannot be greater than age of SP."


|___|___| (RHQ.190)

ENTER AGE IN YEARS


REFUSED 77 (RHQ.190)

DON'T KNOW 99 (RHQ.190)



BOX 8A


CHECK ITEM RHQ.176:

  • IF SP HAD ONE DELIVERY (SUM OF RHQ.166 AND RHQ.169 = 1) AND SP HAD ONE DELIVERY THAT RESULTED IN A LIVE BIRTH (CODED ‘1’) IN RHQ.171 AND SP DELIVERED ONE BABY THAT WEIGHTED 9 POUNDS OR MORE (CODED ‘1’) IN RHQ.172 AND THE DIFFERENCE BETWEEN RHQ.173 AND CURRENT AGE IS ZERO OR 1, GO TO RHQ.197.

  • IF SP HAD ONE DELIVERY (SUM OF RHQ.166 AND RHQ.169 = 1) AND SP HAD ONE DELIVERY THAT RESULTED IN A LIVE BIRTH (CODED ‘1’) IN RHQ.171 AND SP DELIVERED ONE BABY THAT WEIGHTED 9 POUNDS OR MORE (CODED ‘1’) IN RHQ.172 AND THE DIFFERENCE BETWEEN RHQ.173 AND CURRENT AGE IS GREATER THAN 1, GO TO RHQ.205.

  • OTHERWISE, CONTINUE WITH RHQ.190.




RHQ.190 How old {were you/was SP} at the time of {your/her} {last} live birth?


CAPI INSTRUCTION:

IF SP HAD MORE THAN 1 LIVE BIRTH (CODED >= 2) IN RHQ.171, DISPLAY {LAST}.


HARD EDIT: RHQ190 must be equal to or less than age of SP.

Error message: "Age of SP at last delivery cannot be greater than age of SP."


|___|___|

ENTER AGE IN YEARS


REFUSED 77

DON'T KNOW 99



BOX 9


CHECK ITEM RHQ.195:

  • IF DIFFERENCE BETWEEN AGE AT TIME OF LAST DELIVERY IN RHQ.190 AND CURRENT AGE IS ZERO OR 1, CONTINUE.

  • OTHERWISE, GO TO RHQ.205.




RHQ.197 How many months ago did {you/SP} have {your/her} baby?


|___|___|___|

ENTER NUMBER OF MONTHS


REFUSED 777

DON'T KNOW 999



RHQ.200 {Are you/Is SP} now breast feeding a child?


YES 1

NO 2

REFUSED 7

DON'T KNOW 9



RHQ.205 Did {you/SP} breast feed {{your/her} child/any of {your/her} children} for at least one month?


CAPI INSTRUCTION:

IF SP HAD ONE LIVE BIRTH (CODED '1') IN RHQ.171, DISPLAY {YOUR/HER CHILD}.

IF SP HAD MORE THAN ONE LIVE BIRTH (CODED > 1) IN RHQ.171, DISPLAY {ANY OF YOUR/HER CHILDREN}.


YES 1

NO 2

REFUSED 7

DON'T KNOW 9



BOX 12


CHECK ITEM RHQ.275A:

  • IF SP < 20 YEARS OLD, GO TO RHQ.420.

  • IF SP CURRENTLY PREGNANT (CODED '1') IN RHQ.143, GO TO RHQ.395.

  • IF SP HAD PERIOD IN PAST 12 MONTHS (CODED '1' IN RHQ.031), GO TO RHQ.282.

  • OTHERWISE, CONTINUE WITH RHQ.282.




RHQ.282 {Have you/Has SP} had a hysterectomy, including a partial hysterectomy, that is, surgery to remove {your/her} uterus or womb?


MARK IF KNOWN. OTHERWISE ASK.


YES 1

NO 2 (RHQ.305)

REFUSED 7 (RHQ.305)

DON'T KNOW 9 (RHQ.305)



RHQ.291 How old {were you/was SP} when {you/she} had {your/her} (hysterectomy/uterus removed/womb removed)?


|___|___|___|

ENTER AGE IN YEARS


REFUSED 777

DON'T KNOW 999



RHQ.305 {Have you/Has SP} had both of {your/her} ovaries removed (either when {you/she} had {your/her} uterus removed or at another time)?


YES 1

NO 2 (RHQ.395)

REFUSED 7 (RHQ.395)

DON'T KNOW 9 (RHQ.395)



RHQ.332 How old {were you/was SP} when {you/she} had {your/her} ovaries removed or last ovary removed if removed at different times?


|___|___|___|

ENTER AGE IN YEARS


REFUSED 777

DON'T KNOW 999



RHQ.395 {Do you/Does SP} experience bulging or something falling out that {you/she} can see or feel in the vaginal area?


YES 1

NO 2

REFUSED 7

DON'T KNOW 9



RHQ.420 Now I am going to ask you about {your/SP's} birth control history.


{Have you/Has SP} ever taken birth control pills for any reason?


YES 1

NO 2 (RHQ.510)

REFUSED 7 (RHQ.510)

DON'T KNOW 9 (RHQ.510)



BOX 18


CHECK ITEM RHQ.435B:

  • IF SP < 20 YEARS OLD AND IF SP IS NOT PREGNANT (CODED ‘2’, ‘7’, ‘9’ OR MISSING IN RHQ.143), CONTINUE WITH RHQ.442.

  • IF SP >= 20 YEARS OLD AND IF SP IS NOT PREGNANT (CODED ‘2’, ‘7’, ‘9’ OR MISSING IN RHQ.143) AND IF SP HAS NOT HAD HYSTERECTOMY (CODED ‘2’, ‘7’, ‘9’ OR MISSING IN RHQ.282) AND IF SP HAS NOT HAD BOTH HER OVARIES REMOVED (CODED ‘2’, ‘7’, ‘9’ IN RHQ.305) AND IF SP IS NOT MENOPAUSAL (CODED ‘1’, ‘2’, ‘8’, ‘9’, ‘77’, ‘99’ OR MISSING IN RHQ.042), CONTINUE WITH RHQ.442.

  • OTHERWISE, GO TO RHQ.460.




RHQ.442 {Are you/Is SP} taking birth control pills now?


YES 1

NO 2

REFUSED 7 (RHQ.510)

DON'T KNOW 9 (RHQ.510)



RHQ.460
Q/U

Not counting any time when {you/SP} stopped taking them, for how long altogether {have you taken/did you take/has she taken/did she take} birth control pills?


CODE "1" FOR LESS THAN ONE MONTH.


|___|___|

ENTER NUMBER


REFUSED 77

DON'T KNOW 99


ENTER UNIT


MONTHS 1

YEARS 2

REFUSED 7

DON'T KNOW 9



RHQ.510 {Have you/Has SP} ever used Depo-Provera or injectables to prevent pregnancy?


YES 1

NO 2 (BOX 20)

REFUSED 7 (BOX 20)

DON'T KNOW 9 (BOX 20)



BOX 19


CHECK ITEM RHQ.519:

  • IF SP < 20 YEARS OLD AND IF SP IS NOT PREGNANT (CODED ‘2’, ‘7’, ‘9’ OR MISSING IN RHQ.143), CONTINUE WITH RHQ.520.

  • IF SP >= 20 YEARS OLD AND IF SP IS NOT PREGNANT (CODED ‘2’, ‘7’, ‘9’ OR MISSING IN RHQ.143) AND IF SP HAS NOT HAD HYSTERECTOMY (CODED ‘2’, ‘7’, ‘9’ OR MISSING IN RHQ.282) AND IF SP HAS NOT HAD BOTH HER OVARIES REMOVED (CODED ‘2’, ‘7’, ‘9’ IN RHQ.305) AND IF SP IS NOT MENOPAUSAL (CODED ‘1’, ‘2’, ‘8’, ‘9’, ‘77’, ‘99’ OR MISSING IN RHQ.042), CONTINUE WITH RHQ.520.

  • OTHERWISE, GO TO BOX 20.




RHQ.520 {Are you/Is SP} now using Depo-Provera or injectables to prevent pregnancy?


YES 1

NO 2

REFUSED 7

DON'T KNOW 9



BOX 20


CHECK ITEM RHQ.535:

  • IF SP 20 YEARS OF AGE OR OLDER, CONTINUE WITH RHQ.540.

  • OTHERWISE, SKIP TO BOX 24.




RHQ.540 {Have you/Has SP} ever used female hormones such as estrogen and progesterone? Please include any forms of female hormones, such as pills, cream, patch, and injectables, but do not include birth control methods or use for infertility.


YES 1

NO 2 (BOX 24)

REFUSED 7 (BOX 24)

DON'T KNOW 9 (BOX 24)



RHQ.541 Which forms of female hormones {have you/has SP} used?


CODE ALL THAT APPLY


PILLS 10

PATCHES 11

CREAM/SUPPOSITORY/INJECTION 12

REFUSED 77

DON'T KNOW 99



BOX 21


CHECK ITEM RHQ.552:

IF SP USED FEMALE HORMONE PILLS (CODE '10') IN RHQ.541, CONTINUE WITH RHQ.554.

OTHERWISE, GO TO BOX 22.




RHQ.554 {Have you/Has SP} ever taken female hormone pills containing estrogen only (like Premarin)? (Do not include birth control pills.)


YES 1

NO 2 (RHQ.562)

REFUSED 7 (RHQ.562)

DON'T KNOW 9 (RHQ.562)



RHQ.558 {Are you/Is SP} taking pills containing estrogen only now?


YES 1

NO 2

REFUSED 7

DON'T KNOW 9



RHQ.560
Q/U

Not counting any time when {you/SP} stopped taking them, for how long altogether {have you taken/did you take/has she taken/did she take} pills containing estrogen only?


CODE "1" FOR LESS THAN 1 MONTH


|___|___|

ENTER NUMBER


REFUSED 77

DON'T KNOW 99


ENTER UNIT


MONTHS 1

YEARS 2

REFUSED 7

DON'T KNOW 9



RHQ.562 {Have you/Has SP} taken female hormone pills containing progestin only (like Provera)? (Do not include birth control pills.)


YES 1

NO 2 (RHQ.570)

REFUSED 7 (RHQ.570)

DON'T KNOW 9 (RHQ.570)



RHQ.566 {Are you/Is SP} taking pills containing progestin only now?


YES 1

NO 2

REFUSED 7

DON'T KNOW 9



RHQ.568
Q/U

Not counting any time when {you/SP} stopped taking them, for how long altogether {have you taken/did you take/has she taken/did she take} pills containing progestin only?


CODE "1" FOR LESS THAN 1 MONTH


|___|___|

ENTER NUMBER


REFUSED 77

DON'T KNOW 99


ENTER UNIT


MONTHS 1

YEARS 2

REFUSED 7

DON'T KNOW 9



RHQ.570 {Have you/Has SP} taken female hormone pills containing both estrogen and progestin (like Prempro, Premphase)? (Do not include birth control pills.)


YES 1

NO 2 (BOX 22)

REFUSED 7 (BOX 22)

DON'T KNOW 9 (BOX 22)



RHQ.574 {Are you/Is SP} taking pills containing both estrogen and progestin now?


YES 1

NO 2

REFUSED 7

DON'T KNOW 9



RHQ.576
Q/U

Not counting any time when {you/SP} stopped taking them, for how long altogether {have you taken/did you take/has she taken/did she take} pills containing both estrogen and progestin?


CODE "1" FOR LESS THAN 1 MONTH


|___|___|

ENTER NUMBER


REFUSED 77

DON'T KNOW 99


ENTER UNIT


MONTHS 1

YEARS 2

REFUSED 7

DON'T KNOW 9



BOX 22


CHECK ITEM RHQ.578:

IF SP USED PATCHES (CODE '11') IN RHQ.541, CONTINUE WITH RHQ.580.

OTHERWISE, GO TO BOX 24.




RHQ.580 {Have you/Has SP} ever used female hormone patches containing estrogen only?


YES 1

NO 2 (RHQ.596)

REFUSED 7 (RHQ.596)

DON'T KNOW 9 (RHQ.596)



RHQ.584 {Are you/Is SP} using patches containing estrogen only now?


YES 1

NO 2

REFUSED 7

DON'T KNOW 9



RHQ.586
Q/U

Not counting any time when {you/SP} stopped using them, for how long altogether {have you used/did you use/has she used/did she use} patches containing estrogen only?


CODE "1" FOR LESS THAN 1 MONTH


|___|___|

ENTER NUMBER


REFUSED 77

DON'T KNOW 99


ENTER UNIT


MONTHS 1

YEARS 2

REFUSED 7

DON'T KNOW 9



RHQ.596 {Have you/Has SP} used female hormone patches containing both estrogen and progestin?


YES 1

NO 2 (BOX 24)

REFUSED 7 (BOX 24)

DON'T KNOW 9 (BOX 24)



RHQ.600 {Are you/Is SP} using patches containing both estrogen and progestin now?


YES 1

NO 2

REFUSED 7

DON'T KNOW 9



RHQ.602
Q/U

Not counting any time when {you/SP} stopped using them, for how long altogether {have you used/did you use/has she used/did she use} patches containing both estrogen and progestin?


CODE "1" FOR LESS THAN 1 MONTH


|___|___|

ENTER NUMBER


REFUSED 77

DON'T KNOW 99


ENTER UNIT


MONTHS 1

YEARS 2

REFUSED 7

DON'T KNOW 9



BOX 24


CHECK ITEM RHQ.640A:

  • IF SP CURRENTLY PREGNANT (CODED '1') IN RHQ.143, CONTINUE WITH FSQ.652.

  • IF RHQ.190 IS FILLED AND THE AGE DIFFERENCE BETWEEN SP'S CURRENT AGE AND AGE IN RHQ.190 IS ZERO, 1, OR 2, CONTINUE WITH FSQ.652 ELSE IF RHQ190 IS EMPTY AND RHQ.173 IS FILLED AND THE AGE DIFFERENCE BETWEEN SP'S CURRENT AGE AND AGE IN RHQ.173 IS ZERO, 1, OR 2, CONTINUE WITH FSQ.652

  • OTHERWISE, GO TO END OF SECTION.




FSQ.652 These next questions are about participation in programs for women with young children.


Did {you/SP} personally receive benefits from WIC, that is, the Women, Infants, and Children Program, in the past 12 months?


YES 1

NO 2 (GO TO END OF SECTION)

REFUSED 7 (GO TO END OF SECTION)

DON'T KNOW 9 (GO TO END OF SECTION)



BOX 26


CHECK ITEM RHQ.641:

  • IF CODED ‘1-12’ IN RHQ.197, CONTINUE WITH FSQ.661.

  • IF SP CURRENTLY PREGNANT (CODED '1') IN RHQ.143, CONTINUE WITH FSQ.661.

  • OTHERWISE, GO TO END OF SECTION.




FSQ.661 {Are you/Is SP} now receiving benefits from the WIC Program?


YES 1

NO 2

REFUSED 7

DON'T KNOW 9



FSQ.671
Q/U

Thinking about {your/SP’s} {pregnancy/recent pregnancy/most recent pregnancy/most recent pregnancies}, how long {did you receive/have you been receiving/did she receive/has she been receiving} benefits from the WIC Program?


PROBE: We want to know about benefits meant just for {you/SP} that {you/SP} received for {your/her} {current pregnancy/child/last child/last child and during {your/her} current pregnancy}.


CAPI INSTRUCTION:

IF RHQ.143 = 1 AND RHQ.160 = 1, DISPLAY {PREGNANCY}.


IF RHQ.143 = 1 AND RHQ.160 DOES NOT EQUAL 1 AND RHQ.190 IS FILLED AND THE DIFFERENCE BETWEEN AGE AT TIME OF LAST DELIVERY IN RHQ.190 AND CURRENT AGE IS GREATER THAN 1, DISPLAY {PREGNANCY}.


IF RHQ.143 = 1 AND RHQ.160 DOES NOT EQUAL 1 AND RHQ.190 IS EMPTY AND RHQ.173 IS FILLED AND THE DIFFERENCE BETWEEN RHQ.173 AND CURRENT AGE IS GREATER THAN 1, DISPLAY {PREGNANCY}.


IF RHQ.197 = 1 - 12 AND RHQ.143 DOES NOT EQUAL 1 AND RHQ.160 = 1, DISPLAY {RECENT PREGNANCY}.


IF RHQ.197 = 1 - 12 AND RHQ.143 DOES NOT EQUAL 1 AND RHQ.160 IS GREATER THAN 1, DISPLAY {MOST RECENT PREGNANCY}.


OTHERWISE, DISPLAY {MOST RECENT PREGNANCIES}.


IF SP CURRENTLY RECEIVING WIC BENEFITS (CODED '1') IN FSQ.661, DISPLAY {HAVE YOU BEEN RECEIVING/HAS SHE BEEN RECEIVING}.


OTHERWISE, DISPLAY {DID YOU RECEIVE/DID SHE RECEIVE}.


IF RHQ.143 = 1 AND RHQ.160 = 1, DISPLAY {CURRENT PREGNANCY}.


IF RHQ.143 = 1 AND RHQ.160 DOES NOT EQUAL 1 AND RHQ.190 IS FILLED AND THE DIFFERENCE BETWEEN AGE AT TIME OF LAST DELIVERY IN RHQ.190 AND CURRENT AGE IS GREATER THAN 1, DISPLAY {CURRENT PREGNANCY}.


