United States
Department of Commerce
National Oceanic and Atmospheric Administration
National Marine Fisheries Service
Office of Sustainable Fisheries
Highly Migratory Species Division
Final Report
Grantee: |
Maryland Department of Natural Resources |
|
|
|
|
Contract Number: |
15-0801.4 |
|
|
|
|
Project Title: |
Maryland Catch Card Census |
|
|
|
|
Period Covered: |
2018 Bluefin Tuna, Billfishes and Shark Season |
|
Prepared By: |
|
|
|
Angel Willey, Coastal Fisheries Program Manager |
Date |
Approved By: |
|
|
|
Mike Luisi, Division Director, Monitoring and Assessment |
Date |
Approved By: |
|
|
|
Dave Blazer, Director, Fishing and Boating Services |
Date |
Introduction
Globally, the International Commission for the Conservation of Atlantic Tunas governs tunas, billfishes and some sharks. In the United States, the Highly Migratory Species Division of the National Marine Fisheries Service implements recommendations, such as minimum sizes and quotas, from the International Commission for the Conservation of Atlantic Tunas. The Atlantic Tunas Convention and Magnuson Stevens acts provide the National Marine Fisheries Service that authority.
In the late 1990’s, the National Marine Fisheries Service required all recreational anglers to report bluefin tuna (Thunnus thynnus) landings via a toll free phone number. In Maryland, that system was determined to be ineffective for accurately documenting recreational bluefin tuna landings. The Catch Card Census was implemented in 1999 as a solution to that recreational reporting problem. The program has since expanded to include billfishes (2002) and sharks (2013). Accurately monitoring the recreational harvest of bluefin tuna, billfishes and sharks along the Atlantic coast is vitally important to the cultural and economic impacts that recreational fishing has on Ocean City.
Objectives
Continue long-term monitoring of all recreationally landed bluefin tuna, billfishes and sharks in Maryland and supply those data to the National Marine Fisheries Service for use in assessment and management of highly migratory species.
Continue development of program awareness among anglers for high compliance rates.
Materials and Methods
The program was advertised on the department’s website and at the west Ocean City boat ramp (Figure 1). Letters were mailed to highly migratory species permit holders and tournament operators reminding them of the requirements and the ability to download copies of the catch cards which can speed up the dockside tagging process. To improve data quality and compliance, staff attended four large fishing tournaments: Mako Mania (June 1 - 3, 2018), the Huk Big Fish Classic (July 29, 2018), the White Marlin Open (August 6 - 10, 2018) and the Mid-Atlantic (August 20 - 24, 2018).
Eight businesses signed a cooperative reporting station participation agreement to cover all species in the census (Table 1 and Figure 2). Two additional tackle shops were reporting stations specifically for sharks and therefore signed a modified agreement (Figure 3). The contract required reporting stations to distribute and collect catch cards, issue tags and return leftover supplies to the department for inventory at the conclusion of the fishing season. Each reporting station received catch cards and tags at the start of the season. Staff visited reporting stations twice a week, from June 6 through September 30, to maintain adequate supplies and collect completed catch cards. After September 30, staff checked with marinas once a week. Two self-serve kiosks and one shark informational kiosk were also available to anglers (Figure 4).
Anglers were responsible for completing a catch card when they returned to port for each bluefin tuna, billfish or shark on board their vessel (Figures 5 and 6). A tag was provided from the reporting station for each completed catch card to be placed around the tail of the fish before removing it from the vessel. If fishing from shore, a catch card and receipt were completed before removing a shark from the point of landing. Anglers using a self-serve kiosk were expected to complete the catch card and retain the attached receipt that replaced the tag. The catch card was to be deposited into a locked box that was fastened directly to the kiosk. Trailered boats could not be pulled from the water until the tag was in place or a receipt was in hand.
Catch card landings were entered into a Microsoft Access database. Updates based on collected catch card data were provided to the National Marine Fisheries Service every two weeks. Microsoft Excel was utilized for proofing and descriptive statistics.
Results and Discussion
Bluefin Tuna
Zero bluefin tuna catch cards were found in the kiosk or reported using the Automated Landings Reporting System ((888) 872-8862) for 2018. Bluefin tuna landings (807 tuna) were higher than the previous two years (Table 2 and Figure 7). Ninety-one percent (737 tuna) of the landings were classified as school (27 to <47 inches; Figure 8). Fewer large school (47 to <59 inches) were caught than the previous two years. Small medium landings (59 to <73 inches) have been variable for the past three years. For 2018, the mean curved fork length (all classes combined) was 39 inches and the mode was 30 inches, whereas previously in 2017, it was 41 inches and the 30 inches, respectively.
