Office of Human Subjects Research (OHSR) Review

Appendix 6 Office of Human Subject Research Not Applicable.docx

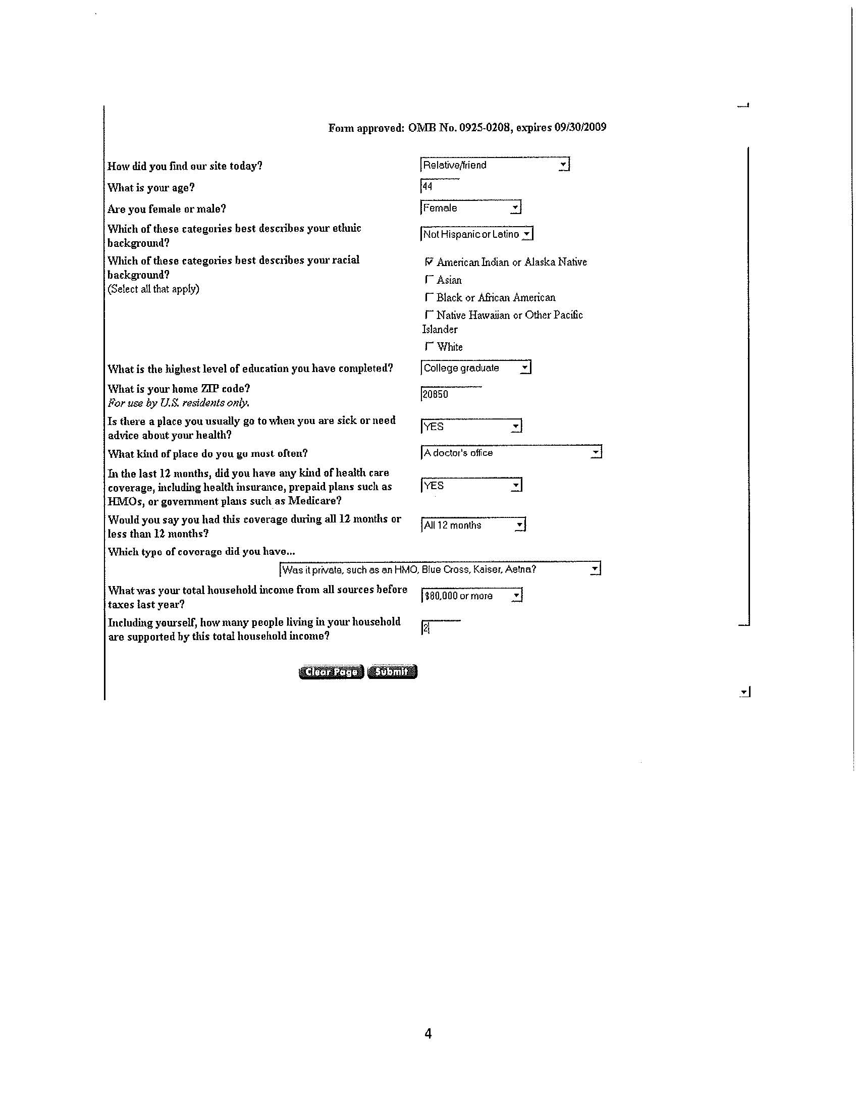
Collection of Customer Service, Demographic and Smoking/Tobacco Use Information from NCI's Contact Center, Cancer Information Service (CIS) Clients (NCI)

Office of Human Subjects Research (OHSR) Review

OMB: 0925-0208

Document [docx]
Download: docx | pdf

NCI/Office of Communications and Public Liaison

APPENDIX 6

OFFICE OF HUMAN SUBJECTS RESEARCH (OSHR) CLEARANCE





OHSR RESPONSE TO REQUEST FOR REVIEW OF RESEARCH ACTIVITY INVOLVING HUMAN SUBJECTS

Shape1

FAX: To:

Bright, Maw Anne NCI build in^ 61 16 -61 16 Executive Boulevard, 3049

Exempt: #:

From:

Office of Human Subjects Research (OHSR)




Nature of Research Activity: The NCI currently collects: 1. Customer service and demographic information from clients who contact NCl's Cancer Information Service (CIS) in order to properly plan, implement, and evaluate cancer education efforts, including assessing the extent by which the CIS impacts underserved populations; 2. Smoking/tobacco use behavior of individuals seeking NCl's smoking cessation assistance in order to provide smoking cessation services tailored to the individual client's needs and track their smoking behavior at follow up.

Original Request Received in OHSR on: 511 812009

Responsible NIH Research Investigator(s): Mary Anne Bright, NCI

OHSR review of vour request dated Fri, Mav 15,2009 has determined that:

Federal regulations for the protection of human subjects do not apply to above named activity. No further action is necessary.

q The activity is designated EXEMPT. and has been entered in the OHSR database. SE NOTIFY OHSR OF ANY SIGNIFICANT CHANGES THAT MAY Al TFR THF EMPT STATUS OF THIS RESFARCH ACTIVITY,

q NOT EX-. OHSR recommends IRB review. Please forward your request to the Chair of your IRB, who may ask you to provide additional information in order to determine whether expedited or full review is appropriate.

q Confidentiality Agreement

q Reliance

Amendment

q Other

Office Person SPC Admin Assist. CB

Note:

5/27/2009 Date

OHSR Use Only

Human Subjects Data: Yes

01 02 03 04 05 06

Biologic Material: No























































Page 1 of 2

OHSR (NIHIDDIR)

From: Bright, Mary Anne (NIHINCI) [El

Sent: Wednesday, May 27,2009 11 :32 AM

To: OHSR (NIHIDDIR)

Subject: RE: BrightM-NCI-4695-CY2009

Good morning.

Yes, this is a service activity and is not research. Thank you for your review. Much appreciated.

Mary Anne

Mary Anne Bright Associate Director, Office of Public Information and Resource Management Office of Communications and Education National Cancer Institute phone -301 -594-9048 fax -301 -402-0555 briahtma@mail.nih.aov

This e-mail message may contain privileged and confidential information intended for the use of the individual(s) or entity named above. If you are not the intended recipient, you are hereby notified that any use, dissemination, distribution, or copying of this message or its content is strictly prohibited. If you have received this message in error, please notify the sender immediately and delete or destroy the message without making a copy. Thank you.

From: OHSR (NIHIDDIR) Sent: Wednesday, May 27,2009 10:07 AM To: Bright, Mary Anne (NIHINCI) [El Subject: BrightM-NU-4695-CY2009

Good Morning Ms. Bright:

Thank you for the opportunity to review your project to collect customer service and demographic information from clients who contact NCl's Cancer lnformation Service (CIS) and smoking cessation services tailored to the client's needs. OHSR has one point of clarification. Based on the information you have provided, it appears that this is a service activity; not a research activity. Please confirm this for OHSR records,

Best regards,

sw P-%y-&maku44, PCD;m


Office of HumanSubjects Research Office of Intramural Research National Institutes of Health Bldg 10 Room 2C146 Bethesda, MD 20892

Page 2 of 2

Office Telephone: 301-402-3444 Office Fax: 301-402-3443










File Typeapplication/vnd.openxmlformats-officedocument.wordprocessingml.document
File TitleAPPENDIX 6
SubjectOFFICE OF HUMAN SUBJECTS RESEARCH (OSHR) CLEARANCE
AuthorBurstyn, Ilene (NIH/NCI) [E]
File Modified0000-00-00
File Created2021-01-20

© 2025 OMB.report | Privacy Policy