IF RHQ.143 = 1 AND RHQ.160 DOES NOT EQUAL 1 AND RHQ.190 IS EMPTY AND RHQ.173 IS FILLED AND THE DIFFERENCE BETWEEN RHQ.173 AND CURRENT AGE IS GREATER THAN 1, DISPLAY {CURRENT PREGNANCY}.


IF RHQ.197 = 1 - 12 AND RHQ.143 DOES NOT EQUAL 1 AND RHQ.160 = 1, DISPLAY {CHILD}.


IF RHQ.197 = 1 - 12 AND RHQ.143 DOES NOT EQUAL 1 AND RHQ.160 IS GREATER THAN 1, DISPLAY {LAST CHILD}.


OTHERWISE, DISPLAY {LAST CHILD AND DURING {YOUR/HER} CURRENT PREGNANCY}.


SOFT EDIT: FSQ.671 must be equal to or less than 24 months or 2 years.

Error message: Unlikely response. Please verify.


|___|___|

ENTER QUANTITY


REFUSED 77

DON'T KNOW 99


ENTER UNIT


MONTHS 1

YEARS 2

REFUSED 7

DON'T KNOW 9


KIDNEY CONDITIONS


KIQ.005 Many people have leakage of urine. The next few questions ask about urine leakage.


How often {do you/does SP} have urinary leakage? Would {you/s/he} say . . .


CAPI INSTRUCTION:

HELP SCREEN: Other terms for urinary leakage are not being able to hold your urine until you can reach a toilet, not being able to control your bladder, loss of urine control.


never, 1 (KIQ.042)

less than once a month, 2

a few times a month, 3

a few times a week, or 4

every day and/or night? 5

REFUSED 7 (KIQ.042)

DON’T KNOW 9 (KIQ.042)



KIQ.010 How much urine {do you/does SP} lose each time? Would {you/s/he} say . . .


drops, 1

small splashes, or 2

more? 3

REFUSED 7

DON’T KNOW 9



KIQ.042 During the past 12 months, {have you/has SP} leaked or lost control of even a small amount of urine with an activity like coughing, lifting or exercise?


YES 1

NO 2 (KIQ.044)

REFUSED 7 (KIQ.044)

DON’T KNOW 9 (KIQ.044)



KIQ.430 How frequently does this occur? Would {you/s/he} say this occurs . . .


less than once a month, 1

a few times a month, 2

a few times a week, or 3

every day and/or night? 4

REFUSED 7

DON’T KNOW 9



KIQ.044 During the past 12 months, {have you/has SP} leaked or lost control of even a small amount of urine with an urge or pressure to urinate and {you/s/he} couldn’t get to the toilet fast enough?


YES 1

NO 2 (KIQ.046)

REFUSED 7 (KIQ.046)

DON’T KNOW 9 (KIQ.046)



KIQ.450 How frequently does this occur? Would {you/s/he} say this occurs. . .


less than once a month, 1

a few times a month, 2

a few times a week, or 3

every day and/or night? 4

REFUSED 7

DON’T KNOW 9



KIQ.046 During the past 12 months, {have you/has SP} leaked or lost control of even a small amount of urine without an activity like coughing, lifting, or exercise, or an urge to urinate?


YES 1

NO 2 (BOX 1)

REFUSED 7 (BOX 1)

DON'T KNOW 9 (BOX 1)



KIQ.470 How frequently does this occur? Would {you/s/he} say this occurs . . .


less than once a month, 1

a few times a month, 2

a few times a week, or 3

every day and/or night? 4

REFUSED 7

DON’T KNOW 9



BOX 1


CHECK ITEM KIQ.048A:

  • IF 'YES' (CODED '1') IN KIQ.042 OR KIQ.044 OR KIQ.046, CONTINUE WITH KIQ.050.

  • OTHERWISE, GO TO KIQ.480.



KIQ.050 During the past 12 months, how much did {your/her/his} leakage of urine bother {you/her/him}? Please select one of the following choices:


not at all, 1

only a little, 2

somewhat, 3

very much, or 4

greatly? 5

REFUSED 7

DON'T KNOW 9



KIQ.052 During the past 12 months, how much did {your/his/her} leakage of urine affect {your/his/her} day-to-day activities? (Please select one of the following choices:)


not at all, 1

only a little, 2

somewhat, 3

very much, or 4

greatly? 5

REFUSED 7

DON'T KNOW 9



KIQ.480 During the past 30 days, how many times per night did {you/SP} most typically get up to urinate, from the time {you/s/he} went to bed at night until the time {you/he/she} got up in the morning. Would {you/s/he} say . . .


0, 0

1, 1

2, 2

3, 3

4, 4

5 or more? 5

REFUSED 77

DON'T KNOW 99






physical activity AND PHYSICAL FITNESS


PAQ.605 Next I am going to ask you about the time {you spend/SP spends} doing different types of physical activity in a typical week.

Think first about the time {you spend/SP spends} doing work. Think of work as the things that {you have/SP has} to do such as paid or unpaid work, household chores, and yard work.


Does {your/SP’s} work involve vigorous-intensity activity that causes large increases in breathing or heart rate like carrying or lifting heavy loads, digging or construction work for at least 10 minutes continuously?


YES 1

NO 2 (PAQ.620)

REFUSED 7 (PAQ.620)

DON’T KNOW 9 (PAQ.620)


PAQ.610 In a typical week, on how many days {do you/does SP} do vigorous-intensity activities as part of {your/his/her} work?



PROBE IF NEEDED: Vigorous-intensity activity causes large increases in breathing or heart rate and is done for at least 10 minutes continuously.


HARD EDIT: Less than 1 day or more than 7 days

Error Message: The number of days should be between 1 and 7.


|___|___|

ENTER NUMBER OF DAYS


REFUSED 77 (PAQ.620)

DON’T KNOW 99 (PAQ.620)

PAQ.615 How much time {do you/does SP} spend doing vigorous–intensity activities at work on a typical day?

Q/U

PROBE IF NEEDED: Think about a typical day when you do vigorous-intensity activities during your work.


PROBE IF NEEDED: Vigorous-intensity activity causes large increases in breathing or heart rate and is done for at least 10 minutes continuously.


SOFT EDIT: >4 hours.

Error Message: INTERVIEWER, YOU HAVE RECORDED THAT THE SP SPENDS MORE THAN 4 HOURS DOING VIGOROUS-INTENSITY ACTIVITIES AT WORK ON A TYPICAL DAY. PLEASE CONFIRM WITH SP THAT OVER 4 HOURS IS CORRECT.


HARD EDIT: Less than 10 minutes or 24 hours or more.

Error Message: The time should be 10 minutes or more, but less than 24 hours.


|___|___|___|

ENTER NUMBER (OF MINUTES OR HOURS)


REFUSED 777

DON’T KNOW 999


ENTER UNIT


MINUTES 1

HOURS 2

REFUSED 7

DON’T KNOW 9



PAQ.620 Does {your/SP’s} work involve moderate-intensity activity that causes small increases in breathing or heart rate such as brisk walking or carrying light loads for at least 10 minutes continuously?


YES 1

NO 2 (PAQ.635)

REFUSED 7 (PAQ.635)

DON’T KNOW 9 (PAQ.635)



PAQ.625 In a typical week, on how many days {do you/does SP} do moderate-intensity activities as part of {your/his/her} work?


PROBE IF NEEDED: Moderate-intensity activity causes small increases in breathing or heart rate and is done for at least 10 minutes continuously.


HARD EDIT: Less than 1 day or more than 7 days

Error Message: The number of days should be between 1 and 7.


|___|___|

ENTER NUMBER OF DAYS


REFUSED 77 (PAQ.635)

DON’T KNOW 99 (PAQ.635)



PAQ.630 How much time {do you/does SP} spend doing moderate-intensity activities at work on a typical day?

Q/U

PROBE IF NEEDED: Think about a typical day when you do moderate-intensity activities during your work.


PROBE IF NEEDED: Moderate-intensity activity causes small increases in breathing or heart rate and is done for at least 10 minutes continuously.


SOFT EDIT: >4 hours.

Error Message: INTERVIEWER, YOU HAVE RECORDED THAT THE SP SPENDS MORE THAN 4 HOURS DOING MODERATE-INTENSITY ACTIVITIES AT WORK ON A TYPICAL DAY. PLEASE CONFIRM WITH SP THAT OVER 4 HOURS IS CORRECT.


HARD EDIT: Less than 10 minutes or 24 hours or more.

Error Message: The time should be 10 minutes or more, but less than 24 hours.


|___|___|___|

ENTER NUMBER (OF MINUTES OR HOURS)


REFUSED 777

DON’T KNOW 999


ENTER UNIT


MINUTES 1

HOURS 2

REFUSED 7

DON’T KNOW 9


PAQ.635 The next questions exclude the physical activities at work that you have already mentioned. Now I would like to ask you about the usual way {you travel/SP travels} to and from places. For example to school, for shopping, to work.


{Do you/Does SP} walk or use a bicycle for at least 10 minutes continuously to get to and from places?


YES 1

NO 2 (PAQ.650)

REFUSED 7 (PAQ.650)

DON’T KNOW 9 (PAQ.650)



PAQ.640 In a typical week, on how many days {do you/does SP} walk or bicycle for at least 10 minutes continuously to get to and from places?


HARD EDIT: Less than 1 day or more than 7 days

Error Message: The number of days should be between 1 and 7.


|___|___|

ENTER NUMBER OF DAYS


REFUSED 77 (PAQ.650)

DON’T KNOW 99 (PAQ.650)



PAQ.645 How much time {do you/does SP} spend walking or bicycling for travel on a typical day?

Q/U

PROBE IF NEEDED: Think about a typical day when you walk or bicycle for travel.


SOFT EDIT: >4 hours.

Error Message: INTERVIEWER, YOU HAVE RECORDED THAT THE SP SPENDS MORE THAN 4 HOURS WALKING OR BICYCLING TO GET TO AND FROM PLACES ON A TYPICAL DAY. PLEASE CONFIRM WITH SP THAT OVER 4 HOURS IS CORRECT.


HARD EDIT: Less than 10 minutes or 24 hours or more.

Error Message: The time should be 10 minutes or more, but less than 24 hours.


|___|___|___|

ENTER NUMBER (OF MINUTES OR HOURS)


REFUSED 777

DON’T KNOW 999


ENTER UNIT


MINUTES 1

HOURS 2

REFUSED 7

DON’T KNOW 9



PAQ.650 The next questions exclude the work and transport activities that you have already mentioned. Now I would like to ask you about sports, fitness and recreational activities.


{Do you/Does SP} do any vigorous-intensity sports, fitness, or recreational activities that cause large increases in breathing or heart rate like running or basketball for at least 10 minutes continuously?


YES 1

NO 2 (PAQ.665)

REFUSED 7 (PAQ.665)

DON’T KNOW 9 (PAQ.665)



PAQ.655 In a typical week, on how many days {do you/does SP} do vigorous-intensity sports, fitness or recreational activities?


PROBE IF NEEDED: Vigorous-intensity activity causes large increases in breathing or heart rate and is done for at least 10 minutes continuously.


HARD EDIT: Less than 1 day or more than 7 days

Error Message: The number of days should be between 1 and 7.


|___|___|

ENTER NUMBER OF DAYS


REFUSED 77 (PAQ.665)

DON’T KNOW 99 (PAQ.665)


PAQ.660
Q/U

How much time {do you/does SP} spend doing vigorous-intensity sports, fitness or recreational activities on a typical day?


PROBE IF NEEDED: Think about a typical day when you do vigorous-intensity sports, fitness or recreational activities.


SOFT EDIT: >4 hours.

Error Message: INTERVIEWER, YOU HAVE RECORDED THAT THE SP SPENDS MORE THAN 4 HOURS DOING VIGOROUS-INTENSITY RECREATIONAL ACTIVITIES ON A TYPICAL DAY. PLEASE CONFIRM WITH SP THAT OVER 4 HOURS IS CORRECT.


HARD EDIT: Less than 10 minutes or 24 hours or more.

Error Message: The time should be 10 minutes or more, but less than 24 hours.


|___|___|___|

ENTER NUMBER (OF MINUTES OR HOURS)


REFUSED 777

DON’T KNOW 999


ENTER UNIT


MINUTES 1

HOURS 2

REFUSED 7

DON’T KNOW 9



PAQ.665 {Do you/Does SP} do any moderate-intensity sports, fitness, or recreational activities that cause a small increase in breathing or heart rate such as brisk walking, bicycling, swimming, or volleyball for at least 10 minutes continuously?


YES 1

NO 2 (PAQ.680Q)

REFUSED 7 (PAQ.680Q)

DON’T KNOW 9 (PAQ.680Q)



PAQ.670 In a typical week, on how many days {do you/does SP} do moderate-intensity sports, fitness or recreational activities?


PROBE IF NEEDED: Moderate-intensity sports, fitness or recreational activities cause small increases in breathing or heart rate and is done for at least 10 minutes continuously.


HARD EDIT: Less than 1 day or more than 7 days

Error Message: The number of days should be between 1 and 7.


|___|___|

ENTER NUMBER OF DAYS


REFUSED 77 (PAQ.680Q)

DON’T KNOW 99 (PAQ.680Q)



PAQ.675
Q/U

How much time {do you/does SP} spend doing moderate–intensity sports, fitness or recreational activities on a typical day?


PROBE IF NEEDED: Think about a typical day when you do moderate-intensity sports, fitness or recreational activities.


PROBE IF NEEDED: Moderate-intensity sports, fitness or recreational activities cause small increases in breathing or heart rate and is done for at least 10 minutes continuously.


SOFT EDIT: >4 hours.

Error Message: INTERVIEWER, YOU HAVE RECORDED THAT THE SP SPENDS MORE THAN 4 HOURS DOING MODERATE-INTENSITY RECREATIONAL ACTIVITIES ON A TYPICAL DAY. PLEASE CONFIRM WITH SP THAT OVER 4 HOURS IS CORRECT.


HARD EDIT: Less than 10 minutes or 24 hours or more.

Error Message: The time should be 10 minutes or more, but less than 24 hours.


|___|___|___|

ENTER NUMBER (OF MINUTES OR HOURS)


REFUSED 777

DON’T KNOW 999


ENTER UNIT


MINUTES 1

HOURS 2

REFUSED 7

DON’T KNOW 9

PAQ.680
Q/U

The following question is about sitting at school, at home, getting to and from places, or with friends including time spent sitting at a desk, traveling in a car or bus, reading, playing cards, watching television, or using a computer. Do not include time spent sleeping.


How much time {do you/does SP} usually spend sitting on a typical day?


SOFT EDIT: 18 hours or more.

Error Message: Please verify times of 18 hours or more.


HARD EDIT: 24 hours or more.

Error Message: The time should be less than 24 hours.


|___|___|___|

ENTER NUMBER (OF MINUTES OR HOURS)


REFUSED 777

DON’T KNOW 999


ENTER UNIT


MINUTES 1

HOURS 2

REFUSED 7

DON’T KNOW 9


PAQ.new1 Now I will ask you about TV watching and computer use.


Over the past 30 days, on average how many hours per day did {SP} sit and watch TV or videos? Would you say . . .


less than 1 hour, 0

1 hour, 1

2 hours, 2

3 hours, 3

4 hours, or 4

5 hours or more, or 5

none, {SP} does not watch TV or
videos 8

REFUSED 77

DON'T KNOW 99



PAQ.new2 Over the past 30 days, on average how many hours per day did {SP} use a computer or play computer games outside of work or school (do not include the time you have already mentioned)? Would you say . . .


less than 1 hour, 0

1 hour, 1

2 hours, 2

3 hours, 3

4 hours, or 4

5 hours or more, or 5

{SP} does not use a computer
outside of school 8

REFUSED 77

DON'T KNOW 99


HELP SCREEN: If the SP watches T.V. or video at the same time as working on the computer, count

this time as watching T.V. or video.


WEIGHT HISTORY


BOX 1


CHECK ITEM WHQ.499:

  • IF INTERVIEW DONE ONLY WITH SURVEY PARTICIPANT (CODED ‘1’) IN RIQ.005 AND NO INTERPRETER USED (RIQ.090 CODED ‘2’), CONTINUE WITH WHQ.030c.

  • IF INTERVIEW DONE WITH SURVEY PARTICIPANT (CODED ‘1’) IN RIQ.005 AND INTERPRETER USED (RIQ.090 CODED ‘1’), AND PAID INTERPRETER (CODED ‘3’) IN RIQ.100, CONTINUE WITH WHQ.030c.

  • OTHERWISE, GO TO NEXT SECTION.