The peak landing week has been variable over the past three years (Figure 9). Peak landings occurred in late May to early June for 2018 whereas it occurred later for the previous two years. Smaller secondary peaks occurred in two out of the past three years but at different times.
Charter trips landed 56 percent (449 tuna) of the bluefin tuna during the 2018 season (Table 3 and Figure 10). For 2018, the percentage of non-tournament bluefin tuna landings was 96 percent, which is higher than the previous two years (Table 3).
Compliance with completing the live release (22 tuna) and dead release (two tuna) boxes on the catch card showed minor improvement from 2017 (18 live releases, zero dead release). Outreach will be conducted in an effort to increase compliance.
Billfishes (Sailfish, Blue Marlin, White Marlin, Roundscale Spearfish and Swordfish)
Zero billfish catch cards were found in the kiosk or reported using the Automated Landings Reporting System. Fifty-four billfishes were reported in 2018 through the Catch Card Census (Table 4 and Figure 11). Zero sailfish were landed since the program was implemented in 1999.
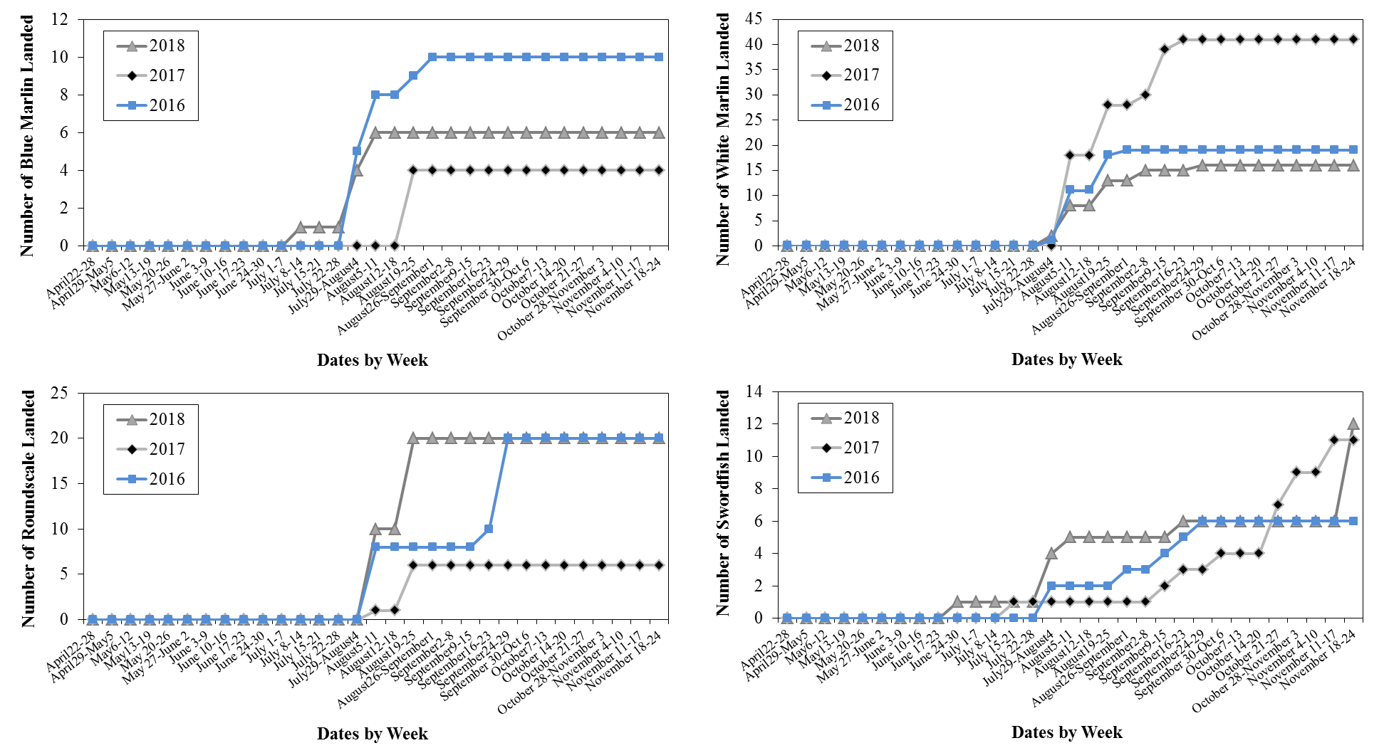
Blue marlin landings reported in 2018 (six marlin) were two fish higher than 2017 (Table 5 and Figure 12). The 2018 blue marlin mean lower jaw fork length was 108 inches and the mean weight was 504.9 pounds, which was similar to 2017. All landings occurred in July and August for the past three years and coincided with three major fishing tournaments: the Huk Big Fish Classic, the White Marlin Open and the Mid-Atlantic (Table 6 and Figure 13). The 2016 to 2018 length range was 100 - 120.6 inches and showed compliance with lower jaw fork length minimum size (99 inches).
