Appendices A-C NAEP 2021 Supplemental Documents

Appendices A-C NAEP 2021 Supplemental Documents.docx

National Assessment of Educational Progress (NAEP) 2021

Appendices A-C NAEP 2021 Supplemental Documents

OMB: 1850-0928

Document [docx]
Download: docx | pdf

NATIONAL CENTER FOR EDUCATION STATISTICS

NATIONAL ASSESSMENT OF EDUCATIONAL PROGRESS





National Assessment of Educational Progress (NAEP) 2021



Appendices A-C

Appendix A: External Advisory Committees

Appendix B: NAEP 2013 Weighting Procedures

Appendix C: NAEP 2021 Sampling Memo



OMB# 1850-0928 v.20





June 2020


Table of Contents

Appendix A: External Advisory Committees 3


The External Advisory Committees’ list has the most current information available to the public. At this time, there is not a timeline for when the details for revised committees will be publicly available.

Appendix B: NAEP 2013 Weighting Procedures (No changes since v.10) …15


The 2013 Weighting Procedures documentation is the most current version available to the public. At this time, there is not a timeline for when the details for later assessment years will be publicly available.

Appendix C: NAEP 2021 Sampling Memo …...................................…………………………………….65



NATIONAL CENTER FOR EDUCATION STATISTICS NATIONAL ASSESSMENT OF EDUCATIONAL PROGRESS


National Assessment of Educational Progress (NAEP) 2021


Appendix A

External Advisory Committees



OMB# 1850-0928 v.20











The External Advisory Committees’ list has the most current information available to the public. At this time, there is not a timeline for when the details for revised committees will be publicly available.










Appendix A-1: NAEP Design and Analysis Committee



Name

Affiliation

Betsy Becker

Florida State University, FL

Peter Behuniak

University of Connecticut, CT

Dan Bolt

University of Wisconsin, Madison, WI

Lloyd Bond

University of North Carolina, Greensboro, NC (Emeritus)/Carnegie Foundation (retired)

Derek Briggs

University of Colorado, CO

Richard Duran

University of California, Santa Barbara, CA

Steve Elliott

Arizona State University, AZ

Ben Hansen

University of Michigan, MI

Brian Junker

Carnegie Mellon University, PA

David Kaplan

University of Wisconsin-Madison, WI

Kenneth Koedinger

Carnegie Mellon University, PA

Sophia Rabe-Hesketh

University of California, Berkeley, CA

Michael Rodriguez

University of Minnesota, MN

S.Lynne Stokes

Southern Methodist University, TX

Chun Wang

University of Minnesota, MN



Appendix A-2: NAEP Validity Studies Panel


Name

Affiliation

Peter Behuniak

University of Connecticut, CT

Jack Buckley

American Institutes for Research, Washington, DC

Jim Chromy

RTI International (Emeritus Fellow), Raleigh, NC

Phil Daro

Strategic Education Research (SERP)