WHQ.030c Do you consider yourself now to be . . .


fat or overweight, 1

too thin, or 2

about the right weight? 3

REFUSED 7

DON’T KNOW 9



WHQ.500 Which of the following are you trying to do about your weight:


lose weight, 1

gain weight, 2 (WHQ.520)

stay the same weight, or. 3 (WHQ.520)

not trying to do anything about your weight? 4 (WHQ.520)

REFUSED 7 (WHQ.520)

DON’T KNOW 9 (WHQ.520)


WHQ.511 Why are you trying to lose weight? (Check all that apply)


HAND CARD WHQ1 [CATEGORIES 22, 23, AND 24 APPEAR ON INTERVIEWER’S SCREEN ONLY]


I WANT TO LOOK BETTER 10

I WANT TO BE HEALTHIER 11

I WANT TO BE BETTER AT SPORTS AND

OTHER PHYSICAL ACTIVITIES 12

I GET TEASED ABOUT MY WEIGHT 13

I THINK MY CLOTHES WILL FIT BETTER 14

I THINK BOYS WILL LIKE ME BETTER 15

I THINK GIRLS WILL LIKE ME BETTER 16

MY FRIENDS ARE TRYING TO LOSE

WEIGHT 17

SOMEONE IN MY FAMILY IS TRYING TO

LOSE WEIGHT 18

MY MOTHER OR FATHER WANTS ME

TO LOSE WEIGHT 19

MY TEACHER OR COACH WANTS

ME TO LOSE WEIGHT 20

A DOCTOR, NURSE, OR OTHER HEALTH

PROFESSIONAL WANTS ME TO LOSE

WEIGHT 21
I DON’T WANT TO BE FAT 22

I WANT TO BE SKINNY 23

I WANT TO FEEL GOOD/BETTER ABOUT

MYSELF 24

OTHER (SPECIFY) 30

REFUSED 77

DON’T KNOW 99



WHQ.520 In the past year, how often have you tried to lose weight? Would you say . . .


never, 1 (BOX 2)

sometimes, or 2

a lot? 3

REFUSED 7

DON’T KNOW 9



WHQ.530 In the past year, how often have you been on a diet to lose weight? Would you say . . .


never, 1

sometimes, or 2

a lot? 3

REFUSED 7

DON’T KNOW 9



WHQ.540 In the past year, how often have you gone without eating for a day or more (starved) to lose weight? Would you say . . .


never, 1

sometimes, or 2

a lot? 3

REFUSED 7

DON’T KNOW 9



WHQ.550 In the past year, how often have you cut back on what you ate to lose weight? Would you say . . .


never, 1

sometimes, or 2

a lot? 3

REFUSED 7

DON’T KNOW 9



WHQ.560 In the past year, how often have you skipped meals to lose weight? Would you say . . .


never, 1

sometimes, or 2

a lot? 3

REFUSED 7

DON’T KNOW 9



WHQ.570 In the past year, how often have you exercised to lose weight? Would you say . . .


never, 1

sometimes, or 2

a lot? 3

REFUSED 7

DON’T KNOW 9



WHQ.580 In the past year, how often have you eaten less sweets or fatty foods to lose weight? Would you say . . .


never, 1

sometimes, or 2

a lot? 3

REFUSED 7

DON’T KNOW 9






BOX 2


CHECK ITEM WHQ.709:

  • IF SP AGE >= 12, CONTINUE.

  • OTHERWISE, GO TO END OF SECTION.





DBQ.895
G/Q

Next, I’m going to ask you about meals. By meal, I mean breakfast, lunch and dinner. During the past 7 days, how many meals did you get that were prepared away from home in places such as restaurants, fast food places, food stands, grocery stores, or from vending machines? Please do not include meals provided as part of the school lunch or school breakfast.


SOFT EDIT VALUES: 0-21


Error message: “Please verify that you ate more than 3 meals prepared away from home every day during the past 7 days.”


|___|___|

ENTER NUMBER


NONE 2 (DBQ.905)

REFUSED 77 (DBQ.905)

DON'T KNOW 99 (DBQ.905)



DBQ.900 How many of those meals did you get from a fast-food or pizza place?

G/Q

HARD EDIT: “DBQ.900 must be equal to or less than DBQ.895.”


Error message: "The number of meals from a fast-food or pizza place cannot be greater than the total number of meals you had that were prepared away from home. Could I have another answer please?"


|___|___|

ENTER NUMBER


NONE 2

REFUSED 77

DON'T KNOW 99

DBQ.905
G/Q/U

Some grocery stores sell “ready to eat” foods such as salads, soups, chicken, sandwiches and cooked vegetables in their salad bars and deli counters.


During the past 30 days, how often did you buy “ready to eat” foods at the grocery store? Please do not count frozen or canned foods.


|___|___|

ENTER NUMBER OF TIMES (PER DAY, WEEK, OR MONTH)


NEVER 2

REFUSED 77

DON’T KNOW 99


ENTER UNIT


DAY 1

WEEK 2

MONTH 3

REFUSED 7

DON'T KNOW 9



DBQ.910
G/Q/U

During the past 30 days, how often did you eat frozen meals or frozen pizzas? Here are some examples of frozen meals and frozen pizzas.


HAND CARD WHQ2


|___|___|

ENTER OF TIMES (PER DAY, WEEK, OR MONTH)


NEVER 2

REFUSED 77

DON’T KNOW 99


ENTER UNIT


DAY 1

WEEK 2

MONTH 3

REFUSED 7

DON'T KNOW 9






Creatine Kinase


CKQ.010 In the past 3 days, did {you/SP} do any strenuous exercise or heavy

physical work?


PROBE IF NEEDED: Strenuous exercise or heavy physical work is exercise or work that causes large increases in breathing or heart rate if they are done for at least 10 minutes continuously.


YES ............................................................... 1

NO................................................................. 2 (CKQ.030)

REFUSED ..................................................... 7 (CKQ.030)

DON’T KNOW ............................................. 9 (CKQ.030)


CKQ.020 Did it make {your/SPs} muscles sore or painful?


YES ............................................................... 1

NO................................................................. 2

REFUSED ..................................................... 7

DON’T KNOW ............................................. 9


CKQ.030 In the past 3 days, did {you/SP} injure or bruise any muscles?


YES ............................................................... 1

NO................................................................. 2 (CKQ.050)

REFUSED ..................................................... 7 (CKQ.050)

DON’T KNOW .............................................. 9 (CKQ.050)


CKQ.040 Did it make {your/SP's} muscles sore or painful?


YES ............................................................... 1

NO................................................................. 2

REFUSED ..................................................... 7

DON’T KNOW ............................................. 9



BOX 1

CHECK ITEM CKQ.050:

IF CKQ.020=1 or CKQ.040=1, GO TO CKQ.065 OTHERWISE, CONTINUE



CKQ.060 In the last 3 days, have {you/SP} had any muscle pain or soreness?


YES ............................................................... 1 (CKQ.070)

NO................................................................. 2 (END SECTION)

REFUSED ..................................................... 7 (END SECTION)

DON’T KNOW ............................................. 9 (END SECTION)

CKQ.065 In the last 3 days, have {you/SP} had any other muscle pain, aching or

soreness?


YES ............................................................... 1 (CKQ.070)

NO................................................................. 2 (END SECTION)

REFUSED ..................................................... 7 (END SECTION)



CKQ.070 For how long have {you/SP} had this pain, aching or soreness?


|___|___|___|___| ENTER NUMBER (OF DAYS, WEEKS, MONTHS OR YEARS)



REFUSED ..................................................... 777

DON'T KNOW ............................................... 999

ENTER UNIT

DAYS............................................................. 1

WEEKS ......................................................... 2

MONTHS....................................................... 3

YEARS .......................................................... 4


MEC Interview Critical Data Items


Verify Street Address


SCQ.070 I would like to verify {your/SP’s} address. Please give me {your/SP’s} complete address.


SCQ.420 Is {your/SP’s} mailing address the same as {your/SP’s} street address?


Validation Form Q7 Did {you/he/she} live at this address on {SCREENER DISPOSITION DATE}?


Verify Mailing Address


In case we have to contact {you/SP} again, please give me {your/his/her} complete mailing address.


Verify Phone Numbers


Please give me {your/SP’s} home telephone number.


Is there another number where {you/SP} can be reached? Where is that phone

located?


Verify SSN


DMQ.280a We also need {your/SP’s} Social Security Number. The Department of Health and Human Services will use {your/his/her} Social Security Number to conduct health-related research by linking {your/his/her} survey data with vital statistics and other records, such as health registries. We may also use it if we need to recontact {you/him/her} or {your/his/her} family. Except for these purposes, the Department will not release {your/his/her} SSN to anyone, including any government agency. Providing this information is voluntary and is collected under the authority of the Public Health Service Act. There will be no effect on {your/his/her} benefits if you do not provide it. [Public Health Service Act is title 42, United States Code, section 242k.]


DMQ.280b What is {your/SP’s} Social Security Number?




MEC QUESTIONNAIRE – ACASI





I

Note: The following is the method for coding response categories Refused and Don’t Know in ACASI.


  1. These categories are not on the screen when the question is read.

  2. If a question isn’t answered the following screen appears:



You did not answer the previous question.


  1. Did you mean to answer………………………….QUESTION REPEATED

  2. would you prefer not to answer the question…..REFUSED RESPONSE CODED

  3. or don’t you know the answer?..........................DON’T KNOW RESPONSE CODED

ntroduction






















FOOD SECURITY



BOX 1


CHECK ITEM FSQ.699:

  • IF ANY OF ITEMS FSQ.032a – FSQ.032f FROM THE HOUSEHOLD INTERVIEW ARE CODED ‘1’, ‘2’, ‘7’, OR ‘9’, FOR ANY FAMILY IN THE HOUSEHOLD, ALL MEMBERS OF HOUSEHOLD CONTINUE WITH FSQ.700.

  • OTHERWISE, GO TO END OF SECTION.



FSQ.700_ The next questions are about the food situation in your home during the last 30 days.


FSQ.700 In the last 30 days, was the size of your meals cut because your family didn’t have enough money for food?


INSTRUCTIONS TO SP:

Please select one of the following choices.


A lot 1

Sometimes 2

Never 3

REFUSED 77

DON’T KNOW 99



FSQ.710 In the last 30 days, did you eat less than you thought you should because your family didn’t have enough money for food?


INSTRUCTIONS TO SP:

Please select one of the following choices.


A lot 1

Sometimes 2

Never 3

REFUSED 77

DON’T KNOW 99



FSQ.720 In the last 30 days, were you hungry but didn’t eat because your family didn’t have enough food?


INSTRUCTIONS TO SP:

Please select one of the following choices.


A lot 1

Sometimes 2

Never 3

REFUSED 77

DON’T KNOW 99



FSQ.730 In the last 30 days, did you skip a meal because your family didn’t have enough money for food?


INSTRUCTIONS TO SP:

Please select one of the following choices.


A lot 1

Sometimes 2

Never 3

REFUSED 77

DON’T KNOW 99



BOX 2


CHECK ITEM FSQ.732:

  • IF (FSQ.700 OR FSQ.710 OR FSQ.720 OR FSQ.730= 1 OR 2), CONTINUE; OTHERWISE, GO TO THE END OF THE SECTION.



FSQ.740 In the last 30 days, did you not eat for a whole day because your family didn’t have enough money for food?


INSTRUCTIONS TO SP:

Please select one of the following choices.


Sometimes 1

Once or twice 2

Never 3

REFUSED 77

DON’T KNOW 99


TOBACCO



SMQ.NEW1 The following questions are about cigarette smoking and other tobacco use.


SMQ.NEW About how many cigarettes have you smoked in your entire life?

    1. I have never smoked, not even a puff (SMQ680)

    2. 1 or more puffs but never a whole cigarette (SMQ680)

    3. 1 cigarette

    4. 2 to 5 cigarettes

    5. 6 to 15 cigarettes (about 1/2 a pack total)

    6. 16 to 25 cigarettes (about 1 pack total)

    7. 26 to 99 cigarettes (more than 1 pack, but less than 5 packs)

    8. 100 or more cigarettes (5 or more packs)

REFUSED

DON’T KNOW



SMQ.631 How old were you when you smoked a whole cigarette for the first time?

SMQ.631a

INSTRUCTIONS TO SP:

Please enter an age or select zero for never smoked a whole cigarette.


CAPI INSTRUCTION:

COMBINATION CONTROL: Number Pad: Enter Age

ACCEPTABLE VALUES: 0, 6-20 years, Refused, Don’t Know.

If R enters 1-5, store 6 years.

HARD EDIT: If SMQ.631 > RIAAGEYR then ERROR

Error message: "Your response is older than your recorded age. Please press the “Back” button, press “Clear,” and try again."


|___|___|

ENTER AGE


AGE 1-20


REFUSED 77 DON'T KNOW 99 )





SMQ.640 During the past 30 days, on how many days did you smoke cigarettes?


INSTRUCTIONS TO SP:

Please enter a number or enter zero for none.


CAPI INSTRUCTION:

ACCEPTABLE VALUES: 0-30, Refused, Don’t Know

HARD EDIT: If SMQ.640 > 30 then ERROR

Error message: "Your response cannot exceed 30 days. Please press the “Back” button, press “Clear,” and try again."


|___|___|

ENTER NUMBER OF DAYS


REFUSED 77 (SMQ.670)

DON'T KNOW 99 (SMQ.670)



BOX 1A


CHECK ITEM SMQ.645:

(IF 'NONE' (CODE '00'), 'REFUSED' (CODE '77'), OR 'DON'T KNOW' (CODE '99')IN SMQ.640)) AND SMQ.NEW NE 8GO TO SMQ. 680;

ELSE (IF 'NONE' (CODE '00'), 'REFUSED' (CODE '77'), OR 'DON'T KNOW' (CODE '99') A IN SMQ.640)) AND SMQNEW=8 CONTINUE;OTHERWISE, GO TO SMQ.650.



SMQ.050 How long has it been since {you/SP} quit smoking cigarettes?

Q/U

|___|___|___|

ENTER NUMBER (OF DAYS, WEEKS, MONTHS OR YEARS)


REFUSED 77777

DON'T KNOW 99999


ENTER UNIT


DAYS 1

WEEKS 2

MONTHS 3

YEARS 4

REFUSED 7

DON'T KNOW 9


HELP SCREEN:

Cigarette: Respondent defined. Do not include cigars or marijuana.



BOX NEW1

CHECK ITEM SMQ.XXX:

IF SMQ.050Q/U >= 1 YEAR (365 DAYS, 52 WEEKS, 12 MONTHS, OR 1 YEAR), CONTINUE;

ELSE IF SMQQ/U < 30 DAYS GO TO SMQ.650,

OTHERWISE, GO TO SMQ.680.




SMQ.055 How old {were you/was SP} when {you/s/he} last smoked cigarettes ?



|___|___|

ENTER AGE IN YEARS


REFUSED 77777

DON'T KNOW 99999


BOX NEW2

CHECK ITEM SMQ.XXX:

GO TO SMQ.680.


SMQ.650 During the past 30 days, on the days that you smoked, how many cigarettes did you smoke per day?

SMQ.650a


INSTRUCTIONS TO SP:

Please enter a number.


CAPI INSTRUCTION:

If R says 95 or more cigarettes per day, store 95.

ACCEPTABLE VALUES: 1-95, Refused, Don’t Know

HARD EDIT: If SMQ.650 = 0 then ERROR

Error message: “Your response must be greater than 0. Please press the “Back” button, press “Clear,” and try again.”


|___|___|

ENTER NUMBER OF CIGARETTES


MORE THAN 1 PACK OF CIGARETTES 95

REFUSED 777

DON'T KNOW 999



SMQ.077 How soon after you wake up do you smoke? Would you say . . .


Within 5 minutes 1

From 6 to 30 minutes 2

From more than 30 minutes to one hour 3

More than one hour 4

REFUSED 7

DON'T KNOW 9



SMQ.660 During the past 30 days, on the days that you smoked, which brand of cigarettes did you usually smoke?


INSTRUCTIONS TO SP:

Please select one of the following choices.


Marlboro 1

Camel 2

Newport 3

Kool 4

Winston 5

Benson and Hedges 6

Salem 7

Other 8

REFUSED 77 (SMQ.670)

DON'T KNOW 99 (SMQ.670)



BOX 1B


CHECK ITEM SMQ.662:

IF NEWPORT, KOOL, OR SALEM BRAND (CODED '3', '4', OR '7') REPORTED IN SMQ.660, GO TO SMQ.666.

OTHERWISE, CONTINUE WITH SMQ.664.



SMQ.664 {Were/Was} the {BRAND REPORTED IN SMQ.660/brand of} cigarettes menthol or non-menthol?

M/C/W/B/O

INSTRUCTIONS TO SP:

Please select . . .


CAPI INSTRUCTION:

If SMQ.660 = 8, DISPLAY {Was/brand of} otherwise DISPLAY {Were/BRAND REPORTED IN SMQ.660}

Store result in appropriate field based on SMQ.660: 1:SMQ.664M, 2:SMQ.664C, 5:SMQ.664W, 6:SMQ.664B, 8:SMQ.664O.


Menthol 1

Non-menthol 2

REFUSED 7

DON'T KNOW 9



N'T KNOW 9



SMQ.670 During the past 12 months, have you stopped smoking for one day or longer because you were trying to quit smoking?


INSTRUCTIONS TO SP:

Please select . . .


Yes 1

No 2

REFUSED 7

DON'T KNOW 9



SMQ.680_ The following questions ask about use of tobacco or nicotine products in the past 5 days.


SMQ.680 During the past 5 days, did you use any product containing nicotine including cigarettes, pipes, cigars, chewing tobacco, snuff, nicotine patches, nicotine gum, or any other product containing nicotine?


INSTRUCTIONS TO SP:

Please select . . .


CAPI INSTRUCTIONS:

If SMQ. =1 or 2 or SMQ.640 = 00 then do not display {“cigarettes, “}

Recording Note: 2 wave files needed one with and one without the word cigarettes.


Yes 1

No 2 (END OF SECTION)

REFUSED 7 (END OF SECTION)

DON’T KNOW 9 (END OF SECTION)



SMQ.690 Which of these products did you use? (CHECK ALL THAT APPLY)


INSTRUCTIONS TO SP:

Please select all that you used.


