OMB
.report
Search
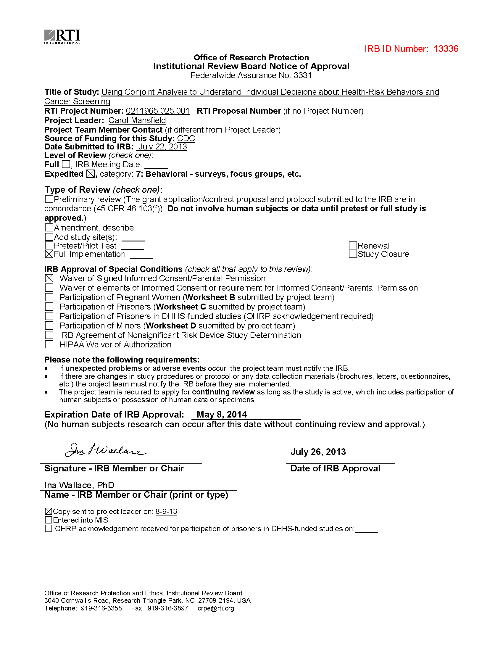
IRB Approval
Attachment 6 RTI IRB approval.docx
Colorectal Cancer Screening Survey
IRB Approval
OMB: 0920-1023
OMB.report
HHS/CDC
OMB 0920-1023
ICR 201405-0920-003
IRB Approval
( Supplementary Document )
⚠️ Notice: This form may be outdated. More recent filings and information on OMB 0920-1023 can be found here:
2015-01-20 - No material or nonsubstantive change to a currently approved collection
Document [docx]
Download:
docx
|
pdf
Attachment A-6: RTI Institutional Review Board Approval
File Type
application/vnd.openxmlformats-officedocument.wordprocessingml.document
File Title
Draft
Author
carolm
File Modified
0000-00-00
File Created
2021-01-27
© 2025 OMB.report |
Privacy Policy