Richard Duran

University of California, Berkeley, CA

David Grissmer

University of Virginia, VA

Larry Hedges

Northwestern University, IL

Gerunda Hughes

Howard University, Washington, DC

Ina Mullis

Boston College, MA

Scott Norton

Council of Chief State School Officers, Washington, DC

Jim Pellegrino

University of Illinois at Chicago/Learning Sciences Research Institute, IL

Gary Phillips

American Institutes for Research, Washington, DC

Lorrie Shepard

University of Colorado at Boulder, CO

David Thissen

University of North Carolina at Chapel Hill, NC

Gerald Tindal

University of Oregon, Eugene, OR

Sheila Valencia

University of Washington, WA

Ting Zhang

American Institutes for Research, Washington, DC



Appendix A-3: NAEP Quality Assurance Technical Panel


Name

Affiliation

Jamal Abedi

University of California, Davis, CA

Chuck Cowan

Analytic Focus LLC, San Antonio, TX

Gail Goldberg

Gail Goldberg Consulting, Ellicott City, MD

Brian Gong

National Center for the Improvement of Educational Assessment, Dover, NH

Richard Luecht

University of North Carolina-Greensboro, NC

Jim Pellegrino

University of Illinois at Chicago/Learning Sciences Research Institute, IL

Mark Reckase

Michigan State University, MI

Michael (Mike) Russell

Boston College, MA

Phoebe Winter

Consultant, Chesterfield, VA

Richard Wolfe

University of Toronto (Emeritus), Ontario, Canada

Appendix A-4: NAEP National Indian Education Study Technical Review Panel


Name

Affiliation

Doreen E. Brown

ASD Education Center, Anchorage, AK

Robert B.Cook

Native American Initiative/Teach for America, Summerset, SD

Steve Andrew Culpepper

University of Illinois at Urbana-Champaign, IL

Susan C. Faircloth

University of North Carolina Wilmington, NC

Jeremy MacDonald

Rocky Boy Elementary, Box, Elder, MT

Holly Jonel Mackey

University of Oklahoma, OK

Jeannette Muskett Miller

Tohatchi High School, Tohatchi, NM

Sedelta Oosahwee

National Education Association, DC

Debora Norris

Salt River Pima-Maicopa Indian Community

Martin Reinhardt

Northern Michigan University, MI

Tarajean Yazzie-Mintz

Wakanyeja ECE Initative/American Indian College Fund, Denver, CO






Appendix A-5: NAEP Mathematics Standing Committee


Name

Affiliation

Scott Baldridge

Louisiana State University, LA

Carl Cowen

Indiana University–Purdue University, IN

Kathleen Heid

Pennsylvania State University, PA

Mark Howell

Gonzaga College High School, Washington, DC

Carolyn Maher

Rutgers University, NJ

Michele Mailhot

Maine Department of Education, Augusta, ME

Matthew Owens

Spring Valley High School, Columbia, SC

Carole Philip

Alice Deal Middle School, Washington, DC

Kayonna Pitchford

University of North Carolina, NC

Melisa M. Ramos Trinidad

Educación Bilingüe Luis Muñoz Iglesias, Cidra, PR

Allan Rossman

College of Science and Mathematics-CalPoly, CA

Carolyn Sessions

Louisiana Department of Education, LA

Lya Snell

Georgia Department of Education, GA

Ann Trescott

Stella Maris Academy, La Jolla, CA

Vivian Valencia

Espanola Public Schools, NM

Appendix A-6: NAEP Reading Standing Committee


Name

Affiliation

Patricia Alexander

University of Maryland, MD

Alison Bailey

Jensa Bushey

University of California, LA, CA

Shelburne Community Schools, Shelburne, VT

Julie Coiro

University of Rhode Island, RI

Bridget Dalton

Christy Howard

University of Colorado Boulder, CO

East Carolina University, Greenville, NC

Jeanette Mancilla-Martinez

Vanderbilt University, TN

Pamela Mason

Harvard Graduate School of Education, MA

P. David Pearson

University of California, Berkeley, CA

Frank Serafini

Arizona State University, AZ

Kris Shaw

Ana Taboada Barber

Kansas State Department of Education, KS

University of Maryland, MD

Diana Townsend

Brandon Wallace

University of Nevada, Reno, NV

National Office of Urban Teachers, Baltimore, MD

Victoria Young

Texas Education Agency, Austin, TX

Appendix A-7: NAEP Science Standing Committee


Name

Affiliation

Alicia Cristina Alonzo

Michigan State University, MI

George Deboer

American Association for the Advancement of Science, Washington, DC

Alex Decaria

Millersville University, PA

Crystal Edwards

Lawrence Township Public Schools, Lawrenceville, NJ

Ibari Igwe

Shrewd Learning, Elkridge, MD

Michele Lombard

Kenmore Middle School, Arlington, VA

Emily Miller

Consultant, WI

Blessing Mupanduki

Department of Defense, Washington, DC

Amy Pearlmutter

Littlebrook Elementary School, Princeton, NJ

Brian Reiser

Northwestern University, Evanston, IL

Michal Robinson

Alabama Department of Education, Montgomery, AL

Gloria Schmidt

Darby Junior High School, Fort Smith, AR

Steve Semken

Arizona State University, Tempe, AZ

Roberta Tanner

Board of Science Education, Longmont, CO

David White

Lamoille North Supervisory Union School District, Hyde Park, VT




Appendix A-8: NAEP Survey Questionnaire Standing Committee