CAPI INSTRUCTIONS:

If SMQ.620 = 1 or 2 or SMQ.640 = 0 then do not display code 1: Cigarettes


Cigarettes 1

Pipes 2

Cigars 3

Chewing tobacco 4

Snuff 5

Nicotine patches, gum, or other

nicotine product 6

REFUSED 77 (END OF SECTION)

DON’T KNOW 99 (END OF SECTION)



BOX 2


CHECK ITEM SMQ.700:

IF ‘CIGARETTES’ (CODE 1) IN SMQ.690, GO TO SMQ.710.

IF ‘PIPES’ (CODE 2) IN SMQ.690, GO TO SMQ.740.

IF ‘CIGARS’ (CODE 3) IN SMQ.690, GO TO SMQ.770.

IF ‘CHEW’ (CODE 4) IN SMQ.690, GO TO SMQ.800.

IF 'SNUFF' (CODE 5) IN SMQ.690, GO TO SMQ.817.

IF ‘NICOTINE PRODUCT’ (CODE 6) IN SMQ.690, GO TO SMQ.830.



SMQ.710 During the past 5 days, including today, on how many days did you smoke cigarettes?


INSTRUCTIONS TO SP:

Please enter a number.


CAPI INSTRUCTIONS:

HARD EDIT: If SMQ.710 < 1 or SMQ.710 > 5 then ERROR

Error message: “Please enter a number between 1 and 5. Please press the “Back” button, press “Clear,” and try again.”


|___|

ENTER NUMBER OF DAYS


REFUSED 7

DON'T KNOW 9



SMQ.720 During the past 5 days, on the days you smoked, how many cigarettes did you smoke each day?

SMQ.720a


INSTRUCTIONS TO SP:

Please enter a number.


CAPI INSTRUCTION:

If R says 95 or more cigarettes per day, store 95.

HARD EDIT: If SMQ.720 = 0 then ERROR

Error message: “Your response must be greater than 0. Please press the “Back” button, press “Clear,” and try again.”


|___|___|

ENTER NUMBER OF CIGARETTES


MORE THAN 1 PACK OF CIGARETTES 95

REFUSED 777

DON'T KNOW 999



SMQ.725 When did you smoke your last cigarette? Was it . . .


Today 1

Yesterday 2

3 to 5 days ago 3

REFUSED 7

DON'T KNOW 9



BOX 3


CHECK ITEM SMQ.730:

IF ‘PIPES’ (CODE 2) IN SMQ.690, GO TO SMQ.740.

IF ‘CIGARS’ (CODE 3) IN SMQ.690, GO TO SMQ.770.

IF ‘CHEW’ (CODE 4) IN SMQ.690, GO TO SMQ.800.

IF 'SNUFF' (CODE 5) IN SMQ.690, GO TO SMQ.817.

IF ‘NICOTINE PRODUCT’ (CODE 6) IN SMQ.690, GO TO SMQ.830.



SMQ.740 During the past 5 days, including today, on how many days did you smoke a pipe?


INSTRUCTIONS TO SP:

Please enter a number.


CAPI INSTRUCTIONS:

HARD EDIT: If SMQ.740 < 1 or SMQ.740 > 5 then ERROR

Error message: “Please enter a number between 1 and 5. Please press the “Back” button, press “Clear,” and try again.”


|___|

ENTER NUMBER OF DAYS


REFUSED 7

DON'T KNOW 9



SMQ.750 During the past 5 days, on the days you smoked a pipe, how many pipes did you smoke each day?

SMQ.750a

IF R SAYS LESS THAN 1 PIPE PER DAY, ENTER 1.


INSTRUCTIONS TO SP:

Please enter a number.


CAPI INSTRUCTIONS:

If R says less than 1 pipe per day, store 1.

If R says >59 pipes per day, store 59.


|___|___|

ENTER NUMBER OF PIPES


59 OR MORE PIPES 59

REFUSED 77

DON'T KNOW 99



SMQ.755 When did you smoke your last pipe? Was it . . .


Today 1

Yesterday 2

3 to 5 days ago 3

REFUSED 7

DON'T KNOW 9



BOX 4


CHECK ITEM SMQ.760:

IF ‘CIGARS’ (CODE 3) IN SMQ.690, GO TO SMQ.770.

IF ‘CHEW’ (CODE 4) IN SMQ.690, GO TO SMQ.800.

IF 'SNUFF' (CODE 5) IN SMQ.690, GO TO SMQ.817.

IF ‘NICOTINE PRODUCT’ (CODE 6) IN SMQ.690, GO TO SMQ.830.



SMQ.770 During the past 5 days, including today, on how many days did you smoke cigars?


INSTRUCTIONS TO SP:

Please enter a number.


CAPI INSTRUCTIONS:

HARD EDIT: If SMQ.770 < 1 or SMQ.770 > 5 then ERROR

Error message: “Please enter a number between 1 and 5. Please press the “Back” button, press “Clear,” and try again.”


|___|

ENTER NUMBER OF DAYS


REFUSED 7

DON'T KNOW 9



SMQ.780 During the past 5 days, on the days you smoked cigars, how many cigars did you smoke each day?

SMQ.780a


INSTRUCTIONS TO SP:

Please enter a number.


CAPI INSTRUCTIONS:

If R says less than 1 cigar per day, store 1.

If R says >59 cigars per day, store 59.


|___|___|

ENTER NUMBER OF CIGARS


59 OR MORE CIGARS 59

REFUSED 77

DON'T KNOW 99



SMQ.785 When did you smoke your last cigar? Was it . . .


Today 1

Yesterday 2

3 to 5 days ago 3

REFUSED 7

DON'T KNOW 9



BOX 5


CHECK ITEM SMQ.790:

IF ‘CHEW’ (CODE 4) IN SMQ.690, GO TO SMQ.800.

IF 'SNUFF' (CODE 5) IN SMQ.690, GO TO SMQ.817.

IF ‘NICOTINE PRODUCT’ (CODE 6) IN SMQ.690, GO TO SMQ.830.



SMQ.800 During the past 5 days, including today, on how many days did you use chewing tobacco, such as Redman, Levi Garrett or Beechnut?


INSTRUCTIONS TO SP:

Please enter a number.


CAPI INSTRUCTIONS:

HARD EDIT: If SMQ.800 < 1 or SMQ.800 > 5 then ERROR

Error message: “Please enter a number between 1 and 5. Please press the “Back” button, press “Clear,” and try again.”


|___|

ENTER NUMBER OF DAYS


REFUSED 7

DON'T KNOW 9



SMQ.815 When did you last use chewing tobacco? Was it . . .


Today 1

Yesterday 2

3 to 5 days ago 3

REFUSED 7

DON'T KNOW 9



BOX 5A


CHECK ITEM SMQ.816:

IF ‘SNUFF’ (CODE 5) IN SMQ.690, GO TO SMQ.817.

IF ‘NICOTINE PRODUCT’ (CODE 6) IN SMQ.690, GO TO SMQ.830.



SMQ.817 During the past 5 days, including today, on how many days did you use snuff, such as Skoal, Skoal Bandits, or Copenhagen?


INSTRUCTIONS TO SP:

Please enter a number.


CAPI INSTRUCTIONS:

HARD EDIT: If SMQ.817 < 1 or SMQ.817 > 5 then ERROR

Error message: “Please enter a number between 1 and 5. Please press the “Back” button, press “Clear,” and try again.”


|___|

ENTER NUMBER OF DAYS


REFUSED 7

DON'T KNOW 9



SMQ.819 When did you last use snuff? Was it . . .


Today 1

Yesterday 2

3 to 5 days ago 3

REFUSED 7

DON'T KNOW 9



BOX 6


CHECK ITEM SMQ.820:

IF ‘NICOTINE PRODUCT’ (CODE 6) IN SMQ.690, GO TO SMQ.830.

OTHERWISE, GO TO END OF SECTION.



SMQ.830 During the past 5 days, including today, on how many days did you use any product containing nicotine to help you stop smoking? Include nicotine patches, gum, or any other product containing nicotine.


INSTRUCTIONS TO SP:

Please enter a number.


CAPI INSTRUCTIONS:

If SMQ.830 < 1 or SMQ.830 > 5 then ERROR

Error message: “Please enter a number between 1 and 5. Please press the “Back” button, press “Clear,” and try again.”


|___|

ENTER NUMBER OF DAYS


REFUSED 7

DON'T KNOW 9



SMQ.840 When did you last use a product containing nicotine? Was it . .


Today 1

Yesterday 2

3 to 5 days ago 3

REFUSED 7

DON'T KNOW 9


ALCOHOL use



ALQ.010_ The following questions ask about alcohol use. This includes beer, wine, wine coolers, and liquor such as rum, gin, vodka, or whiskey. This does not include drinking a few sips of wine for religious purposes.


ALQ.010 How old were you when you had your first drink of alcohol, other than a few sips?


INSTRUCTIONS TO SP:

Please select one of the following choices.


HARD EDIT: If (RIAAGEYR < 17 and ALQ.010 = 7) OR (RIAAGEYR < 15 and ALQ.010 in (6, 7)) OR (RIAAGEYR < 13 and ALQ.010 in (5, 6, 7)) then ERROR

Error message: “Your response is older than your recorded age. Please press the “Back” button, press “Clear,” and try again.”


I have never had a drink of alcohol other
than a few sips 1 (END OF SECTION)

8 years old or younger 2

9 or 10 years old 3

11 or 12 years old 4

13 or 14 years old 5

15 or 16 years old 6

17 years old or older 7

REFUSED 77

DON'T KNOW 99



ALQ.022 During your life, on how many days have you had at least one drink of alcohol?


INSTRUCTIONS TO SP:

Please select one of the following choices.


1 or 2 days 2

3 to 9 days 3

10 to 19 days 4

20 to 39 days 5

40 to 99 days 6

100 or more days 7

REFUSED 77

DON'T KNOW 99



ALQ.031 During the past 30 days, on how many days did you have at least one drink of alcohol?


INSTRUCTIONS TO SP:

Please select one of the following choices.


HARD EDIT: If (ALQ.022 = 2 and ALQ.031 in (3,4,5,6,7)) or (ALQ.022 =3 and ALQ.031 in (5,6,7)) or (ALQ.022 = 4 and ALQ.031 in (6,7)) then ERROR

Error message: “Your response is not consistent with your lifetime use. Please press the “Back” button, press “Clear,” and try again.”


0 days 1 (END OF SECTION)

1 or 2 days 2

3 to 5 days 3

6 to 9 days 4

10 to 19 days 5

20 to 29 days 6

All 30 days 7

REFUSED 77

DON'T KNOW 99



ALQ.041 During the past 30 days, on how many days did you have 5 or more drinks of alcohol in a row, that is, within a couple of hours?


INSTRUCTIONS TO SP:

Please select one of the following choices.


HARD EDIT: If (ALQ.031= 2 and ALQ.041 in (4,5,6,7)) or (ALQ.031=3 and ALQ.041 in (5,6,7)) or (ALQ.031 = 4 and ALQ.041 in (6,7)) or (ALQ.031 = 5 and ALQ.041 = 7) then ERROR

Error message: “Your response is not consistent with your use in the past 30 days. Please press the “Back” button, press “Clear,” and try again.”


0 days 1

1 day 2

2 days 3

3 to 5 days 4

6 to 9 days 5

10 to 19 days 6

20 or more days 7

REFUSED 77

DON'T KNOW 99




DRUG USE



DUQ.200_ The following questions ask about use of drugs not prescribed by a doctor. Please remember that your answers to these questions are strictly confidential.


The first questions are about marijuana and hashish. Marijuana is also called pot or grass. Marijuana is usually smoked, either in cigarettes, called joints, or in a pipe. It is sometimes cooked in food. Hashish is a form of marijuana that is also called “hash.” It is usually smoked in a pipe. Another form of hashish is hash oil.



BOX 1a


CHECK ITEM DUQ.201:

  • IF 60 – 69 YEARS GO TO DUQ.240

  • ELSE CONTINUE



DUQ.200 Have you ever, even once, used marijuana or hashish?


INSTRUCTIONS TO SP:

Please select . . .


Yes 1

No 2 (DUQ.240)

REFUSED 7 (DUQ.240)

DON'T KNOW 9 (DUQ.240)


DUQ.210 How old were you the first time you used marijuana or hashish?


INSTRUCTIONS TO SP:

Please enter an age.


|___|___|

ENTER AGE IN YEARS


REFUSED 77

DON'T KNOW 99


HARD EDIT VALUES: 0-59

Error message: “Your response cannot exceed 59 years. Please press the “Back” button, press “Clear,” and try again.”

HARD EDIT: DUQ.210 must be equal to or less than current age.

Error message: “Your response is greater than your recorded age. Please press the “Back” button, press “Clear,” and try again.”



DUQ.211 Have you ever smoked marijuana or hashish at least once a month for more than one year?

INSTRUCTIONS TO SP:

Please select . . .


Yes 1

No 2 (DUQ.220G)

REFUSED 7 (DUQ.220G)

DON'T KNOW 9 (DUQ.220G)




DUQ.213 How old were you when you started smoking marijuana or hashish regularly at least once a month for one year?

INSTRUCTIONS TO SP:

Please enter an age.


|___|___|

ENTER AGE IN YEARS


REFUSED 77

DON'T KNOW 99


HARD EDIT VALUES: 0-59

Error message: “Your response cannot exceed 59 years. Please press the “Back” button, press “Clear,” and try again.”

HARD EDIT: DUQ.new2 must be equal to or less than current age.

Error message: “Your response is greater than your recorded age. Please press the “Back” button, press “Clear,” and try again.”


DUQ.215 How long has it been since you last smoked marijuana or hashish regularly at least once a month for one year?

INSTRUCTIONS TO SP: Please enter the number of days, weeks, months, or years, then select the unit of time.

|___|___|___|

ENTER NUMBER OF DAYS, WEEKS, MONTHS, OR YEARS


REFUSED 777

DON'T KNOW 999


ENTER UNIT


Days 1

Weeks 2

Months 3

Years 4

REFUSED 7

DON'T KNOW 9



DUQ.217 During the time that you smoked marijuana or hashish, how often would you usually use it?

INSTRUCTIONS TO SP:

Please select . . .


Once per month……………..……………………………1

2-3 times per month……………………………………...2

4-8 times per month (about 1-2 times per week)……..3

9-24 times per month (about 3-6 times per week)……4

25-30 times per month (one or more times per day)…5

REFUSED …………. 7

DON'T KNOW 9



DUQ.219 During the time that you smoked marijuana or hashish, how many joints or pipes would you usually smoke in a day?

INSTRUCTIONS TO SP:

Please select . . .


1 per day………………………………………… 1

2 per day………………………………………… 2

3-5 per day……………………………………… 3

Six or more per day……………………………… 4

REFUSED …………. 7

DON'T KNOW 9




DUQ.220 How long has it been since you last used marijuana or hashish?

G/Q/U

INSTRUCTIONS TO SP:

Please enter the number of days, weeks, months, or years, then select the unit of time.


CAPI INSTRUCTIONS:

If SP Ref/DK then store 7/9 in DUQ.220G and DUQ.220U, 7/9-fill in DUQ.220Q

If a value is entered in Quantity and Unit store Quantity in DUQ.220Q, Unit in DUQ.220U and 1 in DUQ.220G

HARD EDIT: Response must be equal to or less than current age minus DUQ.210.

Error message: “Your response to time of last use is earlier than your response to age of first use. Please press the “Back” button, press “Clear,” and try again.”


|___|___|___|

ENTER NUMBER OF DAYS, WEEKS, MONTHS, OR YEARS


REFUSED 777

DON'T KNOW 999


ENTER UNIT


Days 1

Weeks 2

Months 3

Years 4

REFUSED 7

DON'T KNOW 9



BOX 1


CHECK ITEM DUQ.225:

  • IF SP USED MARIJUANA WITHIN THE PAST MONTH (CODED 1-30 DAYS, OR 1-4 WEEKS, OR 1 MONTH IN DUQ.220), CONTINUE WITH DUQ.230.

  • OTHERWISE, GO TO DUQ.240.


DUQ.230 During the past 30 days, on how many days did you use marijuana or hashish?


INSTRUCTIONS TO SP:

Please enter a number.


HARD EDIT VALUES: 1-30.

If DUQ.230 = 0, display error message: “Your response must be greater than 0. Please press the “Back” button, press “Clear,” and try again.

If DUQ.230 > 30, display error message: “Your response cannot exceed 30 days. Please press the “Back” button, press “Clear,” and try again.”


|___|___|

ENTER A NUMBER


REFUSED 77

DON'T KNOW 99




DUQ.240 Have you ever used cocaine, crack cocaine, heroin, or methamphetamine?

(Target 12-69)

INSTRUCTIONS TO SP:

Please select . . .


Yes 1

No 2 (DUQ.370)

REFUSED 7 (DUQ.370)

DON'T KNOW 9 (DUQ.370)



DUQ.250_ The following questions are about cocaine, including all the different forms of cocaine such as powder, ‘crack’, ‘free base’, and coca paste.


DUQ.250 Have you ever, even once, used cocaine, in any form?

(Target 12-69)

INSTRUCTIONS TO SP:

Please select . . .


Yes 1

No 2 (DUQ.290)

REFUSED 7 (DUQ.290)

DON'T KNOW 9 (DUQ.290)



BOX 2a


CHECK ITEM DUQ.255:

  • IF 60 – 69 YEARS GO TO DUQ.290_

  • ELSE CONTINUE



DUQ.260 How old were you the first time you used cocaine, in any form?


INSTRUCTIONS TO SP:

Please enter an age.


|___|___|

ENTER AGE IN YEARS


REFUSED 77

DON'T KNOW 99


HARD EDIT VALUES: 0-59

Error message: “Your response cannot exceed 59 years. Please press the “Back” button, press “Clear,” and try again.”

