OMB
.report
Search
IRB Approval
Att_ELS 2002 3rd-Follow-up 2012 Field Test Batch Tracing Appendix 3.doc
Education Longitudinal Study (ELS) 2002, Third Followup 2011 Field Test Batch Tracing
IRB Approval
OMB: 1850-0652
OMB.report
ED/IES
OMB 1850-0652
ICR 201011-1850-009
IRB Approval
( Supplementary Document )
⚠️ Notice: This form may be outdated. More recent filings and information on OMB 1850-0652 can be found here:
2013-02-08 - No material or nonsubstantive change to a currently approved collection
2012-12-17 - No material or nonsubstantive change to a currently approved collection
Document [doc]
Download:
doc
|
pdf
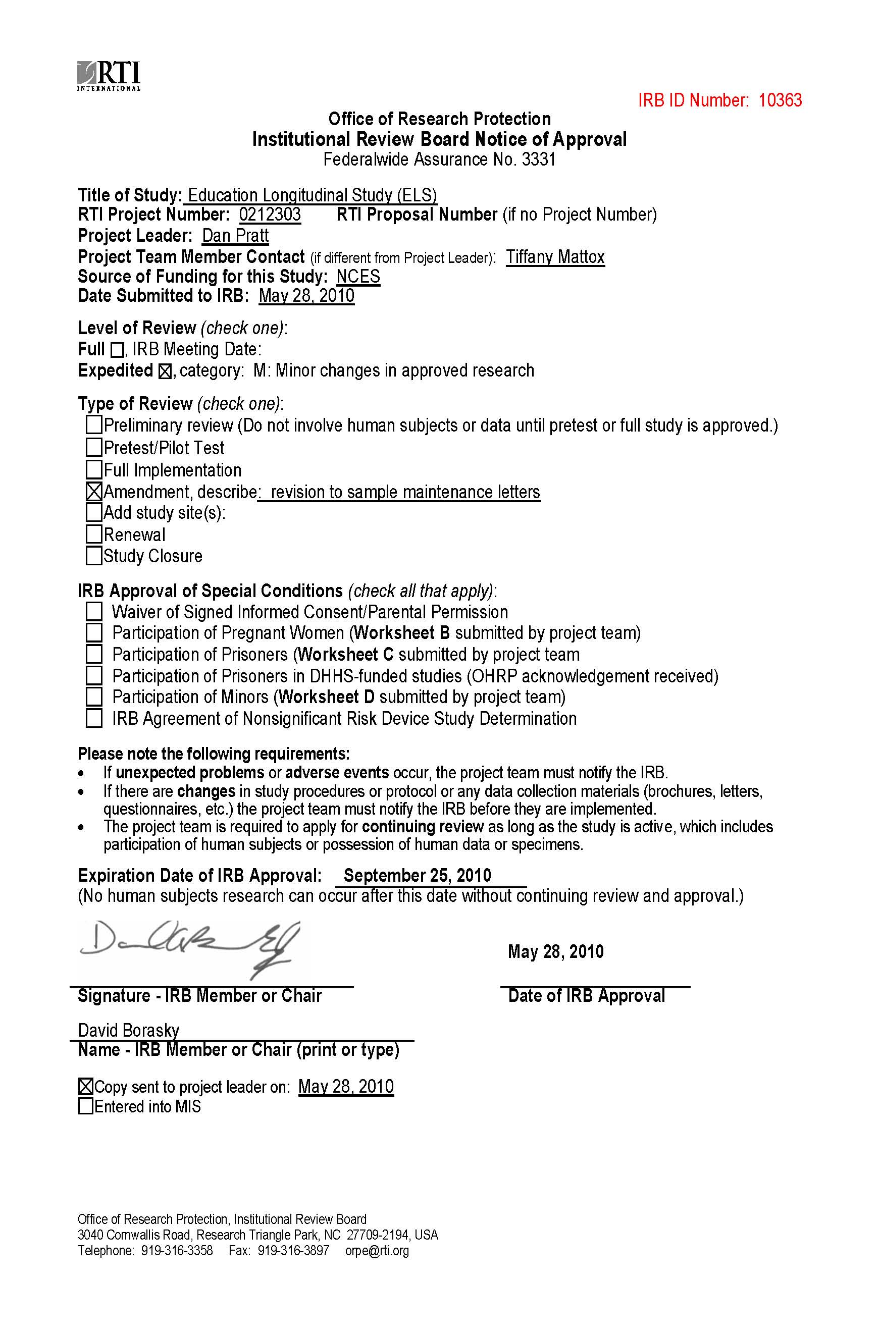
Appendix 3: IRB Approval Letters
Appendix 3
IRB Approval Letters
3-
3
File Type
application/msword
File Title
March 2010
Author
RTI_Doc
Last Modified By
#Administrator
File Modified
2010-07-08
File Created
2010-07-08
© 2026 OMB.report |
Privacy Policy