Name

Affiliation

Angela Duckworth

University of Pennsylvania, PA

Hunter Gehlbach

Harvard University, MA

Camille Farrington

University of Chicago, Chicago, IL

Gerunda Hughes

Howard University, DC

David Kaplan

University of Wisconsin-Madison, WI

Henry Levin

Teachers College, Columbia University, NY

Stanley Presser

University of Maryland, MD

Augustina Reyes

University of Houston, Houston, TX

Leslie Rutkowski

Indiana University Bloomington, IN

Jonathon Stout

Lock Haven University, PA

Roger Tourangeau

Westat, Rockville, MD

Akane Zusho

Fordham University, NY




Appendix A-9: NAEP Mathematics Translation Review Committee


Name

Affiliation

Mayra Aviles

Puerto Rico Department of Education, PR

David Feliciano

P.S./M.S 29, The Melrose School, Bronx, NY

Yvonne Fuentes

Author and Spanish Linguist, Carrollton, GA

Marco Martinez-Leandro

Sandia High School, NM

Jose Antonio (Tony) Paulino

Nathan Straus Preparatory School, NY

Evelisse Rosado Rivera

Teacher, PMB 35 HC, PR

Myrna Rosado-Rasmussen

Austin Independent School District, TX

Gloria Rosado Vazquez

Teacher, HC-02, PR

Enid Valle

Kalamazoo College, Kalamazoo, MI

Appendix A-10: NAEP Science Translation Committee


Name

Affiliation

Daniel Berdugo

Teacher, PS 30X Wilton, NY

Yvonne Fuentes

Author and Spanish Linguist, Carrollton, GA

Myrna Rosado- Rasmussen

Austin Independent School District, Austin, TX

Enid Valle

Kalamazoo College, Kalamazoo, MI




Appendix A-11: NAEP Grade 8 Social Science Translation Review Committee


Name

Affiliation

Yvonne Fuentes

Author and Spanish Linguist, Carrollton, GA

Jose Antonio Paulino

Middle School Teacher, Nathan Strauss Preparatory School, NY

Dagoberto Eli Ramierz

Bilingual Education Expert, Palmhurst, TX

Enid Valle

Kalamazoo College, Kalamazoo, MI



Appendix A-12: NAEP Grade 4 and 8 Survey Questionnaires and eNAEP DBA System Translation Committee



Name

Affiliation

Daniel Berdugo

PS 30X Wilton, Bronx, NY

Yvonne Fuentes

Carrollton, GA

Marco Martinea-Leandro

Sandia High School. Albuquerque, NM

Jose Antonio (Tony) Paulino

Nathan Straus Preparatory School, New York, NY

Evelisse Rosado Rivera

PMB 36 HC 72, Naranjito, PR

Myrna Rosado-Rasmussen

Austin Independent School District, Austin, TX

Gloria M. Rosado Vazquez

HC – 02 Barranquitas, PR

Enid Valle

Kalamazoo College, Kalamazoo, MI

Appendix A-13: NAEP Principals’ Panel Standing Committee


Name

Affiliation

David Atherton

Clear Creek Middle School, Gresham, OR

Ardith Bates

Gladden Middle School, Chatsworth, GA

Williams Carozza

Harold Martin Elementary School, Hopkinton, NH

Diane Cooper

St. Joseph’s Academy, Clayton, MO

Brenda Creel

Alta Vista Elementary School, Cheyenne, WY

Rita Graves

Pin Oak Middle School, Bellaire, TX

Don Hoover

Lincoln Junior High School, Springdale, AR

Stephen Jackson

(Formerly with) Paul Laurence Dunbar High School, Washington, DC

Anthony Lockhart

Lake Shore Middle School, Belle Glade, FL

Susan Martin

Berrendo Middle School, Roswell, NM

Lillie McMillan

Porter Elementary School, San Diego, CA

Kourtney Miller

Chavez Prep Middle School, Washington, DC

Jason Mix

Howard Lake–Waverly–Winsted High School, Howard Lake, MN

Leon Oo-Sah-We

Ch’ooshgai Community School, Tohatchi, NM

Sylvia Rodriguez Vargas

Atlanta Girls’ School, Atlanta Georgia, GA


NATIONAL CENTER FOR EDUCATION STATISTICS NATIONAL ASSESSMENT OF EDUCATIONAL PROGRESS


National Assessment of Educational Progress (NAEP)

2021



Appendix B


NAEP 2013 Weighting Procedures


OMB# 1850-0928 v.20








September 2018

No changes since v.10

The 2013 Weighting Procedures documentation is the most current version available to the public. At this time, there is not a timeline for when the details for later assessment years will be publicly available.

NAEP Technical Documentation Website

NAEP Technical Documentation Weighting Procedures for the 2013 Assessment


NAEP assessments use complex sample designs to create student samples that generate population and subpopulation estimates with reasonably high precision. Student sampling weights ensure valid inferences from the student samples to their respective populations. In 2013, weights were developed for students sampled at grades 4, 8, and 12 for assessments in mathematics and reading.

Computation of Full-Sample Weights

Computation of Replicate Weights for Variance Estimation

Quality Control on Weighting Procedures

Each student was assigned a weight to be used for making inferences about students in the target population. This weight is known as the final full-sample student weight and contains the following major components:

Shape1 the student base weight;

Shape2 Shape3 Shape4 school nonresponse adjustments; student nonresponse adjustments; school weight trimming adjustments;

Shape5 Shape6 student weight trimming adjustments; and student raking adjustment.