HARD EDIT: DUQ.260 must be equal to or less than current age.

Error message: “Your response is greater than your recorded age. Please press the “Back” button, press “Clear,” and try again.”



DUQ.270 How long has it been since you last used cocaine, in any form?

G/Q/U

INSTRUCTIONS TO SP:

Please enter the number of days, weeks, months, or years, then select unit of time.


CAPI INSTRUCTIONS:

If SP Ref/DK then store 7/9 in DUQ.270G and DUQ.270U, 7/9-fill in DUQ.270Q

If a value is entered in Quantity and Unit store Quantity in DUQ.270Q, Unit in DUQ.270U and 1 in DUQ.270G

HARD EDIT: Response must be equal to or less than current age minus DUQ.260.

Error message: “Your response to time of last use is earlier than your response to age of first use. Please press the “Back” button, press “Clear,” and try again.”


|___|___|___|

ENTER NUMBER OF DAYS, WEEKS, MONTHS, OR YEARS


REFUSED 777

DON'T KNOW 999


ENTER UNIT


Days 1

Weeks 2

Months 3

Years 4

REFUSED 7

DON'T KNOW 9



DUQ.272 During your life, altogether how many times have you used cocaine, in any form?


INSTRUCTIONS TO SP:

Please select one of the following choices.


Once 1

2-5 times 2

6-19 times 3

20-49 times 4

50-99 times 5

100 times or more 6

REFUSED 77

DON’T KNOW 99



BOX 2


CHECK ITEM DUQ.275:

  • IF SP USED COCAINE WITHIN THE PAST MONTH (CODED 1-30 DAYS, OR 1-4 WEEKS, OR 1 MONTH IN DUQ.270), CONTINUE WITH DUQ.280.

  • OTHERWISE, GO TO DUQ.290.



DUQ.280 During the past 30 days, on how many days did you use cocaine, in any form?


INSTRUCTIONS TO SP:

Please enter a number


HARD EDIT VALUES: 1-30.

If DUQ.280 = 0, display error message: “Your response must be greater than 0. Please press the “Back” button, press “Clear,” and try again.

If DUQ.280 > 30, display error message: “Your response cannot exceed 30 days. Please press the “Back” button, press “Clear,” and try again.”


|___|___|

ENTER A NUMBER


REFUSED 77

DON'T KNOW 99



DUQ.290_ The following questions are about heroin.


DUQ.290 Have you ever, even once, used heroin?

(Target 12-69)

INSTRUCTIONS TO SP:

Please select . . .


Yes 1

No 2 (DUQ.330)

REFUSED 7 (DUQ.330)

DON'T KNOW 9 (DUQ.330)



BOX 3a


CHECK ITEM DUQ.295:

  • IF SP 60-69 YEARS GO TO DUQ.330_

  • OTHERWISE, CONTINUE.



DUQ.300 How old were you the first time you used heroin?


INSTRUCTIONS TO SP:

Please enter an age.


|___|___|

ENTER AGE IN YEARS


REFUSED 77

DON'T KNOW 99


HARD EDIT VALUES: 0-59

Error message: “Your response cannot exceed 59 years. Please press the “Back” button, press “Clear,” and try again.”

HARD EDIT: DUQ.300 must be equal to or less than current age.

Error message: “Your response is greater than your recorded age. Please press the “Back” button, press “Clear,” and try again.”



DUQ.310 How long has it been since you last used heroin?

G/Q/U

INSTRUCTIONS TO SP:

Please enter the number of days, weeks, months, or years, then select the unit of time.


CAPI INSTRUCTIONS:

If SP Ref/DK then store 7/9 in DUQ.310G and DUQ.310U, 7/9-fill in DUQ.310Q

If a value is entered in Quantity and Unit store Quantity in DUQ.310Q, Unit in DUQ.310U and 1 in DUQ.310G

HARD EDIT: Response must be equal to or less than current age minus DUQ.300.

Error message: “Your response to time of last use is earlier than your response to age of first use. Please press the “Back” button, press “Clear,” and try again.”


|___|___|___|

ENTER NUMBER OF DAYS, WEEKS, MONTHS, OR YEARS


REFUSED 777

DON'T KNOW 999


ENTER UNIT


Days 1

Weeks 2

Months 3

Years 4

REFUSED 7

DON'T KNOW 9



BOX 3


CHECK ITEM DUQ.315:

  • IF SP USED HEROIN WITHIN THE PAST MONTH (CODED 1-30 DAYS, OR 1-4 WEEKS, OR 1 MONTH IN DUQ.310), CONTINUE WITH DUQ.320.

  • OTHERWISE, GO TO DUQ.330.



DUQ.320 During the past 30 days, on how many days did you use heroin?


INSTRUCTIONS TO SP:

Please enter a number.


HARD EDIT VALUES: 1-30.

If DUQ.320 = 0, display error message: “Your response must be greater than 0. Please press the “Back” button, press “Clear,” and try again.

If DUQ.320 > 30, display error message: “Your response cannot exceed 30 days. Please press the “Back” button, press “Clear,” and try again.”


|___|___|

ENTER A NUMBER


REFUSED 77

DON'T KNOW 99



DUQ.330_ The following questions are about methamphetamine, also known as crank, crystal, ice or speed.


DUQ.330 Have you ever, even once, used methamphetamine?

(Target 12-69)

INSTRUCTIONS TO SP:

Please select . . .


Yes 1

No 2 (DUQ.370)

REFUSED 7 (DUQ.370)

DON'T KNOW 9 (DUQ.370)



BOX 4a


CHECK ITEM DUQ.335:

  • IF SP 60-69 YEARS GO TO DUQ.370_

  • OTHERWISE, CONTINUE.



DUQ.340 How old were you the first time you used methamphetamine?


INSTRUCTIONS TO SP:

Please enter an age.


|___|___|

ENTER AGE IN YEARS


REFUSED 77

DON'T KNOW 99


HARD EDIT VALUES: 0-59

Error message: “Your response cannot exceed 59 years. Please press the “Back” button, press “Clear,” and try again.”

HARD EDIT: DUQ.340 must be equal to or less than current age.

Error message: “Your response is greater than your recorded age. Please press the “Back” button, press “Clear,” and try again.”



DUQ.350 How long has it been since you last used methamphetamine?

G/Q/U

INSTRUCTIONS TO SP:

Please enter the number of days, weeks, months, or years, then select the unit of time.


CAPI INSTRUCTIONS:

If SP Ref/DK then store 7/9 in DUQ.350G and DUQ.350U, 7/9-fill in DUQ.350Q

If a value is entered in Quantity and Unit store Quantity in DUQ.350Q, Unit in DUQ.350U and 1 in DUQ.350G

HARD EDIT: Response must be equal to or less than current age minus DUQ.340.

Error message: “Your response to time of last use is earlier than your response to age of first use. Please press the “Back” button, press “Clear,” and try again.”


|___|___|___|

ENTER NUMBER OF DAYS, WEEKS, MONTHS, OR YEARS


REFUSED 777

DON'T KNOW 999


ENTER UNIT


Days 1

Weeks 2

Months 3

Years 4

REFUSED 7

DON'T KNOW 9



DUQ.352 During your life, altogether how many times have you used methamphetamine?


INSTRUCTIONS TO SP:

Please select one of the following choices.


Once 1

2-5 times 2

6-19 times 3

20-49 times 4

50-99 times 5

100 times or more 6

REFUSED 77

DON’T KNOW 99



BOX 4


CHECK ITEM DUQ.355:

  • IF SP USED METHAMPHETAMINE WITHIN THE PAST MONTH (CODED 1-30 DAYS, OR 1-4 WEEKS, OR 1 MONTH IN DUQ.350), CONTINUE WITH DUQ.360.

  • OTHERWISE, GO TO DUQ.370.



DUQ.360 During the past 30 days, on how many days did you use methamphetamine?


INSTRUCTIONS TO SP:

Please enter a number.


HARD EDIT VALUES: 1-30.

If DUQ.360 = 0, display error message: “Your response must be greater than 0. Please press the “Back” button, press “Clear,” and try again.

If DUQ.360 > 30, display error message: “Your response cannot exceed 30 days. Please press the “Back” button, press “Clear,” and try again.”


|___|___|

ENTER A NUMBER


REFUSED 77

DON'T KNOW 99



DUQ.370_ The following questions are about the different ways that certain drugs can be used.


DUQ.370 Have you ever, even once, used a needle to inject a drug not prescribed by a doctor?

(Target 12-69)

INSTRUCTIONS TO SP:

Please select . . .


Yes 1

No 2 (BOX 5)

REFUSED 7 (BOX 5)

DON'T KNOW 9 (BOX 5)



DUQ.380 Which of the following drugs have you injected using a needle?

(Target 12-69)

INSTRUCTIONS TO SP:

Please select all the drugs that you injected.


CAPI INSTRUCTION:

SHOW ALL FIVE ITEMS ON SINGLE ACASI SCREEN


Cocaine 1

Heroin 2

Methamphetamine 3

Steroids 4

Any other drugs 5

REFUSED 7

DON'T KNOW 9



DUQ.390 How old were you when you first used a needle to inject any drug not prescribed by a doctor?

(Target 12-69)

INSTRUCTIONS TO SP:

Please enter an age.


|___|___|

ENTER AGE IN YEARS


REFUSED 77

DON'T KNOW 99


HARD EDIT VALUES: 0-59

Error message: “Your response cannot exceed 59 years. Please press the “Back” button, press “Clear,” and try again.”

HARD EDIT: DUQ.390 must be equal to or less than current age.

Error message: “Your response is greater than your recorded age. Please press the “Back” button, press “Clear,” and try again.”



DUQ.400 How long ago has it been since you last used a needle to inject a drug not prescribed by a doctor?

G/Q/U

(Target 12-69) INSTRUCTIONS TO SP:

Please enter the number of days, weeks, months, or years, then select the unit of time.


CAPI INSTRUCTIONS:

If SP Ref/DK then store 7/9 in DUQ.400G and DUQ.400U, 7/9-fill in DUQ.400Q

If a value is entered in Quantity and Unit store Quantity in DUQ.400Q, Unit in DUQ.400U and 1 in DUQ.400G

HARD EDIT: Response must be equal to or less than current age minus DUQ.390.

Error message: “Your response to time of last use is earlier than your response to age of first use. Please press the “Back” button, press “Clear,” and try again.”


|___|___|___|

ENTER NUMBER OF DAYS, WEEKS, MONTHS, OR YEARS


REFUSED 7777

DON'T KNOW 9999


ENTER UNIT


Days 1

Weeks 2

Months 3

Years 4

REFUSED 7

DON'T KNOW 9



DUQ.410 During your life, altogether how many times have you injected drugs not prescribed by a doctor?

(Target 12-69)

INSTRUCTIONS TO SP:

Please select one of the following choices.


Once 1 (DUQ.430)

2-5 times 2

6-19 times 3

20-49 times 4

50-99 times 5

100 times or more 6

REFUSED 77

DON’T KNOW 99



DUQ.420 Think about the period of your life when you injected drugs the most often. How often did you inject then?

(Target 12-69)

INSTRUCTIONS TO SP:

Please select one of the following choices.


More than once a day 1

About once a day 2

At least once a week but not every day 3

At least once a month but not every week 4

Less than once a month 5

REFUSED 7

DON’T KNOW 9



BOX 5


CHECK ITEM DUQ.426:

  • IF SP 60-69 YEARS, GO TO END OF SECTION.

  • IF SP HAS USED MARIJUANA (CODED ‘1’) IN DUQ.200 OR SP HAS USED COCAINE, HEROIN, OR METHAMPHETAMINE (CODED ‘1’) IN DUQ.240, OR SP HAS INJECTED ANY DRUG NOT PRESCRIBED BY A DOCTOR (CODED ‘1’) IN DUQ.370, GO TO DUQ.430.

  • OTHERWISE, GO TO END OF SECTION.



DUQ.430 Have you ever been in a drug treatment or drug rehabilitation program?


INSTRUCTIONS TO SP:

Please select . . .


Yes 1

No 2

REFUSED 7

DON'T KNOW 9


SEXUAL BEHAVIOR



SXQ.615_ The next set of questions is about your sexual history. By sex, we mean vaginal, oral, or anal sex. Please remember that your answers are strictly confidential.



BOX 1B


CHECK ITEM SXQ.773:

  • IF SP AGE GREATER THAN 17, GO TO SXQ.700.

  • OTHERWISE, CONTINUE.




SXQ.615 Have you ever had any kind of sex?

(Target 14-17)


INSTRUCTIONS TO SP:

Please select . . .


Yes 1

No 2 (BOX 11)

REFUSED 7 (BOX 11)

DON'T KNOW 9 (BOX 11)



SXQ.700 Have you ever had vaginal sex, also called sexual intercourse, with a man? This means a man’s penis in your vagina.

(Target 14-69)


INSTRUCTIONS TO SP:

Please select . . .


Yes 1

No 2

REFUSED 7

DON'T KNOW 9



SXQ.703 Have you ever performed oral sex on a man? This means putting your mouth on a man’s penis or genitals.

(Target 14-69)


INSTRUCTIONS TO SP:

Please select . . .


Yes 1

No 2

REFUSED 7

DON'T KNOW 9



SXQ.706 Have you ever had anal sex? This means contact between a man’s penis and your anus or butt.

(Target 14-69)


INSTRUCTIONS TO SP:

Please select . . .


Yes 1

No 2

REFUSED 7

DON'T KNOW 9



SXQ.709 Have you ever had any kind of sex with a woman? By sex, we mean sexual contact with another woman’s vagina or genitals.

(Target 14-69)


INSTRUCTIONS TO SP:

Please select . . .


Yes 1

No 2

REFUSED 7

DON'T KNOW 9



BOX 1A


CHECK ITEM SXQ.762:

  • IF SP 60-69 YEARS AND SXQ.703 OR SXQ.709 = 1 AND SXQ.700 = 2 AND SXQ.706 = 2, GO TO END OF SECTION.

  • IF SXQ.700, SXQ.706, AND SXQ.709 NOT EQUAL TO ‘1’ AND SXQ.703 = 1, GO TO BOX 4.

  • IF SXQ.700, SXQ.703, SXQ.706, AND SXQ.709 NOT EQUAL TO ‘1’, GO TO BOX 11.

  • OTHERWISE, CONTINUE.



SXQ.618
(Target 14-69)

How old were you the first time you had any kind of sex, including {vaginal, anal, or oral / vaginal or anal / vaginal or oral / anal or oral / vaginal / anal / oral}?


INSTRUCTIONS TO SP:

Please enter an age.


|___|___|

ENTER AGE IN YEARS


REFUSED 77

DON'T KNOW 99


CAPI INSTRUCTION:

IF SXQ.700 AND SXQ.703 = 1 AND SXQ.706 NOT EQUAL TO ‘1’, DISPLAY {vaginal or oral}.

IF SXQ.700 AND SXQ.709 = 1 AND SXQ.706 NOT EQUAL TO ‘1’, DISPLAY {vaginal or oral}.


IF SXQ.700 AND SXQ.706 = 1 AND SXQ.703 AND SXQ.709 NOT EQUAL TO ‘1’, DISPLAY {vaginal or anal}.


IF SXQ.703 AND SXQ.706 = 1 AND SXQ.700 NOT EQUAL TO ‘1’, DISPLAY {anal or oral}.

IF SXQ.706 AND SXQ.709 = 1 AND SXQ.700 NOT EQUAL TO ‘1’, DISPLAY {anal or oral}.


IF SXQ.700 = 1 AND SXQ.703, SXQ.706, AND SXQ.709 NOT EQUAL TO ‘1’, DISPLAY {vaginal}.

IF SXQ.706 = 1 AND SXQ.700, SXQ.703, AND SXQ.709 NOT EQUAL TO ‘1’, DISPLAY {anal}.

IF SXQ.709 = 1 AND SXQ.700, AND SXQ.706 NOT EQUAL TO ‘1’, DISPLAY {oral}.


OTHERWISE, DISPLAY {vaginal, anal, or oral}.


HARD EDIT VALUES: 0-69

Error message: “Your response cannot exceed 69 years. Please press the “Back” button, press “Clear,” and try again.”

HARD EDIT: SXQ.618 must be equal to or less than current age.

Error message: “Your response is greater than your recorded age. Please press the “Back” button, press “Clear,” and try again.”



BOX 1


CHECK ITEM SXQ.701:

  • IF SXQ.703 = 1 AND SXQ.700 AND SXQ.706 NOT EQUAL TO ‘1’, GO TO BOX 3.

  • IF SXQ.700 = 1 AND SXQ.703 AND SXQ.706 NOT EQUAL TO ‘1’, GO TO BOX 3.

  • IF SXQ.709 = 1 AND SXQ.700, SXQ.703, AND SXQ.706 NOT EQUAL TO ‘1’, GO TO BOX 3.

  • OTHERWISE, CONTINUE.



SXQ.712 In your lifetime, with how many men have you had any kind of sex?

(Target 14-69)


INSTRUCTIONS TO SP:

Please enter a number.


|___|___|___|___|

ENTER NUMBER


REFUSED 77777

DON'T KNOW 99999


HARD EDIT: SXQ.712 must be greater than 0.

Error message: “Your response is not consistent with your previous responses about male sex partners. Please press the “Back” button, press “Clear,” and try again.”