White marlin landings in 2018 (16 marlin) showed a large decrease compared to the previous year (41 white marlin; Table 5 and Figure 12). The 2018 mean lower jaw fork length (68.5 inches) and mean weight (66.9 pounds) were similar to 2017 and 2016. Peak landings coincided with the previously mentioned fishing tournaments (Table 6 and Figure 13). Zero white marlin were reported below the minimum size of 66 inches in 2018.
Roundscale spearfish landings in 2018 (20 spearfish) showed a large increase from the previous year (six spearfish; Table 5 and Figure 12). The 2018 mean lower jaw fork length (68.9 inches) and mean weight (60.9 pounds) were similar to the previous two years (Figure 13). Peak landings coincided with the two August fishing tournaments: the White Marlin Open and the Mid-Atlantic. This species was considered eligible for white marlin rewards and was targeted the same as white marlin during the tournaments. All roundscale spearfish were landed during fishing tournaments (Table 6). Zero roundscale spearfish were reported below the minimum size of 66 inches for the last three years.
Swordfish landings increased for the third year in a row (12 swordfish; Table 5 and Figure 12). The mean lower jaw fork length of swordfish landed in 2018 was 63.8 inches and the mean weight was 166.9 pounds, which was an increase from 2017. Landings occurred from June to November for the past three years and six swordfish were landed during the Huk Big Fish Classic tournaments during that time. November had the most landings in 2018 and 2017 (Figure 13); however, most swordfish were landed outside of fishing tournaments (Table 6). Anglers complied with the 47 inch lower jaw fork length minimum size.
Private and charter billfish landings were consistent for the past three years (Table 7). Seventy percent of landed billfish were from trips labeled private on the catch cards (Figure 14).
Sharks
Zero shark catch cards were found in the kiosks. Overall, shark landings (85 sharks) were lower than the past two years (Figure 15). Atlantic sharpnose sharks comprised 89 percent (76 sharks) of the landings with 70 males, three females and three unknowns (Table 8 and Figure 16). Common thresher sharks represented seven percent (six sharks) of the catch of which four were males and two were females.
Shark landings peaked in August of 2018, which was later than the historical norm and resulted from the shortfin mako regulatory changes, which decreased early landings (Table 9 and Figure 17). In March 2018, the National Oceanic and Atmospheric Administration announced an emergency rule that increased the minimum recreational size limit for shortfin mako sharks from 54 inches to a fork length of 83 inches. There was concern that the increased minimum size for shortfin mako sharks would shift pressure toward common thresher sharks; however, that was not the case as fewer common threshers were landed in 2018 (six sharks) compared to the previous two years (10 and eight thresher sharks, respectively).
The majority (80 sharks) of all sharks were landed outside of tournaments (Table 10). For all species of sharks, charter trips landed more sharks (78 sharks) than private trips (seven sharks; Figure 18). Sharpnose sharks were the species most often reported from charter trips.
The National Marine Fisheries Service Large Pelagic Intercept Survey preliminarily reported zero shortfin mako sharks landed for Maryland and Delaware in 2018 (personal communication, December 11, 2018). During the 2017 season, Large Pelagic Intercept Survey staff intercepted 22 landed sharks of which 16 were reported through the Catch Card Census (personal communication, January 8, 2018).
Recommendations:
Continue the Catch Card Census for bluefin tuna, billfishes and sharks in Maryland.
Continue working to improve compliance by:
reminding anglers that they are required to obtain catch cards and tag bluefin tuna, billfishes and all sharks (except spiny dogfish);
increasing awareness about kiosks and online, downloadable catch card portable document format files;
distributing a roundscale spearfish and white marlin identification guide that is approved by the National Marine Fisheries Service (e.g. the guide developed by the Virginia Institute of Marine Sciences);
attending captain’s meetings to ensure all participants are familiar with the program;
attending major tournaments; and
educating anglers about the importance of completing the catch card released dead and alive boxes on the catch cards.