The student base weight is the inverse of the overall probability of selecting a student and assigning that student to a particular assessment. The sample design that determines the base weights is discussed in the NAEP 2013 sample design section.

The student base weight is adjusted for two sources of nonparticipation: school level and student level. These weighting adjustments seek to reduce the potential for bias from such nonparticipation by

Shape7 increasing the weights of students from participating schools similar to those schools not participating; and

Shape8 increasing the weights of participating students similar to those students from within participating schools who did not attend the assessment session (or makeup session) as scheduled.

Furthermore, the final weights reflect the trimming of extremely large weights at both the school and student level. These weighting adjustments seek to reduce variances of survey estimates.

An additional weighting adjustment was implemented in the state and Trial Urban District Assessment (TUDA) samples so that estimates for key student-level characteristics were in agreement across assessments in reading and mathematics. This adjustment was implemented using a raking procedure.

In addition to the final full-sample weight, a set of replicate weights was provided for each student. These replicate weights are used to calculate the variances of survey estimates using the jackknife repeated replication method. The methods used to derive these weights were aimed at reflecting the features of the sample design, so that when the jackknife variance estimation procedure is implemented, approximately unbiased estimates of sampling variance are obtained. In addition, the various weighting procedures were repeated on each set of replicate weights to appropriately reflect the impact of the weighting adjustments on the sampling variance of a survey estimate. A finite population correction (fpc) factor was incorporated into the replication scheme so that it could be reflected in the variance estimates for the reading and mathematics assessments. See Computation of Replicate Weights for Variance Estimation for details.

Quality control checks were carried out throughout the weighting process to ensure the accuracy of the full-sample and replicate weights. See Quality Control for Weighting Procedures for the various checks implemented and main findings of interest.

In the linked pages that follow, please note that Vocabulary, Reading Vocabulary, and Meaning Vocabulary refer to the same reporting scale and are interchangeable.




http://nces.ed.gov/nationsreportcard/tdw/weighting/2013/naep_assessment_weighting_procedures.aspx



NAEP Technical Documentation Computation of Full- Sample W eights for the 2013 Assessment



The full-sample or final student weight is the sampling weight used to derive NAEP student estimates of population and subpopulation characteristics for a specified grade (4, 8, or 12) and assessment subject (reading or mathematics). The full-sample student weight reflects the number of students that the sampled student represents in the population for purposes of estimation. The summation of the final student weights over a particular student group provides an estimate of the total number of students in that group within the population.

The full-sample weight, which is used to produce survey estimates, is

Computation of Base Weights

School and Student Nonresponse Weight Adjustments

School and Student Weight Trimming Adjustments

Student Weight Raking Adjustment

distinct from a replicate weight that is used to estimate variances of survey estimates. The full-sample weight is assigned to participating students and reflects the student base weight after the application of the various weighting adjustments. The full-sample weight for student k from school s in stratum j (FSTUWGTjsk) can be expressed as follows:





where

Shape10 STU_BWTjsk is the student base weight;

Shape11 Shape12 Shape13 Shape14 Shape15 SCH_NRAFjs is the school-level nonresponse adjustment factor; STU_NRAFjsk is the student-level nonresponse adjustment factor; SCH_TRIMjs is the school-level weight trimming adjustment factor; STU_TRIMjsk is the student-level weight trimming adjustment factor; and STU_RAKEjsk is the student-level raking adjustment factor.


School sampling strata for a given assessment vary by school type and grade. See the links below for descriptions of the school strata for the various assessments.

Shape16 Shape17 Public schools at grades 4 and 8 Public schools at grade 12

Shape18 Private schools at grades 4, 8 and 12




http://nces.ed.gov/nationsreportcard/tdw/weighting/2013/computation_of_full_sample_weights_for_the_2013_assessment.aspx



NAEP Technical Documentation Computation of Base Weights for the 2013 Assessment


Every sampled school and student received a base weight equal to the reciprocal of its probability of selection. Computation of a school base weight varies by

Shape20 Shape21 type of sampled school (original or substitute); and sampling frame (new school frame or not).