BOX 2


CHECK ITEM SXQ.715:

  • IF SP 60-69 YEARS, GO TO END OF SECTION.

  • OTHERWISE, GO TO SXQ.718



SXQ.718 In the past 12 months, with how many men have you had any kind of sex?


INSTRUCTIONS TO SP:

Please enter a number or enter zero for none.


|___|___|___|___|

ENTER NUMBER


REFUSED 77777

DON'T KNOW 99999


HARD EDIT: SXQ.718 must be equal to or less than SXQ.712.

Error message: “Your response is greater than your lifetime number of male partners. Please press the “Back” button, press “Clear,” and try again.”



BOX 3

CHECK ITEM SXQ.721:

  • IF SXQ.700 = 1, GO TO SXQ.724.

  • OTHERWISE, GO TO BOX 4.



SXQ.724 In your lifetime, with how many men have you had vaginal sex? Vaginal sex means a man’s penis in your vagina.


INSTRUCTIONS TO SP:

Please enter a number.


|___|___|___|___|

ENTER NUMBER


REFUSED 77777

DON'T KNOW 99999


HARD EDIT: SXQ.724 must be greater than zero.

Error message: "Your response is not consistent with your previous responses about male vaginal sex partners. Please press the “Back” button, press “Clear,” and try again."


HARD EDIT: SXQ.724 must be equal to or less than SXQ.712.

Error message: "Your response is greater than your lifetime number of male partners. Please press the “Back” button, press “Clear,” and try again.”



SXQ.727 In the past 12 months, with how many men have you had vaginal sex? Vaginal sex means a man’s penis in your vagina.


INSTRUCTIONS TO SP:

Please enter a number or enter zero for none.


|___|___|___|___|

ENTER NUMBER


REFUSED 77777

DON'T KNOW 99999


HARD EDIT: SXQ.727 must be equal to or less than SXQ.724.

Error message: “Your response is greater than your lifetime number of male vaginal sex partners. Please press the “Back” button, press “Clear”, and try again.”



BOX 4


CHECK ITEM SXQ.730:

  • IF SXQ.703 = 1, GO TO SXQ.621.

  • OTHERWISE, GO TO BOX 6.



SXQ.621 How old were you when you first performed oral sex on a man? Performing oral sex means your mouth on a man’s penis or genitals.


INSTRUCTIONS TO SP:

Please enter an age.


|___|___|

ENTER AGE IN YEARS


REFUSED 77

DON'T KNOW 99


HARD EDIT VALUES: 0-59

Error message: “Your response cannot exceed 59 years. Please press the “Back” button, press “Clear,” and try again.”

HARD EDIT: SXQ.621 must be equal to or less than current age.

Error message: “Your response is greater than your recorded age. Please press the “Back” button, press “Clear,” and try again.”



SXQ.624 In your lifetime, on how many men have you performed oral sex?


INSTRUCTIONS TO SP:

Please enter a number.


|___|___|___|___|

ENTER NUMBER


REFUSED 77777

DON'T KNOW 99999


HARD EDIT: SXQ.624 must be greater than zero.

Error message: "Your response is not consistent with your previous responses about male oral sex partners. Please press the “Back” button, press “Clear,” and try again."



SXQ.627 In the past 12 months, on how many men have you performed oral sex?


INSTRUCTIONS TO SP:

Please enter a number or enter zero for none.


|___|___|___|___|

ENTER NUMBER


REFUSED 77777

DON'T KNOW 99999


HARD EDIT: SXQ.627 must be equal to or less than SXQ.624.

Error message: “Your response is greater than your lifetime number of male oral sex partners. Please press the “Back” button, press “Clear,” and try again.”



BOX 5


CHECK ITEM SXQ.765:

  • IF SP HAD ONLY 1 LIFETIME ORAL SEX PARTNER (CODED ‘1’) IN SXQ.624, GO TO BOX 6.

  • OTHERWISE CONTINUE.



SXQ.630 How long has it been since the last time you performed oral sex on a new male partner? A new sexual partner is someone that you had never had sex with before.


INSTRUCTIONS TO SP:

Please enter a number.


|___|___|___|___|

ENTER NUMBER (OF DAYS, WEEKS, MONTHS OR YEARS)


REFUSED 77777

DON'T KNOW 99999


ENTER UNIT


Days 1

Weeks 2

Months 3

Years 4


HARD EDIT: Response must be equal to or less than current age minus SXQ.621.

Error message: “Your response is earlier than your response to the age when you first performed oral sex on a man. Please press the “Back” button, press “Clear,” and try again.”


HARD EDIT: SXQ.630 must be equal to or less than current age.

Error message: “Your response is greater than your recorded age. Please press the “Back” button, press “Clear,” and try again.”



BOX 6


CHECK ITEM SXQ.733:

  • IF SXQ.709 = 1, GO TO SXQ.736.

  • OTHERWISE, GO TO BOX 7.



SXQ.736 In your lifetime with how many women have you had sex? By sex, we mean sexual contact with another woman’s vagina or genitals.


INSTRUCTIONS TO SP:

Please enter a number.


|___|___|___|___|

ENTER NUMBER


REFUSED 77777

DON'T KNOW 99999


HARD EDIT: SXQ.736 must be greater than zero.

Error message: "Your response is not consistent with your previous responses about sex with a female partner. Please press the “Back” button, press “Clear,” and try again."



SXQ.739 In the past 12 months, with how many women have you had sex? By sex, we mean sexual contact with another woman’s vagina or genitals.


INSTRUCTIONS TO SP:

Please enter a number or enter zero for none.


|___|___|___|___|

ENTER NUMBER


REFUSED 77777

DON'T KNOW 99999


HARD EDIT: SXQ.739 must be equal to or less than SXQ.736.

Error message: “Your response is greater than your lifetime number of female partners. Please press the “Back” button, press “Clear”, and try again.”



SXQ.741 Have you ever performed oral sex on a woman? Performing oral sex means your mouth on a woman’s vagina or genitals.


INSTRUCTIONS TO SP:

Please select . . .


Yes 1

No 2 (BOX 7A)

REFUSED 7 (BOX 7A)

DON'T KNOW 9 (BOX 7A)



SXQ.633 How old were you when you first performed oral sex on a woman? Performing oral sex means your mouth on a woman’s vagina or genitals.


INSTRUCTIONS TO SP:

Please enter an age.


|___|___|

ENTER AGE IN YEARS


REFUSED 77

DON'T KNOW 99


HARD EDIT VALUES: 0-59

Error message: “Your response cannot exceed 59 years. Please press the “Back” button, press “Clear,” and try again.”


HARD EDIT: SXQ.633 must be equal to or less than current age.

Error message: “Your response is greater than your recorded age. Please press the “Back” button, press “Clear,” and try again.”



SXQ.636 In your lifetime, on how many women have you performed oral sex?


INSTRUCTIONS TO SP:

Please enter a number.


|___|___|___|___|

ENTER NUMBER


REFUSED 77777

DON'T KNOW 99999


HARD EDIT: SXQ.636 must be greater than zero.

Error message: "Your response is not consistent with your previous responses about female oral sex partners. Please press the “Back” button, press “Clear,” and try again."



SXQ.639 In the past 12 months, on how many women have you performed oral sex?


INSTRUCTIONS TO SP:

Please enter a number or enter zero for none.


|___|___|___|___|

ENTER NUMBER


REFUSED 77777

DON'T KNOW 99999


HARD EDIT: SXQ.639 must be equal to or less than SXQ.636.

Error message: “Your response is greater than your lifetime number of female oral sex partners. Please press the “Back” button, press “Clear,” and try again.”



BOX 6B


CHECK ITEM SXQ.768:

  • IF SP HAD ONLY 1 LIFETIME ORAL SEX PARTNER (CODED ‘1’) IN SXQ.636, GO TO BOX 7A.

  • OTHERWISE, CONTINUE.



SXQ.642 How long has it been since the last time you performed oral sex on a new female partner? A new sexual partner is someone that you had never had sex with before.


INSTRUCTIONS TO SP:

Please enter a number.


|___|___|___|___|

ENTER NUMBER (OF DAYS, WEEKS, MONTHS OR YEARS)


REFUSED 77777

DON'T KNOW 99999


ENTER UNIT


Days 1

Weeks 2

Months 3

Years 4


HARD EDIT: Response must be equal to or less than current age minus SXQ.633.

Error message: “Your response is earlier than your response to the age when you first performed oral sex on a woman. Please press the “Back” button, press “Clear,” and try again.”


HARD EDIT: SXQ.642 must be equal to or less than current age.

Error message: “Your response is greater than your recorded age. Please press the “Back” button, press “Clear,” and try again.”



BOX 7A


CHECK ITEM SXQ.744:

  • IF SP DID NOT HAVE A PARTNER IN PAST 12 MONTHS (SXQ.718, SXQ.727, SXQ.627, SXQ.639, AND SXQ.739 CODED ‘0000’ OR MISSING), GO TO SXQ.260.

  • IF SXQ.709 = 1 AND SXQ.700, SXQ.703, OR SXQ.706 = 1, THEN DISPLAY “The next set of questions is about all of your partners, males and females.”, THEN GO TO BOX 7.

  • OTHERWISE, GO TO BOX 7.



BOX 7


CHECK ITEM SXQ.747:

  • IF SP HAD ORAL SEX PARTNER IN PAST 12 MONTHS (SXQ.627 OR SXQ.639 GREATER THAN ‘0000’), THEN GO TO SXQ.645.

  • OTHERWISE, GO TO BOX 7B.



SXQ.645 When you performed oral sex in the past 12 months, how often would you use protection, like a condom or dental dam?


INSTRUCTIONS TO SP:

Please select one of the following choices.


Never 1

Rarely 2

Usually 3

Always 4

Unsure 5


REFUSED 7

DON'T KNOW 9



BOX 7B


CHECK ITEM SXQ.771:

  • IF SXQ.718, SXQ.727, OR SXQ.739 GREATER THAN ‘0000’, GO TO SXQ.648.

  • OTHERWISE, GO TO BOX 9.



SXQ.648 In the past 12 months, did you have any kind of sex with a person that you never had sex with before?


INSTRUCTIONS TO SP:

Please select . . .


Yes 1

No 2

REFUSED 7

DON'T KNOW 9



BOX 8A


CHECK ITEM SXQ.859:

  • IF SXQ.700 OR SXQ.706 = 1, THEN CONTINUE.

  • OTHERWISE, GO TO BOX 9,



SXQ.610 In the past 12 months, about how many times have you had {vaginal or anal/vaginal/anal} sex?


INSTRUCTIONS TO SP:

Please select one of the following choices.


Never 0

Once 1

2-11 times 2

12-51 times 3

52-103 times 4

104-364 times 5

365 times or more 6


REFUSED 77

DON'T KNOW 99


CAPI INSTRUCTON:

IF SXQ.700 = 1 AND SXQ.706 = 2, DISPLAY {vaginal}.

IF SXQ.700 = 2 AND SXQ.706 = 1, DISPLAY {anal}.

OTHERWISE, DISPLAY {vaginal or anal}.



BOX 8


CHECK ITEM SXQ.245:

  • IF SP DID NOT HAVE VAGINAL OR ANAL SEX (CODED ‘0’) IN SXQ.610, GO TO BOX 9.

  • OTHERWISE, CONTINUE WITH SXQ.250.



SXQ.250 In the past 12 months, about how often have you had {vaginal or anal/vaginal/anal} sex without using a condom?


INSTRUCTIONS TO SP:

Please select one of the following choices.


Never 1

Less than half of the time 2

About half of the time 3

Not always, but more than half of the time 4

Always 5


REFUSED 7

DON'T KNOW 9


CAPI INSTRUCTON:

IF SXQ.700 = 1 AND SXQ.706 = 2, DISPLAY {vaginal}.

IF SXQ.700 = 2 AND SXQ.706 = 1, DISPLAY {anal}.

OTHERWISE, DISPLAY {vaginal or anal}.



BOX 9


CHECK ITEM SXQ.750:

  • IF SP 14-29 YEARS AND IF SP HAD PARTNER IN PAST 12 MONTHS (SXQ.718, SXQ.727, SXQ.627, SXQ.639, OR SXQ.739 GREATER THAN ‘0000’), GO TO SXQ.651.

  • OTHERWISE, GO TO SXQ.260.



SXQ.651 Of the persons you had any kind of sex with in the past 12 months, how many were five or more years older than you?


INSTRUCTIONS TO SP:

Please enter a number or enter zero for none.


|___|___|___|___|

ENTER NUMBER


REFUSED 77777

DON'T KNOW 99999


HARD EDIT FOR FEMALES: SXQ.651 must be equal to or less than (sum of SXQ.718 and SXQ.739 and SXQ.627 and SXQ.727 and SXQ.639)

Error message: “Your response is greater than your total number of partners in the past 12 months. Please press the “Back” button, press “Clear,” and try again.”



SXQ.654 Of the persons you had any kind of sex with in the past 12 months, how many were five or more years younger than you?


INSTRUCTIONS TO SP:

Please enter a number or enter zero for none.


|___|___|___|___|

ENTER NUMBER


REFUSED 77777

DON'T KNOW 99999


HARD EDIT FOR FEMALES: SXQ.654 must be equal to or less than (sum of SXQ.718 and SXQ.739 and SXQ.627 and SXQ.727 and SXQ.639)

Error message: “Your response is greater than your total number of partners in the past 12 months. Please press the “Back” button, press “Clear,” and try again.”


HARD EDIT (combined) for SXQ.651 and SXQ.654

HARD EDIT FOR FEMALES: (sum of SXQ.651 and SXQ.654) must be equal to or less than (sum of SXQ.718 and SXQ.739 and SXQ.627 and SXQ.727 and SXQ.639)

Error message: "Your responses to the last two questions are not consistent with your total number of partners in the past 12 months. Please press the “Back” button, press “Clear,” and try again."





SXQ.260 Has a doctor or other health care professional ever told you that you had genital herpes?


INSTRUCTIONS TO SP:

Please select . . .


Yes 1

No 2

REFUSED 7

DON'T KNOW 9



SXQ.265 Has a doctor or other health care professional ever told you that you had genital warts?


INSTRUCTIONS TO SP:

Please select . . .


Yes 1

No 2

REFUSED 7

DON'T KNOW 9



SXQ.753 Has a doctor or other health care professional ever told you that you had human papillomavirus or HPV?


INSTRUCTIONS TO SP:

Please select . . .


Yes 1

No 2

REFUSED 7

DON'T KNOW 9



SXQ.270 In the past 12 months, has a doctor or other health care professional told you that you had gonorrhea, sometimes called GC or clap?


INSTRUCTIONS TO SP:

Please select . . .


Yes 1

No 2

REFUSED 7

DON'T KNOW 9



SXQ.272 In the past 12 months, has a doctor or other health care professional told you that you had chlamydia?


INSTRUCTIONS TO SP:

Please select . . .


Yes 1

No 2

REFUSED 7

DON'T KNOW 9



BOX 11


CHECK ITEM SXQ.756:

  • IF SP 18-59 YEARS, GO TO SXQ.294.

  • OTHERWISE, GO TO END OF SECTION.



SXQ.294 Do you think of yourself as . . .


Heterosexual or straight (attracted to men) 1

Homosexual or lesbian (attracted to women) 2

Bisexual (attracted to men and women) 3

Something else 4

Not sure 5

REFUSED 7

DON'T KNOW 9


SEXUAL BEHAVIOR – (SXQ)

Target Group: Male SPs 14-69 (Audio-CASI)



SXQ.615_ The next set of questions is about your sexual history. By sex, we mean vaginal, oral, or anal sex.

Please remember that your answers are strictly confidential.



BOX 1B


CHECK ITEM SXQ.873:

  • IF SP AGE GREATER THAN 17, GO TO SXQ.800.

  • OTHERWISE, CONTINUE.




SXQ.615 Have you ever had any kind of sex?

(Target 14-17)


INSTRUCTIONS TO SP:

Please select . . .


Yes 1

No 2 (BOX 8)

REFUSED 7 (BOX 8)

DON'T KNOW 9 (BOX 8)



SXQ.800 Have you ever had vaginal sex, also called sexual intercourse, with a woman? This means your penis in a woman’s vagina.

(Target 14-69)


INSTRUCTIONS TO SP:

Please select . . .


Yes 1

No 2

REFUSED 7

DON'T KNOW 9



SXQ.803 Have you ever performed oral sex on a woman? This means putting your mouth on a woman’s vagina or genitals.

(Target 14-69)


INSTRUCTIONS TO SP:

Please select . . .


Yes 1

No 2

REFUSED 7

DON'T KNOW 9



SXQ.806 Have you ever had anal sex with a woman? Anal sex means contact between your penis and a woman’s anus or butt.

(Target 14-69)


INSTRUCTIONS TO SP:

Please select . . .


Yes 1

No 2

REFUSED 7

DON'T KNOW 9



SXQ.809 Have you ever had any kind of sex with a man, including oral or anal?

(Target 14-69)


INSTRUCTIONS TO SP:

Please select . . .


Yes 1

No 2

REFUSED 7

DON'T KNOW 9



BOX 1A


CHECK ITEM SXQ.862:

  • IF SXQ.803 = 1 AND SXQ.800, SXQ.806, AND SXQ.809 NOT EQUAL TO ‘1’, GO TO BOX 4.

  • IF SXQ.800, SXQ.803, SXQ.806, AND SXQ.809 NOT EQUAL TO ‘1’, GO TO BOX 8.

  • OTHERWISE, CONTINUE.