List of Tables |
|
Table 1. |
List of the 2018 Maryland Catch Card Census reporting stations and kiosks. |
Table 2. |
Maryland Catch Card Census bluefin tuna summary statistics for 2016 to 2018. |
Table 3. |
Comparison of Maryland bluefin tunas landings by trip type and tournament participation for 2016 to 2018. |
Table 4. |
List of the 2018 billfishes, trip type and tournament information reported to the Maryland Catch Card Census. |
Table 5. |
Maryland Catch Card Census billfish summary statistics for 2016 to 2018, n = 171. Total billfishes for 2016 was 55 fish, 62 fish for 2017 and 54 fish for 2018. |
Table 6. |
Comparison of Maryland Catch Card Census tournament participation by billfish species from 2016 to 2018, n = 171. |
Table 7. |
Comparison of Maryland Catch Card Census billfish landings by trip type from 2016 to 2018, n = 171. |
Table 8. |
Maryland Catch Card Census summary of the 2018 shark landings, n = 85. |
Table 9. |
Maryland Catch Card Census summary of the 2016 - 2018 shortfin mako landings, n = 119. |
Table 10. |
Comparison of Maryland Catch Card Census shark landings by trip type and tournament participation from 2016 to 2018. |
List of Figures |
|
Figure 1. |
Photograph of the Maryland Catch Card Census promotional sign located at the west Ocean City boat ramp. |
Figure 2. |
Example of the 2018 Catch Card Census agreement to act as a reporting station. |
Figure 3. |
Example of the modified 2018 Catch Card Census agreement to act as a shark reporting station. |
Figure 4. |
Photographs of the 2018 Maryland Catch Card Census kiosks located in Ocean City, Assateague Island National Seashore Visitor Contact Station and George Island Landing (pictured right to left). |
Figure 5. |
Examples of the 5 x 7 Maryland bluefin tuna and billfish catch cards and tags. |
Figure 6. |
Example of the 5 x 7 Maryland shark catch card and tag (front and backsides). |
Figure 7. |
Maryland Catch Card Census weekly cumulative bluefin tuna landings from 2016 to 2018 (n = 1,758). |
Figure 8. |
Maryland Catch Card Census bluefin tuna size class frequency comparison, 2016 to 2018 (n = 1,758). |
Figure 9. |
Maryland Catch Card Census weekly landings of bluefin tuna from 2016 to 2018 (n = 1,758). |
Figure 10. |
Maryland Catch Card Census bluefin tuna landings by trip type for 2018 (n = 807). |
Figure 11. |
Maryland Catch Card Census cumulative billfish landings by month and week for 2016 to 2018 (n = 171). |
Figure 12. |
Comparison of the frequency of billfishes from the Maryland Catch Card Census, 2016 to 2018 (n = 171). |
Figure 13. |
Maryland Catch Card Census weekly billfish landings from 2016 to 2018 (n = 171). |
Figure 14. |
Maryland Catch Card Census 2018 billfish landings by trip type (n = 54). |
Figure 15. |
Maryland Catch Card Census cumulative shark landings by month and week for 2016 to 2018 (n = 300). |
Figure 16. |
Sharks reported to the Maryland Catch Card Census for 2016 to 2018 (n = 300). |
Figure 17. |
Maryland Catch Card Census weekly shark landings 2016 to 2018 (n = 300). |
Figure 18. |
Maryland Catch Card Census 2018 shark landings by trip type (n = 85). |
Table 1. List of the 2018 Maryland Catch Card Census reporting stations and kiosks. |
|||
Reporting Station |
City /State |
Phone Number |
Species |
Atlantic Tackle |
Ocean City, MD |
(410) 213-0421 |
All |
Bahia Marina |
Ocean City, MD |
(410) 289-7438 |
All |
Fisherman’s Marina |
Ocean City, MD |
(410) 213-2478 |
All |
O.C. Fishing Center |
Ocean City, MD |
(410) 213-1121 |
All |
Talbot Street Pier & Marina |