Computation of a student base weight reflects

School Base Weights Student Base Weights

Shape22 Shape23 the student's overall probability of selection accounting for school and student sampling; assignment to session type at the school- and student-level; and

Shape24 the student's assignment to the reading or mathematics assessment.




http://nces.ed.gov/nationsreportcard/tdw/weighting/2013/computation_of_base_weights_for_the_2013_assessment.aspx



NAEP Technical Documentation School Base Weights for the 2013 Assessment

The school base weight for a sampled school is equal to the inverse of its overall probability of selection. The overall selection probability of a sampled school differs by

Shape26 Shape27 type of sampled school (original or substitute); sampling frame (new school frame or not).

The overall selection probability of an originally selected school in a reading or mathematics sample is equal to its probability of selection from the NAEP public/private school frame.

The overall selection probability of a school from the new school frame in a reading or mathematics sample is the product of two quantities:

Shape28 Shape29 the probability of selection of the school's district into the new-school district sample, and the probability of selection of the school into the new school sample.

Substitute schools are preassigned to original schools and take the place of original schools if they refuse to participate. For weighting purposes, they are treated as if they were the original schools that they replaced; so substitute schools are assigned the school base weight of the original schools.

Learn more about substitute schools for the 2013 private school national assessment and substitute schools for the 2013 twelfth grade public school assessment.




http://nces.ed.gov/nationsreportcard/tdw/weighting/2013/school_base_weights_for_the_2013_assessment.aspx



NAEP Technical Documentation Student Base Weights for the 2013 Assessment

Every sampled student received a student base weight, whether or not the student participated in the assessment. The student base weight is the reciprocal of the probability that the student was sampled to participate in the assessment for a specified subject. The student base weight for student k from school s in stratum j (STU_BWTjsk) is the product of seven weighting components and can be expressed as follows:






where

Shape31 SCH_BWTjs is the school base weight;

Shape32 SCHSsessionassignmentESWTjs is the school-level session assignment weight that reflects the conditional probability, given the school, that the particular session type was assigned to the school;

Shape33 WINSCHWTjs is the within-school student weight that reflects the conditional probability, given the school, that the student was selected for the NAEP assessment;

Shape34 STUSESWTjsk is Stu_bookmarkthe student-level session assignment weight that reflects the conditional probability, given that the particular session type was assigned to the school, that the student was assigned to the session type;

Shape35 SUBJFACsubjfacjsk is the subject spiral adjustment factor that reflects the conditional probability, given that the student was assigned to a particular session type, that the student was assigned the specified subject;

Shape36 SUBADJjs is the substitution adjustment factor to account for the difference in enrollment size between the substitute and original school; and

Shape37 YRRND_AFjs is the year-round adjustment factor to account for students in year- round schools on scheduled break at the time of the NAEP assessment and thus not available to be included in the sample.

The within-school student weight (WINSCHWTjs) is the inverse of the student sampling rate in the school.

The subject spiral adjustment factor (SUBJFACjsk) adjusts the student weight to account for the spiral pattern used in distributing reading or mathematics booklets to the students. The subject factor varies by grade, subject, and school type (public or private), and it is equal to the inverse of

the booklet proportions (reading or mathematics) in the overall spiral for a specific sample.

For cooperating substitutes of nonresponding original sampled schools, the substitution adjustment factor (SUBADJjs) is equal to the ratio of the estimated grade enrollment for the original sampled school to the estimated grade enrollment for the substitute school. The student sample from the substitute school then "represents" the set of grade-eligible students from the original sampled school.

The year-round adjustment factor (YRRND_AFjs) adjusts the student weight for students in year- round schools who do not attend school during the time of the assessment. This situation typically arises in overcrowded schools. School administrators in year-round schools randomly assign students to portions of the year in which they attend school and portions of the year in which they do not attend. At the time of assessment, a certain percentage of students (designated as OFF js) do not attend school and thus cannot be assessed. The YRRND_AFjs for a school is calculated as 1/(1- OFF js/100).




http://nces.ed.gov/nationsreportcard/tdw/weighting/2013/student_base_weights_for_the_2013_assessment.aspx


NAEP Technical Documentation Website

NAEP Technical Documentation School and Student

Nonresponse Weight Adjustments for the 2013 Assessment


Nonresponse is unavoidable in any voluntary survey of a human population. Nonresponse leads to the loss of sample data that must be compensated for in the weights of the responding sample members. This differs from ineligibility, for which no adjustments are necessary. The purpose of the nonresponse adjustments is to reduce the mean square error of survey estimates. While the nonresponse adjustment reduces the bias from the loss of sample, it also increases variability among the survey weights leading to increased variances of the sample estimates. However, it is presumed that the reduction in bias more than compensates for the increase in

School Nonresponse Weight Adjustment

Student Nonresponse Weight Adjustment

the variance, thereby reducing the mean square error and thus improving the accuracy of survey estimates. Nonresponse adjustments are made in the NAEP surveys at both the school and the student levels: the responding (original and substitute) schools receive a weighting adjustment to compensate for nonresponding schools, and responding students receive a weighting adjustment to compensate for nonresponding students.