SXQ.618
(Target 14-69)

How old were you the first time you had any kind of sex, including {vaginal, anal, or oral / vaginal or anal / vaginal or oral / anal or oral / vaginal / anal / oral}?


INSTRUCTIONS TO SP:

Please enter an age.


|___|___|

ENTER AGE IN YEARS


REFUSED 77

DON'T KNOW 99


CAPI INSTRUCTION:

IF SXQ.800 AND SXQ.803 = 1 AND SXQ.806 AND SXQ.809 NOT EQUAL TO ‘1’, DISPLAY {vaginal or oral}.


IF SXQ.800 AND SXQ.806 = 1 AND SXQ.803 AND SXQ.809 NOT EQUAL TO ‘1’, DISPLAY {vaginal or anal}.


IF SXQ.809 = 1 AND SXQ.800 NOT EQUAL TO ‘1’, DISPLAY {anal or oral}.

IF SXQ.803 AND SXQ.806 = 1 AND SXQ.800 NOT EQUAL TO ‘1’, DISPLAY {anal or oral}.


IF SXQ.800 = 1 AND SXQ.803, SXQ.806, AND SXQ.809 NOT EQUAL TO ‘1’, DISPLAY {vaginal}.

IF SXQ.806 = 1 AND SXQ.800, SXQ.803, AND SXQ.809 NOT EQUAL TO ‘1’, DISPLAY {anal}.


OTHERWISE, DISPLAY {vaginal, anal, or oral}.


HARD EDIT VALUES: 0-69

Error message: “Your response cannot exceed 69 years. Please press the “Back” button, press “Clear,” and try again.”

HARD EDIT: SXQ.618 must be equal to or less than current age.

Error message: “Your response is greater than your recorded age. Please press the “Back” button, press “Clear,” and try again.”



BOX 1


CHECK ITEM SXQ.801:

  • IF SXQ.803=1 AND SXQ.800 AND SXQ.806 NOT EQUAL TO ‘1’, GO TO BOX 3.

  • IF SXQ.800=1 AND SXQ.803 AND SXQ.806 NOT EQUAL TO ‘1’, GO TO BOX 3.

  • IF SXQ.809=1 AND SXQ.800, SXQ.803, AND SXQ.806 NOT EQUAL TO ‘1’, GO TO BOX 3.

  • OTHERWISE, CONTINUE.



SXQ.812 In your lifetime, with how many women have you had any kind of sex?

(Target 14-69)


INSTRUCTIONS TO SP:

Please enter a number.


|___|___|___|___|

ENTER NUMBER


REFUSED 77777

DON'T KNOW 99999


HARD EDIT: SXQ.812 must be greater than zero.

Error message: “Your response is not consistent with your previous responses about female sex partners. Please press the “Back” button, press “Clear,” and try again.”



BOX 2


CHECK ITEM SXQ.815:

  • IF SP 60-69 YEARS AND SXQ.809 = 1, GO TO SXQ.410.

  • IF SP 60-69 YEARS AND SXQ.809 NOT EQUAL TO 1, GO TO END OF SECTION.

  • OTHERWISE, CONTINUE WITH SXQ.818.




SXQ.818 In the past 12 months, with how many women have you had any kind of sex?


INSTRUCTIONS TO SP:

Please enter a number or enter zero for none.


|___|___|___|___|

ENTER NUMBER


REFUSED 77777

DON'T KNOW 99999


HARD EDIT: SXQ.818 must be equal to or less than SXQ.812.

Error message: “Your response is greater than your lifetime number of female partners. Please press the “Back” button, press “Clear,” and try again.”



BOX 3


CHECK ITEM SXQ.821:

  • IF SXQ.800 = 1, GO TO SXQ.824.

  • OTHERWISE, GO TO BOX 4.




SXQ.824 In your lifetime, with how many women have you had vaginal sex? Vaginal sex means your penis in a woman’s vagina.


INSTRUCTIONS TO SP:

Please enter a number.


|___|___|___|___|

ENTER NUMBER


REFUSED 77777

DON'T KNOW 99999


HARD EDIT: SXQ.824 must be greater than zero.

Error message: "Your response is not consistent with your previous responses about female vaginal sex partners. Please press the “Back” button, press “Clear,” and try again."


HARD EDIT: SXQ.824 must be equal to or less than SXQ.812.

Error message: “Your response is greater than your lifetime number of female partners. Please press the “Back” button, press “Clear,” and try again.”



SXQ.827 In the past 12 months, with how many women have you had vaginal sex? Vaginal sex means your penis in a woman’s vagina.


INSTRUCTIONS TO SP:

Please enter a number or enter zero for none.


|___|___|___|___|

ENTER NUMBER


REFUSED 77777

DON'T KNOW 99999


HARD EDIT: SXQ.827 must be equal to or less than SXQ.824.

Error message: “Your response is greater than your lifetime number of female vaginal sex partners. Please press the “Back” button, press “Clear”, and try again.”



BOX 4


CHECK ITEM SXQ.830:

  • IF SXQ.803 = 1, GO TO SXQ.633.

  • OTHERWISE, GO TO BOX 5.




SXQ.633 How old were you when you first performed oral sex on a woman? Performing oral sex means your mouth on a woman’s vagina or genitals.


INSTRUCTIONS TO SP:

Please enter an age.


|___|___|

ENTER AGE IN YEARS


REFUSED 77

DON'T KNOW 99


HARD EDIT VALUES: 0-59

Error message: “Your response cannot exceed 59 years. Please press the “Back” button, press “Clear,” and try again.”

HARD EDIT: SXQ.633 must be equal to or less than current age.

Error message: “Your response is greater than your recorded age. Please press the “Back” button, press “Clear,” and try again.”



SXQ.636 In your lifetime, on how many women have you performed oral sex?


INSTRUCTIONS TO SP:

Please enter a number.


|___|___|___|___|

ENTER NUMBER


REFUSED 77777

DON'T KNOW 99999


HARD EDIT: SXQ.636 must be greater than zero.

Error message: "Your response is not consistent with your previous responses about female oral sex partners. Please press the “Back” button, press “Clear,” and try again."



SXQ.639 In the past 12 months, on how many women have you performed oral sex?


INSTRUCTIONS TO SP:

Please enter a number or enter zero for none.


|___|___|___|___|

ENTER NUMBER


REFUSED 77777

DON'T KNOW 99999


HARD EDIT: SXQ.639 must be equal to or less than SXQ.636.

Error message: “Your response is greater than your lifetime number of female oral sex partners. Please press the “Back” button, press “Clear,” and try again.”



BOX 4B


CHECK ITEM SXQ.868:

  • IF SP HAD ONLY 1 LIFETIME ORAL SEX PARTNER (CODED ‘1’) IN SXQ.636, GO TO BOX 5.

  • OTHERWISE CONTINUE.




SXQ.642 How long has it been since the last time you performed oral sex on a new female partner? A new sexual partner is someone that you had never had sex with before.


INSTRUCTIONS TO SP:

Please enter a number.


|___|___|___|___|

ENTER NUMBER (OF DAYS, WEEKS, MONTHS OR YEARS)


REFUSED 77777

DON'T KNOW 99999


ENTER UNIT


Days 1

Weeks 2

Months 3

Years 4


HARD EDIT: Response must be equal to or less than current age minus SXQ.633.

Error message: “Your response is earlier than your response to the age when you first performed oral sex on a woman. Please press the “Back” button, press “Clear,” and try again.”


HARD EDIT: SXQ.642 must be equal to or less than current age.

Error message: “Your response is greater than your recorded age. Please press the “Back” button, press “Clear,” and try again.”



BOX 5


CHECK ITEM SXQ.833:

  • IF SXQ.809 = 1, GO TO SXQ.410.

  • OTHERWISE, GO TO BOX 9.


SXQ.410 In your lifetime, with how many men have you had anal or oral sex?

(Target 14-69)

INSTRUCTIONS TO SP:

Please enter a number or enter zero for none.


|___|___|___|___|


ENTER NUMBER


REFUSED 77777

DON'T KNOW 99999



HARD EDIT: SXQ.410 must be greater than zero.

Error message: “Your response is not consistent with your previous responses about male sex partners. Please press the “Back” button, press “Clear,” and try again.”



BOX 2


CHECK ITEM SXQ.815:

  • IF SP IS 60-69 YEARS, GO TO SXQ.836.

  • OTHERWISE, CONTINUE WITH SXQ.550.



SXQ.550 In the past 12 months, with how many men have you had anal or oral sex?


INSTRUCTIONS TO SP:

Please enter a number or enter zero for none.


|___|___|___|___|


ENTER NUMBER


REFUSED 77777

DON'T KNOW 99999


HARD EDIT: SXQ.450 must be equal to or less than SXQ.410.

Error message: “Your response is greater than your lifetime number of male partners. Please press the “Back” button, press “Clear,” and try again.”



SXQ.836 In your lifetime, with how many men have you had anal sex?

(Target 14-69)


INSTRUCTIONS TO SP:

Please enter a number or enter zero for none.


|___|___|___|___|

ENTER NUMBER


REFUSED 77777

DON'T KNOW 99999



BOX 6


CHECK ITEM SXQ.839:

  • IF SP IS 60-69 YEARS, GO TO SXQ.853.

  • IF SP HAD NO ANAL SEX PARTNERS (CODED ‘0000’ IN SXQ.836), GO TO SXQ.853.

  • OTHERWISE, CONTINUE WITH SXQ.841.




SXQ.841 In the past 12 months, with how many men have you had anal sex?


INSTRUCTIONS TO SP:

Please enter a number or enter zero for none.


|___|___|___|___|

ENTER NUMBER


REFUSED 77777

DON'T KNOW 99999


HARD EDIT: SXQ.841 must be equal to or less than SXQ.836.

Error message: “Your response is greater than your lifetime number of male partners. Please press the “Back” button, press “Clear,” and try again.”



SXQ.853 Have you ever performed oral sex on a man? Performing oral sex means your mouth on a man’s penis or genitals.

(Target 14-69)


INSTRUCTIONS TO SP:

Please select . . .


Yes 1

No 2

REFUSED 7

DON'T KNOW 9



BOX 7


CHECK ITEM SXQ.847:

  • IF SP NEVER HAD ORAL MALE PARTNER (CODED ‘2’, ‘7’, OR ‘9’) IN SXQ.853 AND SP IS 60-69 YEARS, GO TO END OF SECTION.

  • IF SP NEVER HAD ORAL MALE PARTNER (CODED ‘2’, ‘7’, OR ‘9’) IN SXQ.853 AND SP IS 14-59 YEARS, GO TO BOX 9A.

  • OTHERWISE, CONTINUE WITH SXQ.621.




SXQ.621 How old were you when you first performed oral sex on a man? Performing oral sex means your mouth on a man’s penis or genitals.

(Target 14-69)


INSTRUCTIONS TO SP:

Please enter an age.


|___|___|

ENTER AGE IN YEARS


REFUSED 77

DON'T KNOW 99


HARD EDIT VALUES: 0-69

Error message: “Your response cannot exceed 69 years. Please press the “Back” button, press “Clear,” and try again.”

HARD EDIT: SXQ.621 must be equal to or less than current age.

Error message: “Your response is greater than your recorded age. Please press the “Back” button, press “Clear,” and try again.”



SXQ.624 In your lifetime, on how many men have you performed oral sex?

(Target 14-69)


INSTRUCTIONS TO SP:

Please enter a number.


|___|___|___|___|

ENTER NUMBER


REFUSED 77777

DON'T KNOW 99999


HARD EDIT: SXQ.624 must be greater than zero.

Error message: "Your response is not consistent with your previous responses about male oral sex partners. Please press the “Back” button, press “Clear,” and try again."



BOX 8


CHECK ITEM SXQ.850:

  • IF SP 60-69 YEARS, GO TO END OF SECTION.

  • IF SP 14-17 YEARS AND SXQ.615 = 2, 7, OR 9, GO TO SXQ.280.

  • IF SXQ.800, SXQ.803, SXQ.806, AND SXQ.809 = 2, 7, OR 9, GO TO SXQ.280.

  • OTHERWISE, CONTINUE WITH SXQ.627.




SXQ.627 In the past 12 months, on how many men have you performed oral sex?


INSTRUCTIONS TO SP:

Please enter a number or enter zero for none.


|___|___|___|___|

ENTER NUMBER


REFUSED 77777

DON'T KNOW 99999


HARD EDIT: SXQ.627 must be equal to or less than SXQ.624.

Error message: “Your response is greater than your lifetime number of male oral sex partners. Please press the “Back” button, press “Clear,” and try again.”



BOX 8B


CHECK ITEM SXQ.865:

  • IF SP HAD ONLY 1 LIFETIME MALE ORAL SEX PARTNER (CODED ‘1’) IN SXQ.624, GO TO BOX 9A.

  • OTHERWISE CONTINUE.




SXQ.630 How long has it been since the last time you performed oral sex on a new male partner? A new sexual partner is someone that you had never had sex with before.


INSTRUCTIONS TO SP:

Please enter a number.


|___|___|___|___|

ENTER NUMBER (OF DAYS, WEEKS, MONTHS OR YEARS)


REFUSED 77777

DON'T KNOW 99999


ENTER UNIT


Days 1

Weeks 2

Months 3

Years 4


HARD EDIT: Response must be equal to or less than current age minus SXQ.621.

Error message: “Your response is earlier than your response to the age when you first performed oral sex on a man. Please press the “Back” button, press “Clear,” and try again.”


HARD EDIT: SXQ.630 must be equal to or less than current age.

Error message: “Your response is greater than your recorded age. Please press the “Back” button, press “Clear,” and try again.”



BOX 9A


CHECK ITEM SXQ.844:

  • IF SP DID NOT HAVE A PARTNER IN PAST 12 MONTHS (SXQ.627, SXQ.639, SXQ.818, SXQ.827, AND SXQ.841 CODED ‘0000’ OR MISSING), GO TO SXQ.260.

  • IF SXQ.809 = 1 AND SXQ.800, SXQ.803, OR SXQ.806 = 1, THEN DISPLAY “The next set of questions is about all of your partners, males and females.”, THEN GO TO BOX 9.

  • OTHERWISE, GO TO BOX 9.



BOX 9


CHECK ITEM SXQ.845:

  • IF SP HAD ORAL SEX PARTNER IN PAST 12 MONTHS (SXQ.627 OR SXQ.639 GREATER THAN ‘0000’), GO TO SXQ.645.

  • OTHERWISE, GO TO BOX 9B.




SXQ.645 When you performed oral sex in the past 12 months, how often would you use protection, like a condom or dental dam?


INSTRUCTIONS TO SP:

Please select one of the following choices.


Never 1

Rarely 2

Usually 3

Always 4

Unsure 5


REFUSED 7

DON'T KNOW 9



BOX 9B


CHECK ITEM SXQ.871:

  • IF SXQ.818, SXQ.841, OR SXQ.827 GREATER THAN ‘0000’, GO TO SXQ.648.

  • OTHERWISE, GO TO BOX 11.




SXQ.648 In the past 12 months, did you have any kind of sex with a person that you never had sex with before?


INSTRUCTIONS TO SP:

Please select . . .


Yes 1

No 2

REFUSED 7

DON'T KNOW 9



BOX 10A


CHECK ITEM SXQ.859:

  • IF SXQ.800, SXQ.806, AND SXQ.809 NOT EQUAL TO ‘1’, GO TO BOX 11.

  • OTHERWISE, GO TO SXQ.610.



SXQ.610 In the past 12 months, about how many times have you had {vaginal or anal/vaginal/anal} sex?


INSTRUCTIONS TO SP:

Please select one of the following choices.


Never 0

Once 1

2-11 times 2

12-51 times 3

52-103 times 4

104-364 times 5

365 times or more 6


REFUSED 77

DON'T KNOW 99


CAPI INSTRUCTION:

IF SXQ.800 = 1 AND SXQ.806 AND SXQ.809 NOT EQUAL TO ‘1’, DISPLAY {vaginal}.

IF SXQ.806 = 1 AND SXQ.800 NOT EQUAL TO ‘1’, DISPLAY {anal}.

IF SXQ.836 GREATER THAN ‘0000’ AND SXQ.800 NOT EQUAL TO ‘1’, DISPLAY {anal}.

OTHERWISE, DISPLAY {vaginal or anal}.



BOX 10


CHECK ITEM SXQ.245:

  • IF SP DID NOT HAVE VAGINAL OR ANAL SEX (CODED ‘0’) IN SXQ.610, GO TO BOX 11.

  • OTHERWISE, CONTINUE WITH SXQ.250.




SXQ.250 In the past 12 months, about how often have you had {vaginal or anal/vaginal/anal} sex without using a condom?


INSTRUCTIONS TO SP:

Please select one of the following choices.


Never 1

Less than half of the time 2

About half of the time 3

Not always, but more than half of the time 4

Always 5


REFUSED 7

DON'T KNOW 9


CAPI INSTRUCTON:

IF SXQ.800 = 1 AND SXQ.806 AND SXQ.809 NOT EQUAL TO ‘1’, DISPLAY {vaginal}.

IF SXQ.806 = 1 AND SXQ.800 NOT EQUAL TO ‘1’, DISPLAY {anal}.

OTHERWISE, DISPLAY {vaginal or anal}.



BOX 11


CHECK ITEM SXQ.856:

  • IF SP 14-29 YEARS AND IF SP HAD PARTNER IN PAST 12 MONTHS (SXQ.627, SXQ.639, SXQ.818, SXQ.827, OR SXQ.841 GREATER THAN ‘0000’), GO TO SXQ.651.