Ocean City, MD |
(410) 289-9125 |
All |
White Marlin Marina |
Ocean City, MD |
(410) 289-6470 |
All |
Sunset Marina |
Ocean City, MD |
(410) 213-9600 |
All |
Pines Point Provisions and Seafood |
Ocean Pines, MD |
(410) 641-2248 |
All |
Buck’s Place |
Berlin, MD |
(443) 513-4661 |
Shark |
Alltackle |
Ocean City, MD |
(410) 213-2840 |
Shark |
Full Service Kiosk |
Ocean City, MD |
(410) 213-1531 |
All |
Shark Kiosk |
Berlin, MD |
|
Shark |
Shark Informational Kiosk |
George Landing, MD |
|
Shark |
Table 2. Maryland Catch Card Census bluefin tuna summary statistics for 2016 to 2018. |
||||||||||||
|
2016 |
2017 |
2018 |
|||||||||
Size Class (in.) |
Count |
Mean* |
Mode* |
Percent of Total |
Count |
Mean* |
Mode* |
Percent of Total |
Count |
Mean* |
Mode* |
Percent of Total |
School (27 to <47) |
301 |
43.2 |
45 |
51.3 |
270 |
35.5 |
30 |
73.8 |
737 |
37.7 |
30 |
91.3 |
Large School (47 to <59) |
259 |
50.5 |
51 |
44.3 |
60 |
55.1 |
58 |
16.4 |
46 |
53.2 |
55 |
5.7 |
Small Medium (59 to <73) |
1 |
|
|
0.3 |
29 |
62.1 |
60 |
7.9 |
17 |
61.9 |
60 |
2.1 |
Unknown |
24 |
|
|
4.1 |
7 |
|
|
1.9 |
7 |
|
|
0.9 |
Total |
585 |
|
|
|
366 |
|
|
|
807 |
|
|
|
* Curved fork length |
||||||||||||
Table 3. Comparison of Maryland bluefin tunas landings by trip type and tournament participation for 2016 to 2018. |
||||||||||
Trip Type |
Private |
Charter |
Headboat |
Unknown |
Tournament Landings |
|||||
Year |
Count |
Percent of Landings |
Count |
Percent of Landings |
Count |
Percent of Landings |
Count |
Percent of Landings |
Tournament |
Non-Tournament |
2016 |
218 |
37.3 |
361 |
61.8 |
4 |
0.7 |
1 |
0.2 |
48 |
537 |
2017 |
129 |
35.2 |
236 |
64.5 |
|
|
1 |
0.2 |
42 |
324 |
2018 |
355 |
44.0 |
449 |
55.6 |
|
|
3 |
0.5 |
36 |
|
Table 4. List of the 2018 billfishes, trip type and tournament information reported to the Maryland Catch Card Census. |
|||||
Date |
Common Name |
Length (Inches) |
Weight (Pounds) |
Trip Type |
Tournament |
7/14/2018 |
Blue Marlin |
100 |
|
Private |
|
7/29/2018 |
Blue Marlin |
105.5 |
379.5 |
Private |
Huk Big Fish Classic |
7/29/2018 |
Blue Marlin |
105.5 |
354.5 |
Private |
Huk Big Fish Classic |
7/29/2018 |
Blue Marlin |
107 |
44.5 |
Private |
Huk Big Fish Classic |
8/6/2018 |
Blue Marlin |
128 |
881 |
Private |
White Marlin Open |
8/6/2018 |
Blue Marlin |
102 |
|
Private |
White Marlin Open |
8/6/2018 |
Roundscale Spearfish |
70.5 |
65 |
Private |
White Marlin Open |
8/6/2018 |
Roundscale Spearfish |
70 |
66.5 |
Private |
White Marlin Open |
8/6/2018 |
Roundscale Spearfish |
71.3 |
65 |
Private |
White Marlin Open |
8/6/2018 |
Roundscale Spearfish |
67 |
56 |
Private |
White Marlin Open |
8/6/2018 |
Roundscale Spearfish |
67 |
58.5 |
Private |
White Marlin Open |
8/8/2018 |
Roundscale Spearfish |
68 |
59 |
Charter |
White Marlin Open |
8/6/2018 |
Roundscale Spearfish |
75 |
75 |
Private |
White Marlin Open |
8/7/2018 |
Roundscale Spearfish |
76 |
57 |
Charter |
White Marlin Open |
8/9/2018 |
Roundscale Spearfish |
68.5 |
62.5 |
Private |
White Marlin Open |
8/10/2018 |
Roundscale Spearfish |
67 |
57.5 |
Charter |
White Marlin Open |
8/20/2018 |
Roundscale Spearfish |
67.9 |
54 |
Charter |
Mid-Atlantic |
8/20/2018 |
Roundscale Spearfish |
68 |
58 |
Private |
Mid-Atlantic |
8/21/2018 |
Roundscale Spearfish |
68.5 |
57 |
Private |
Mid-Atlantic |
8/21/2018 |
Roundscale Spearfish |
66 |
54 |
Private |
Mid-Atlantic |
8/21/2018 |
Roundscale Spearfish |
66.6 |
61 |
Private |
Mid-Atlantic |
8/24/2018 |
Roundscale Spearfish |
66.4 |
54 |
Charter |
Mid-Atlantic |
8/24/2018 |