The paradigm used for nonresponse adjustment in NAEP is the quasi-randomization approach (Oh and Scheuren 1983). In this approach, school response cells are based on characteristics of schools known to be related to both response propensity and achievement level, such as the locale type (e.g., large principal city of a metropolitan area) of the school. Likewise, student response cells are based on characteristics of the schools containing the students and student characteristics, which are known to be related to both response propensity and achievement level, such as student race/ethnicity, gender, and age.

Under this approach, sample members are assigned to mutually exclusive and exhaustive response cells based on predetermined characteristics. A nonresponse adjustment factor is calculated for each cell as the ratio of the sum of adjusted base weights for all eligible units to the sum of adjusted base weights for all responding units. The nonresponse adjustment factor is then applied to the base weight of each responding unit. In this way, the weights of responding units in the cell are "weighted up" to represent the full set of responding and nonresponding units in the response cell.

The quasi-randomization paradigm views nonresponse as another stage of sampling. Within each nonresponse cell, the paradigm assumes that the responding sample units are a simple random sample from the total set of all sample units. If this model is valid, then the use of the quasi-randomization weighting adjustment will eliminate any nonresponse bias. Even if this model is not valid, the weighting adjustments will eliminate bias if the achievement scores are homogeneous within the response cells (i.e., bias is eliminated if there is homogeneity either in response propensity or in achievement levels). See, for example, chapter 4 of Little and Rubin (1987).




http://nces.ed.gov/nationsreportcard/tdw/weighting/2013/school_and_student_nonresponse_weight_adjustments_for_the_2013_assessment.aspx



NAEP Technical Documentation School Nonresponse Weight Adjustment


The school nonresponse adjustment procedure inflates the weights of cooperating schools to account for eligible noncooperating schools for which no substitute schools participated. The adjustments are computed within nonresponse cells and are based on the assumption that the cooperating and noncooperating schools within the same cell are more similar to each other than to schools from different cells. School nonresponse adjustments were carried out separately by sample; that is, by

Shape40 Shape41 Shape42 sample level (state, national), school type (public, private), and grade (4, 8, 12).

Development of Initial School Nonresponse Cells

Development of Final School Nonresponse Cells

School Nonresponse Adjustment Factor Calculation


NAEP Technical Documentation Development of Initial School Nonresponse Cells

The cells for nonresponse adjustments are generally functions of the school sampling strata for the individual samples. School sampling strata usually differ by assessment subject, grade, and school type (public or private). Assessment subjects that are administered together by way of spiraling have the same school samples and stratification schemes. Subjects that are not spiraled with any other subjects have their own separate school sample. In NAEP 2015, all operational assessments were spiraled together.

The initial nonresponse cells for the various NAEP 2015 samples are described below.


Public School Samples for Reading and Mathematics at Grades 4 and 8

For these samples, initial weighting cells were formed within each jurisdiction using the following nesting cell structure:

Shape44 Shape45 Trial Urban District Assessment (TUDA) district vs. the balance of the state for states with TUDA districts, urbanicity (urban-centric locale) stratum; and

Shape46 race/ethnicity classification stratum, or achievement level, or median income, or grade enrollment.

In general, the nonresponse cell structure used race/ethnicity classification stratum as the lowest level variable. However, where there was only one race/ethnicity classification stratum within a particular urbanicity stratum, categorized achievement, median income, or enrollment data were used instead.


Public School Sample at Grade 12

Shape47 The initial weighting cells for this sample were formed using the following nesting cell structure: census division stratum,

Shape48 Shape49 urbanicity stratum (urban-centric locale), and race/ethnicity classification stratum.


Private School Samples at Grades 4, 8 and 12

Shape50 The initial weighting cells for these samples were formed within each grade using the following nesting cell structure: affiliation,

Shape51 census division stratum,

Shape52 Shape53 urbanicity stratum (urban-centric locale), and race/ethnicity classification stratum.




http://nces.ed.gov/nationsreportcard/tdw/weighting/2013/development_of_initial_school_nonresponse_cells_for_the_2013_assessment.aspx



NAEP Technical Documentation Development of Final School Nonresponse Cells

Limits were placed on the magnitude of cell sizes and adjustment factors to prevent unstable nonresponse adjustments

and unacceptably large nonresponse factors. All initial weighting cells with fewer than six cooperating schools or adjustment factors greater than 3.0 for the full sample weight were collapsed with suitable adjacent cells. Simultaneously, all initial weighting cells for any replicate with fewer than four cooperating schools or adjustment factors greater than the maximum of

    1. or two times the full sample nonresponse adjustment factor were collapsed with suitable adjacent cells. Initial weighting cells were generally collapsed in reverse order of the cell structure; that is, starting at the bottom of the nesting structure and working up toward the top level of the nesting structure.