  • OTHERWISE, GO TO SXQ.260.




SXQ.651 Of the persons you had any kind of sex with in the past 12 months, how many were five or more years older than you?


INSTRUCTIONS TO SP:

Please enter a number or enter zero for none.


|___|___|___|___|

ENTER NUMBER


REFUSED 77777

DON'T KNOW 99999


HARD EDIT FOR MALES: SXQ.651 must be equal to or less than (sum of SXQ.818 and SXQ.841 and SXQ.627 and SXQ.639 and SXQ.827)

Error message: “Your response is greater than your total number of partners in the past 12 months. Please press the “Back” button, press “Clear,” and try again.”



SXQ.654 Of the persons you had any kind of sex with in the past 12 months, how many were five or more years younger than you?


INSTRUCTIONS TO SP:

Please enter a number or enter zero for none.


|___|___|___|___|

ENTER NUMBER


REFUSED 77777

DON'T KNOW 99999


HARD EDIT FOR MALES: SXQ.654 must be equal to or less than (sum of SXQ.818 and SXQ.841 and SXQ.627 and SXQ.639 and SXQ.827).

Error message: “Your response is greater than your total number of partners in the past 12 months. Please press the “Back” button, press “Clear,” and try again.”


HARD EDIT (combined) for SXQ.651 and SXQ.654

HARD EDIT FOR MALES: (sum of SXQ.651 and SXQ.654) must be equal to or less than (sum of SXQ.818 and SXQ.841 and SXQ.627 and SXQ.639 and SXQ.827).

Error message: "Your responses to the last two questions are not consistent with your total number of partners in the past 12 months. Please press the “Back” button, press “Clear,” and try again."



SXQ.260 Has a doctor or other health care professional ever told you that you had genital herpes?


INSTRUCTIONS TO SP:

Please select . . .


Yes 1

No 2

REFUSED 7

DON'T KNOW 9



SXQ.265 Has a doctor or other health care professional ever told you that you had genital warts?


INSTRUCTIONS TO SP:

Please select . . .


Yes 1

No 2

REFUSED 7

DON'T KNOW 9



SXQ.270 In the past 12 months, has a doctor or other health care professional told you that you had gonorrhea, sometimes called GC or clap?


INSTRUCTIONS TO SP:

Please select . . .


Yes 1

No 2

REFUSED 7

DON'T KNOW 9



SXQ.272 In the past 12 months, has a doctor or other health care professional told you that you had chlamydia?


INSTRUCTIONS TO SP:

Please select . . .


Yes 1

No 2

REFUSED 7

DON'T KNOW 9



SXQ.280 Are you circumcised or uncircumcised?


INSTRUCTIONS TO SP:

Please select . . .


CAPI INSTRUCTIONS:

Display the sketches below each selection. Sketch should display by default.

ACASI FIGURE SXQ1 – CLINICAL SKETCH OF CIRCUMCISED PENIS

ACASI FIGURE SXQ2 – CLINICAL SKETCH OF UNCIRCUMCISED PENIS


Circumcised 1

Uncircumcised 2

REFUSED 7

DON'T KNOW 9



BOX 12


CHECK ITEM SXQ.285:

  • IF SP 18-59 YEARS, CONTINUE WITH SXQ.292.

  • OTHERWISE, GO TO END OF SECTION.



SXQ.292 Do you think of yourself as . . .


Heterosexual or straight (attracted to women) 1

Homosexual or gay (attracted to men) 2

Bisexual (attracted to men and women) 3

Something else 4

Not sure 5

REFUSED 7

DON'T KNOW 9

Pubertal Maturation


CAPI INSTRUCTION: Please add two additional Training instructions using pictures for ages 8-9 and Ages 10-19 in the TUQ section of ACASI.


PMQ.INT_ The following questions ask about changes that happen during puberty. Puberty is the time when your body develops into a young adult. The answers to questions about your body help us to understand how children and teenagers grow and change. Your answers will be kept private. Nobody can see your answers and we will not show them to anyone.


Please press the Next button to begin.


CAPI INSTRUCTION: The introduction above should appear by itself on its own screen.


BOX 1


CHECK ITEM PMQ.005:

IF SP = FEMALE, CONTINUE. OTHERWISE, GO TO PMQ.070.



PMQ.010_ The next screen shows stages of breast development. Please look at the drawings and listen to the descriptions. Then choose the drawing that looks the most like your body.


Please press the Next button to continue.


CAPI INSTRUCTION: The breast introduction above should appear by itself on its own screen.


BOX 2


CHECK ITEM PMQ.015:

IF SP = FEMALE AND AGE = 8 OR 9, CONTINUE. OTHERWISE, GO TO PMQ.030.



PMQ.020 Please choose the drawing that looks the most like your body.

Stage 1 female breast 1 (PMQ.040_)

Stage 2 female breast 2 (PMQ.040_)

Stage 3 female breast 3 (PMQ.040_)

Stage 4 female breast 4 (PMQ.040_)

REFUSED 7 (PMQ.040_)

DON'T KNOW 9 (PMQ.040_)


CAPI INSTRUCTION: Display female breast images 1-4 on buttons. Highlight each button as the description of the development stage is read. Label each button below the image: Drawing 1, Drawing 2, Drawing 3, Drawing 4.





PMQ.030 Please choose the drawing that looks the most like your body.

Stage 1 female breast 1

Stage 2 female breast 2

Stage 3 female breast 3

Stage 4 female breast 4

Stage 5 female breast 5

REFUSED 7

DON'T KNOW 9


CAPI INSTRUCTION: Display female breast images 1-5 on buttons. Highlight each button as the description of the development stage is read. Label each button below the image: Drawing 1, Drawing 2, Drawing 3, Drawing 4, Drawing 5.


PMQ.040_ The next screen shows stages of hair growth in your private area. Please look at the drawings and listen to the descriptions. Then choose the drawing that looks the most like your body.


Please press the next button to continue.


CAPI INSTRUCTION: The female hair growth introduction above should appear by itself on its own screen.



BOX 3


CHECK ITEM PMQ.045:

IF SP = FEMALE AND AGE = 8 OR 9, CONTINUE. OTHERWISE, GO TO PMQ.060.



PMQ.050 Please choose the drawing that looks the most like your body.

Stage 1 female hair 1 (PMQ.130)

Stage 2 female hair 2 (PMQ.130)

Stage 3 female hair 3 (PMQ.130)

Stage 4 female hair 4 (PMQ.130)

REFUSED 7 (PMQ.130)

DON'T KNOW 9 (PMQ.130)


CAPI INSTRUCTION: Display female hair growth images 1-4 on buttons. Highlight each button as the description of the development stage is read. Label each button below the image: Drawing 1, Drawing 2, Drawing 3, Drawing 4.



PMQ.060 Please choose the drawing that looks the most like your body.

Stage 1 female hair 1 (PMQ.130)

Stage 2 female hair 2 (PMQ.130)

Stage 3 female hair 3 (PMQ.130)

Stage 4 female hair 4 (PMQ.130)

Stage 5 female hair 5 (PMQ.130)

REFUSED 7 (PMQ.130)

DON'T KNOW 9 (PMQ.130)


CAPI INSTRUCTION: Display female hair growth images 1-5 on buttons. Highlight each button as the description of the development stage is read. Label each button below the image: Drawing 1, Drawing 2, Drawing 3, Drawing 4, Drawing 5.




PMQ.070_ The next screen shows stages of penis, testicle, and scrotum growth in your private area. Please look at the drawings and listen to the descriptions. Then choose the drawing that looks the most like your body.


Please press the next button to continue.


CAPI INSTRUCTION: The penis, testicle, and scrotum growth introduction above Should appear by itself on its own screen.


BOX 4


CHECK ITEM PMQ.075:

IF SP = MALE AND AGE = 8 or 9, CONTINUE. OTHERWISE, GO TO PMQ.090



PMQ.080 Please choose the drawing that looks the most like your body.

Stage 1 male penis 1 (PMQ.100_)

Stage 2 male penis 2 (PMQ.100_)

Stage 3 male penis 3 (PMQ.100_)

Stage 4 male penis 4 (PMQ.100_)

REFUSED 7 (PMQ.100_)

DON'T KNOW 9 (PMQ.100_)


CAPI INSTRUCTION: Display male penis, testicle, and scrotum growth images 1-4 on buttons. Highlight each button as the description of the development stage is read. Label each button below the image: Drawing 1, Drawing 2, Drawing 3, Drawing 4.



PMQ.090 Please choose the drawing that looks the most like your body.

Stage 1 male penis 1

Stage 2 male penis 2

Stage 3 male penis 3

Stage 4 male penis 4

Stage 5 male penis 5

REFUSED 7

DON'T KNOW 9


CAPI INSTRUCTION: Display male penis, testicle, and scrotum growth images 1-5 on buttons. Highlight each button as the description of the development stage is read. Label each button below the image: Drawing 1, Drawing 2, Drawing 3, Drawing 4, Drawing 5.


PMQ.100_ The next screen shows stages of hair growth in your private area. Please look at the drawings and listen to the descriptions. Then choose the drawing that looks the most like your body.


Please press the next button to continue.


CAPI INSTRUCTION: The male hair growth introduction above should appear by itself on its own screen.



BOX 5


CHECK ITEM PMQ.105:

IF SP = MALE AND AGE = 8 or 9, CONTINUE. OTHERWISE, GO TO PMQ.120



PMQ.110 Please choose the drawing that looks the most like your body.

Stage 1 male hair 1 (PMQ.130)

Stage 2 male hair 2 (PMQ.130)

Stage 3 male hair 3 (PMQ.130)

Stage 4 male hair 4 (PMQ.130)

REFUSED 7 (PMQ.130)

DON'T KNOW 9 (PMQ.130)


CAPI INSTRUCTION: Display male hair growth images 1-4 on buttons. Highlight each button as the description of the development stage is read. Label each button below the image: Drawing 1, Drawing 2, Drawing 3, Drawing 4.



PMQ.120 Please choose the drawing that looks the most like your body.

Stage 1 male hair 1

Stage 2 male hair 2

Stage 3 male hair 3

Stage 4 male hair 4

Stage 5 male hair 5

REFUSED 7

DON'T KNOW 9


CAPI INSTRUCTION: Display male hair growth images 1-5 on buttons. Highlight each button as the description of the development stage is read. Label each button below the image: Drawing 1, Drawing 2, Drawing 3, Drawing 4, Drawing 5.


PMQ.130 What was it like using the computer to answer the questions? Please choose an answer.


The computer was easy to use 1

The computer was somewhat difficult to use …2

The computer was hard to use …3

REFUSED 7

DON'T KNOW 9


PMQ.140 What was it like choosing a picture of {private parts and hair/breasts and hair}? Please choose an answer.


CAPI INSTRUCTION:

IF SP = MALE DISPLAY "private parts and hair." IF SP = FEMALE DISPLAY "breasts and hair."


I did not have trouble choosing a drawing. 1

I had some trouble choosing a drawing. …2

I had a lot of trouble choosing a drawing. …3

REFUSED 7

DON'T KNOW 9

PMQ.INT_



PMQ.010_

PMQ.020


PMQ.030


PMQ.040_



PMQ.050


PMQ.060


PMQ.070_


PMQ.080


PMQ.090


PMQ.100_


PMQ.110


PMQ.120


PMQ.130


PMQ.140 (Female)


Training Question (Ages 8-9)

Training Question (Ages 10-19)




SPECIAL FOLLOW-UP QUESTIONNAIRES











































HANES Hepatitis C Follow-Up Questionnaire


Telephone survey script and questionnaire:


I am calling from the NHANES program. You participated in our examination survey in _____,<month/year>, and on ______ <date> you were mailed a letter with your hepatitis C test result. Explain what report this is. Participants get preliminary results at the time of the examination, early reports of abnormal labs (liver function tests) and letters reporting other possible infection...Hepatitis B.


  1. Did you receive a letter in the mail with your Hepatitis C test results?


1. Yes

2. No –> <verify address, describe letter and fact sheet, if absolutely no recall, resend letter, follow-up in two months> (if participant has questions about hepatitis C, transfer call to Dr. Kathryn Porter (ext. 4441) or Dr. Geraldine McQuillan (ext. 4371). End interview


I would like to ask you some questions about what you know about hepatitis C and any follow-up you may have taken since getting the letter. The interview will take about 20 minutes. All information you provide is strictly confidential, and your participation is voluntary. Information will be used by the Centers for Disease Control and Prevention to help people with hepatitis C.

May we proceed with the interview?

If "yes", go to 2). If not - set up an appointment for a better time, or note the reason for the refusal.


2) There are many types of hepatitis. Before receiving the letter with your test result, had you heard of hepatitis C?


1. Yes

2. No

3. Heard of hepatitis, but not specifically hepatitis C

7. Refused

9. Don’t know


3) Was the test result in our letter the first time you were told you had hepatitis C?


1. Yes [skip to 6]

2. No

7. Refused [skip to 6]

9. Don’t know [skip to 6]


4) For about how long have you known that you had hepatitis C? Would you say..


1. One year

2. 2 to 5 years

3. More than 5 years

7. Refused

9. Don’t know


5) Why were you first tested for hepatitis C? Was it because:


1. You donated blood?

2. You had other blood tests done for a routine physical that showed you might have liver disease?

3. You were sick with symptoms like fatigue, nausea, stomach pain, yellowing of the eyes or skin (known as jaundice)?

4. You were exposed to blood while on the job?

5. You or your doctor thought you were at risk of having Hepatitis C?

6. You had an other reason?

7. Refused

9. Don’t know


Now I’m going to ask you some questions about what you have done since finding out that you have hepatitis C.


  1. Did you see a doctor or other health professional about your Hepatitis C test result? (If tested before NHANES, question refers to first test; otherwise refers to NHANES test)


1. Yes [skip to 8]

2. No

7. Refused

9. Don’t know


  1. Do you have an appointment to see a doctor or other health care professional about your hepatitis C test result?


1. Yes [skip to 15]

2. No [skip to 15]

7. Refused [skip to 15]

9. Don’t know [skip to 15]


8) When you saw a doctor or other health professional about your hepatitis C test results, did you have other blood tests to check how your liver is working?


1. Yes

2. No

7. Refused

9. Don’t know


  1. Which of the following statements describes most closely what your doctor told you about your hepatitis C test result? (Read each statement and check only one)


1. You have hepatitis C and need regular medical follow-up.

2. You tested positive for hepatitis C, but you do not need to do anything or worry about it. [skip to 15]

3. You really don’t have hepatitis C because a follow-up test showed that the positive test result was in error. (End interview)

4. Other

7. Refused

9. Don’t know


10) Did you have a liver biopsy (procedure to get a small piece of your liver through a needle)?


1. Yes

2. No

7. Refused

9. Don’t know


11) Did your doctor or health care professional tell you that your hepatitis C should be treated with medication such as Interferon and Ribavirin?


1. Yes

2. No (skip to 14)

7. Refused (skip to 14)

9. Don’t know (skip to 14)


12) Did you get treated with these medicines?


1. Yes (skip to 14)

2. No

7. Refused (skip to 14)

9. Don’t know (skip to 14)


13) Why did you not get treated? (Chose all that apply) Was it because ..


1. The side effects to the treatment are unpleasant.

2. The treatment shots must be self injected.

3. The treatment is too expensive,

4. There is a hope of better treatment in the future.

5. Or is there some other reason?


14) Did your doctor or health care professional tell you to avoid or limit alcoholic beverages because of your hepatitis C?


1. Yes

2. No

7. Refused

9. Don’t know


We would like to know what you have learned about hepatitis C. Please tell me if you believe the following statements are true or false, or if you don’t know whether they are true or false.


15) If someone is infected with hepatitis C virus, they will most likely carry the virus all their lives.

1. True

2. False

7. Refused

9. Don't know


16) Infection with the hepatitis C virus can cause the liver to stop working.

1. True

2. False

7. Refused

9. Don't know


17) Someone with hepatitis C can look and feel fine.


1. True

2. False

7. Refused

9. Don't know


18) You can get hepatitis C by getting a blood transfusion from an infected donor.


1. True

2. False

7. Refused

9. Don't know


19) You can get hepatitis C by shaking hands with someone who has hepatitis C.


1. True

2. False

7. Refused

9. Don't know


20) You can get hepatitis C by kissing someone who has hepatitis C.


1. True

2. False

7. Refused

9. Don't know


21) You can get hepatitis C by having sex with someone who has hepatitis C.


1. True

2. False

7. Refused

9. Don't know


22) You can get hepatitis C by being born to a woman who had hepatitis C when she gave birth.


1. True

2. False

7. Refused

9. Don't know


23) You can get hepatitis C by being stuck with a needle or sharp instrument that has hepatitis C infected blood on it.


1. True

2. False

7. Refused

9. Don't know


24) You can get hepatitis C by working with someone who has hepatitis C.


1. True

2. False

7. Refused

9. Don't know


25) You can get hepatitis C by injecting illegal drugs, even if only a few times.


1. True

2. False

7. Refused

9. Don't know


End Interview



Thank you for your time. We want to emphasize that everything you have told us will be held strictly confidential. We appreciate your participation in the National Health and Nutrition Examination Survey.




















File Typeapplication/msword
File TitleSAMPLE PERSON QUESTIONNAIRE
Authorbvw4
Last Modified Bynef1
File Modified2010-06-08
File Created2010-06-08

© 2025 OMB.report | Privacy Policy