Roundscale Spearfish |
66.9 |
63 |
Charter |
Mid-Atlantic |
8/24/2018 |
Roundscale Spearfish |
69.3 |
66 |
Private |
Mid-Atlantic |
8/24/2018 |
Roundscale Spearfish |
67 |
59 |
Private |
Mid-Atlantic |
8/24/2018 |
Roundscale Spearfish |
71.3 |
69 |
Private |
Mid-Atlantic |
7/29/2018 |
White Marlin |
67 |
60 |
Charter |
Huk Big Fish Classic |
7/29/2018 |
White Marlin |
67.3 |
57.5 |
Private |
Huk Big Fish Classic |
8/9/2018 |
White Marlin |
69.5 |
83 |
Charter |
White Marlin Open |
8/9/2018 |
White Marlin |
68.5 |
65.5 |
Charter |
White Marlin Open |
8/10/2018 |
White Marlin |
67.5 |
57.5 |
Charter |
White Marlin Open |
8/10/2018 |
White Marlin |
68.5 |
83 |
Charter |
White Marlin Open |
8/10/2018 |
White Marlin |
69 |
71.5 |
Charter |
White Marlin Open |
8/10/2018 |
White Marlin |
68 |
53 |
Charter |
White Marlin Open |
8/20/2018 |
White Marlin |
70 |
73 |
Private |
Mid-Atlantic |
8/21/2018 |
White Marlin |
66 |
66 |
Private |
Mid-Atlantic |
8/23/2018 |
White Marlin |
67.3 |
67 |
Private |
Mid-Atlantic |
8/24/2018 |
White Marlin |
68.3 |
65 |
Charter |
Mid-Atlantic |
8/24/2018 |
White Marlin |
67.8 |
62 |
Private |
Mid-Atlantic |
9/5/2018 |
White Marlin |
69 |
70 |
Private |
|
9/6/2018 |
White Marlin |
70 |
70 |
Charter |
|
9/29/2018 |
White Marlin |
72 |
|
Private |
|
6/30/2018 |
Swordfish |
76 |
245 |
Private |
|
7/29/2018 |
Swordfish |
69.5 |
188 |
Private |
Huk Big Fish Classic |
7/29/2018 |
Swordfish |
74.5 |
197.5 |
Private |
Huk Big Fish Classic |
7/29/2018 |
Swordfish |
73.5 |
180 |
Private |
Huk Big Fish Classic |
8/9/2018 |
Swordfish |
56 |
|
Charter |
|
9/21/2018 |
Swordfish |
59 |
90 |
Private |
|
11/18/2018 |
Swordfish |
60 |
175 |
Private |
|
11/18/2018 |
Swordfish |
50 |
100 |
Private |
|
11/18/2018 |
Swordfish |
88 |
320 |
Private |
|
11/19/2018 |
Swordfish |
51 |
100 |
Private |
|
11/19/2018 |
Swordfish |
50 |
100 |
Private |
|
11/19/2018 |
Swordfish |
58 |
140 |
Private |
|
Table 5. Maryland Catch Card Census billfish summary statistics for 2016 to 2018, n = 171. Total billfishes for 2016 was 55 fish, 62 fish for 2017 and 54 fish for 2018. |
|||||||
Year |
Count |
Percent of Annual Billfish Total |
Lower Jaw Fork Length (Inches) |
Weight (Pounds) |
|||
Mean |
Mode |
Range |
Mean |
Range |
|||
Blue Marlin |
|||||||
2016 |
10 |
18.2 |
107 |
101 |
100.3 - 117 |
415 |
285 - 790 |
2017 |
4 |
6.5 |
110.5 |
|
100.5 - 120.6 |
494.5 |
287 - 680 |
2018 |
6 |
11.1 |
108 |
105.5 |
100 - 128 |
504.9 |
354.5 - 881 |
White Marlin |
|||||||
2016 |
19 |
34.5 |
68 |
67 |
65 - 74 |
66 |
54 - 78.5 |
2017 |
41 |
66.1 |
68.6 |
67 |
66 - 79 |
67.6 |
50.5 - 101 |
2018 |
16 |
29.6 |
68.5 |
67.3 |
66 - 72 |
66.9 |
53 - 83 |
Roundscale Spearfish |
|||||||
2016 |
20 |
36.4 |
69 |
69 |
66 - 72.5 |
62 |
48 - 72 |
2017 |
6 |
9.7 |
68.9 |
|
66 - 71.5 |
61.2 |
56 - 71 |
2018 |
20 |
37 |
68.9 |
67 |
66 - 76 |
60.9 |
54 - 75 |
Swordfish |
|||||||
2016 |
6 |
10.9 |
66 |
|
49 - 96 |
216 |
68 - 345 |
2017 |
11 |
17.7 |
57.1 |
|
50 - 76 |
114.1 |
52 - 253 |
2018 |
12 |
22.2 |
63.8 |
50 |
50 - 88 |
166.9 |
90 - 245 |
Table 6. Comparison of Maryland Catch Card Census tournament participation by billfish species from 2016 to 2018, n = 171. |
|||
Year |
Count |
Tournament |
Non-Tournament |
Blue Marlin |
|||
2016 |
10 |
10 |
|
2017 |
4 |
4 |
|
2018 |
6 |
5 |
1 |
White Marlin |
|||
2016 |
19 |
19 |
|
2017 |
41 |
38 |
3 |
2018 |
16 |
13 |
3 |
Roundscale Spearfish |
|||
2016 |
20 |
20 |
|
2017 |
6 |
6 |
|
2018 |
20 |
20 |
|
Swordfish |
|||
2016 |
6 |
2 |
4 |
2017 |
11 |
1 |
10 |
2018 |
12 |
3 |
9 |