Public School Samples at Grades 4 and 8

For the grade 4 and 8 public school samples, cells with the most similar race/ethnicity classification within a

given jurisdiction/Trial Urban District Assessment (TUDA) district and urbanicity (urban-centric locale) stratum were collapsed first. If further collapsing was required after all levels of race/ethnicity strata were collapsed, cells with the most similar urbanicity strata were combined next. Cells were never permitted to be collapsed across jurisdictions or TUDA districts.


Public School Sample at Grades 12


For the grade 12 public school sample, race/ethnicity classification cells within a given census division stratum and urbanicity stratum were collapsed first. If further collapsing was required after all levels of race/ethnicity classification were collapsed, cells with the most similar urbanicity strata were combined next. Any further collapsing occurred across census division strata but never across census regions.


Private School Samples at Grades 4, 8, and 12


For the private school samples, cells with the most similar race/ethnicity classification within a given affiliation, census division, and urbanicity stratum were collapsed first. If further collapsing was required after all levels of race/ethnicity strata were collapsed, cells with the most similar urbanicity classification were combined. Any further collapsing occurred across census division strata but never across affiliations.




http://nces.ed.gov/nationsreportcard/tdw/weighting/2013/development_of_final_school_nonresponse_cells_for_the_2013_assessment.aspx



NAEP Technical Documentation School Nonresponse Adjustment Factor Calculation

In each final school nonresponse adjustment cell c, the school nonresponse adjustment factor SCH_NRAFc was computed as follows:





where

Shape56 Sc is the set of all eligible sampled schools (cooperating original and substitute schools and refusing original schools with noncooperating or no assigned substitute) in cell c,

Shape57 Shape58 Rc is the set of all cooperating schools within Sc, SCH_BWTs is the school base weight,

Shape59 Shape60 SCH_TRIMs is the school-level weight trimming factor, SCHSESWTs is the school-level session assignment weight, and

Shape61 Xs is the estimated grade enrollment corresponding to the original sampled school.



http://nces.ed.gov/nationsreportcard/tdw/weighting/2013/school_nonresponse_adjustment_factor_calculation_for_the_2013_assessment.aspx



NAEP Technical Documentation Student Nonresponse Weight Adjustment


The student nonresponse adjustment procedure inflates the weights of assessed students to account for eligible sampled students who did not participate in the assessment. These inflation factors offset the loss of data associated with absent students. The adjustments are computed within nonresponse cells and are based on the assumption that the assessed and absent students within the same cell are more similar to one another than to students from different cells. Like its counterpart at the school level, the student nonresponse adjustment is

Development of Initial Student Nonresponse Cells

Development of Final Student Nonresponse Cells

Student Nonresponse Adjustment Factor Calculation

intended to reduce the mean square error and thus improve the accuracy of NAEP assessment estimates. Also, like its counterpart at the school level, student nonresponse adjustments were carried out separately by sample; that is, by

Shape63 grade (4, 8, 12),

Shape64 school type (public, private), and

Shape65 assessment subject (mathematics, reading, science, meaning vocabulary).




http://nces.ed.gov/nationsreportcard/tdw/weighting/2013/student_nonresponse_weight_adjustment_for_the_2013_assessment.aspx



NAEP Technical Documentation Development of Initial Student Nonresponse Cells for the 2013 Assessment

Initial student nonresponse cells are generally created within each sample as defined by grade, school type (public, private), and assessment subject. However, when subjects are administered together by way of spiraling, the initial student nonresponse cells are created across the subjects in the same spiral. The rationale behind this decision is that spiraled subjects are in the same schools and the likelihood of whether an eligible student participates in an assessment is more related to its school than the subject of the assessment booklet. In NAEP 2013, there was only one spiral, with the reading and mathematics assessments spiraled together. The initial student nonresponse cells for the various NAEP 2013 samples are described below.

Nonresponse adjustment procedures are not applied to excluded students because they are not required to complete an assessment.