Table 7. Comparison of Maryland Catch Card Census billfish landings by trip type from 2016 to 2018, n = 171. |
||||||
|
Private |
Charter |
Unknown |
|||
Year |
Count |
Percent of Total Landings |
Count |
Percent of Total Landings |
Count |
Percent of Total Landings |
2016 |
37 |
67.3 |
18 |
32.7 |
|
|
2017 |
46 |
74.2 |
15 |
24.2 |
1 |
1.6 |
2018 |
38 |
70.3 |
16 |
29.6 |
|
|
Table 8. Maryland Catch Card Census summary of the 2018 shark landings, n = 85. |
||||||||
Species |
Count |
Sex |
Mean Length (Inches) |
Mode (Inches) |
Length Range (Inches) |
Weight Range (Pounds) |
||
M |
F |
U |
||||||
Atlantic Sharpnose |
76 |
70 |
3 |
3 |
30.8 |
30 |
22 - 39 |
5 - 81 |
Common Thresher |
6 |
4 |
2 |
|
76.2 |
68 |
66-100 |
149 - 644.9 |
Shortfin Mako |
3 |
1 |
2 |
|
99 |
* |
83 - 121 |
200.9 - 636 |
Total |
85 |
75 |
7 |
3 |
|
|
|
|
*No mode as all lengths are different. |
||||||||
Table 9. Maryland Catch Card Census summary of the 2016 - 2018 shortfin mako landings, n = 119. |
|||||||||
Year |
Species |
Count |
Sex |
Mean Length (Inches) |
Mode (Inches) |
Length Range (Inches) |
Weight Range (Pounds) |
||
M |
F |
U |
|||||||
2016 |
Shortfin Mako |
55 |
25 |
16 |
14 |
69.4 |
64 |
56 - 100 |
46 - 100 |
2017 |
Shortfin Mako |
61 |
28 |
19 |
14 |
71.0 |
64 |
55 - 113 |
60 -564 |
2018 |
Shortfin Mako |
3 |
1 |
2 |
|
99 |
* |
83 - 121 |
200.9 – 636 |
*No mode as all lengths are different. |
|||||||||
Table 10. Comparison of Maryland Catch Card Census shark landings by trip type and tournament participation from 2016 to 2018. |
|||||||||
Trip Type |
Private |
Charter |
Unknown |
Tournament Landings |
|||||
Year |
Count |
Percent of Landings |
Count |
Percent of Landings |
Count |
Percent of Landings |
Tournament |
Non-Tournament |
Unknown |
2016 |
46 |
47 |
53 |
54 |
|
|
26 |
73 |
|
2017 |
35 |
30 |
80 |
69 |
1 |
<1 |
29 |
87 |
|
2018 |
7 |
8.2 |
78 |
91.8 |
|
|
5 |
80 |
|
|
Figure 1. Photograph of the Maryland Catch Card Census promotional sign located at the west Ocean City boat ramp. |
2018 Cooperative Agreement to Act as a
Recreational Highly Migratory Species Catch Card Reporting Station
Between
The Maryland Department of Natural Resources
&
__________________________________________________
The signatory operates this facility as a place of business open to the public with regular posted operating hours
and will act as a reporting station for recreationally harvested Atlantic Bluefin Tuna and billfish (White Marlin, Blue Marlin, Sailfish) Swordfish and sharks landed in the State of Maryland in accordance with the following conditions. *
On a Daily Basis:
From Bluefin Tuna anglers, collect COMPLETED Maryland Bluefin Tuna Landing Cards and issue a uniquely numbered Bluefin Tuna tag to the angler. Tags issued only upon receipt of the COMPLETED landing card. Bluefin Tuna cannot be removed from a vessel before the angler attaches the tag to the appropriate tuna.
From billfish/swordfish anglers, collect COMPLETED Maryland Billfish Landing Cards and issue a uniquely numbered Billfish/Swordfish tag to the angler. Tags are issued only upon receipt of the COMPLETED landing card. The Billfish/Swordfish cannot be removed from a vessel before the angler attaches the tag to the appropriate billfish/swordfish.
From shark anglers, collect COMPLETED Maryland Shark Landing Cards and issue a uniquely numbered shark tag to the angler. Tags are issued only upon receipt of the COMPLETED landing card. The shark cannot be removed from the point of landing before the angler attaches the tag to the appropriate shark.
The signatory, representing the reporting station, must account for all tags.
The reporting station will allow personnel from the Maryland Department of Natural Resources to collect completed landing cards and inventory remaining tags. All tags must be kept in a secure location.
Physical location address: ________________________________________________________
Business mailing address: ________________________________________________________
Telephone number: _____________________________________________________________
Hours of operation: _____________________________________________________________
Owner/Manager name: __________________________________________________________
Contact person: ________________________________________________________________
Person(s) responsible for checking catch cards & issuing tags: __________________________________________
* The Department reserves the right to terminate reporting station status for any reason including but
not limited to failure to maintain inventory of Bluefin Tuna or billfish/swordfish tags and collect completed
catch cards and/or failure to cooperate with Department personnel in retrieval of said items.
Authorized signature: ________________________________ Date: _____________________
Title:______________________________________________
Figure 2. Example of the 2018 Catch Card Census agreement to act as a reporting station.
2018 Cooperative Agreement to Act as a
Recreational Shark Reporting Station
Between
The Maryland Department of Natural Resources
&
__________________________________________________
The signatory operates this facility as a place of business open to the public with regular posted operating hours
and will act as a reporting station for recreationally harvested sharks landed in the State of Maryland in accordance with the following conditions. *
On a Daily Basis:
1. From shark anglers, collect COMPLETED Maryland Shark Landing Cards and issue a uniquely
numbered shark tag to the angler. Tags are issued only upon receipt of the COMPLETED landing
card. The shark cannot be removed from the point of landing before the angler attaches the tag to the
appropriate shark.
2. The signatory, representing the reporting station, must account for all tags.
3. The reporting station will allow personnel from the Maryland Department of Natural Resources to
collect completed landing cards and inventory remaining shark tags. All tags must be kept in a
secure location.
Physical location address: ________________________________________________________
Business mailing address: ________________________________________________________
Telephone number: _____________________________________________________________
Hours of operation: _____________________________________________________________
Owner/Manager name: __________________________________________________________
Contact person: ________________________________________________________________
Person(s) responsible for checking catch cards & issuing tags: __________________________________________
* The Department reserves the right to terminate reporting station status for any reason including but
not limited to failure to maintain inventory of shark tags and collect completed catch cards and/or failure to cooperate with Department personnel in retrieval of said items.
Authorized signature: ________________________________ Date: _____________________
Title: ______________________________________________
Figure 5. Example of the 2013 Maryland ABT/Billfish/Shark Catch Card and Tagging Program contract between MDNR and tackle shops to act as a recreational reporting station for sharks.
Figure 3. Example of the modified 2018 Catch Card Census agreement to act as a shark reporting station.
|
Figure 4. Photographs of the 2018 Maryland Catch Card Census kiosks located in Ocean City, Assateague Island National Seashore Visitor Contact Station and George Island Landing (pictured left to right). |
|
Figure 5. Examples of the 5 x 7 Maryland bluefin tuna and billfish catch cards and tags. |
|
|
Figure 6. Example of the 5 x 7 Maryland shark catch card and tag (front and backsides). |
|
|
Figure 7. Maryland Catch Card Census weekly cumulative bluefin tuna landings from 2016 to 2018 (n = 1,758). |
|
|
Figure 8. Maryland Catch Card Census bluefin tuna size class frequency comparison, 2016 to 2018 (n = 1,758). |
|
|
Figure 9. Maryland Catch Card Census weekly landings of bluefin tuna from 2016 to 2018 (n = 1,758). |
|
|
Figure 10. Maryland Catch Card Census bluefin tuna landings by trip type for 2018 (n = 807). |
|
|
Figure 11. Maryland Catch Card Census cumulative billfish landings by month and week from 2016 to 2018 (n = 171). |
|
|
Figure 12. Comparison of the frequency of billfishes from the Maryland Catch Card Census, 2016 to 2018 (n = 171). |
|
Figure 13. Maryland Catch Card Census weekly billfish landings from 2016 to 2018 (n = 171). |
|
Figure 14. Maryland Catch Card Census 2018 billfish landings by trip type (n = 54). |
|
|
Figure 15. Maryland Catch Card Census cumulative shark landings by month and week for 2016 to 2018 (n = 300). |
|
|
Figure 16. Sharks reported to the Maryland Catch Card Census for 2016 to 2018 (n = 300). |
|
|
Figure 17. Maryland Catch Card Census weekly shark landings 2016 to 2018 (n = 300). |
|
|
Figure 18. Maryland Catch Card Census 2018 shark landings by trip type (n = 85). |
|
| File Type | application/vnd.openxmlformats-officedocument.wordprocessingml.document |
| File Modified | 0000-00-00 |
| File Created | 2021-01-15 |