Public School Samples for Reading and Mathematics at Grades 4 and 8

The initial student nonresponse cells for these samples were defined within grade, jurisdiction, and Trial Urban District Assessment (TUDA) district using the following nesting cell structure:

Shape67 Shape68 students with disabilities (SD)/English language learners (ELL) by subject, school nonresponse cell,

Shape69 Shape70 age (classified into "older"1 student and "modal age or younger" student), gender, and

Shape71 race/ethnicity.

The highest level variable in the cell structure separates students who were classified either as having disabilities (SD) or as English language learners (ELL) from those who are neither, since SD or ELL students tend to score lower on assessment tests than non-SD/non-ELL students. In addition, the students in the SD or ELL groups are further broken down by subject, since rules for excluding students from the assessment differ by subject. Non-SD and non-ELL students are not broken down by subject, since the exclusion rules do not apply to them.


Public School Samples for Reading and Mathematics at Grade 12

The initial weighting cells for these samples were formed hierarchically within state for the state-reportable samples and the balance of the country for remaining states as follows:

Shape72 SD/ELL,

Shape73 school nonresponse cell,

Shape74 Shape75 age (classified into "older"1 student and "modal age or younger" student), gender, and

Shape76 race/ethnicity.


Private School Samples for Reading and Mathematics at Grades 4, 8, and 12

Shape77 The initial weighting cells for these private school samples were formed hierarchically within grade as follows: SD/ELL,

Shape78 school nonresponse cell,

Shape79 Shape80 age (classified into "older"1 student and "modal age or younger" student), gender, and

Shape81 race/ethnicity.

Although exclusion rules differ by subject, there were not enough SD or ELL private school students to break out by subject as was done for the public schools.


1Older students are those born before October 1, 2002, for grade 4; October 1, 1998, for grade 8; and October 1, 1994, for

grade 12.




http://nces.ed.gov/nationsreportcard/tdw/weighting/2013/development_of_initial_student_nonresponse_cells_for_the_2013_assessment.aspx



NAEP Technical Documentation Development of Final Student Nonresponse Cells for the 2013 Assessment

Similar to the school nonresponse adjustment, cell and adjustment factor size constraints are in place to prevent unstable nonresponse adjustments or unacceptably large adjustment factors. All initial weighting cells with either fewer than 20 participating students or adjustment factors greater than 2.0 for the full sample weight were collapsed with suitable adjacent cells. Simultaneously, all initial weighting cells for any replicate with either fewer than 15 participating students or an adjustment factor greater than the maximum of 2.0 or 1.5 times the full sample nonresponse adjustment factor were collapsed with suitable adjacent cells.

Initial weighting cells were generally collapsed in reverse order of the cell structure; that is, starting at the bottom of the nesting structure and working up toward the top level of the nesting structure. Race/ethnicity cells within SD/ELL groups, school nonresponse cell, age, and gender classes were collapsed first. If further collapsing was required after collapsing all race/ethnicity classes, cells were next combined across gender, then age, and finally school nonresponse cells. Cells are never collapsed across SD and ELL groups for any sample.




http://nces.ed.gov/nationsreportcard/tdw/weighting/2013/development_of_final_student_nonresponse_cells_for_the_2013_assessment.aspx



NAEP Technical Documentation Student Nonresponse Adjustment Factor Calculation

In each final student nonresponse adjustment cell c for a given sample, the student nonresponse adjustment factor STU_NRAFc was computed as follows:




where

Shape84 Shape85 Sc is the set of all eligible sampled students in cell c for a given sample, Rc is the set of all assessed students within Sc,

Shape86 STU_BWTk is the student base weight for a given student k,

Shape87 Shape88 Shape89 SCH_TRIMk is the school-level weight trimming factor for the school associated with student k, SCH_NRAFk is the school-level nonresponse adjustment factor for the school associated with student k, and SUBJFACk is the subject factor for a given student k.

The student weight used in the calculation above is the adjusted student base weight, without regard to subject, adjusted for school weight trimming and school nonresponse.

Nonresponse adjustment procedures are not applied to excluded students because they are not required to complete an assessment. In effect, excluded students were placed in a separate nonresponse cell by themselves and all received an adjustment factor of 1. While excluded students are not included in the analysis of the NAEP scores, weights are provided for excluded students in order to estimate the size of this group and its population characteristics.




http://nces.ed.gov/nationsreportcard/tdw/weighting/2013/student_nonresponse_adjustment_factor_calculation_for_the_2013_assessment.aspx



NAEP Technical Documentation School and Student Weight Trimming Adjustments for the 2013 Assessment


Weight trimming is an adjustment procedure that involves detecting and reducing extremely large weights. "Extremely large weights" generally refer to large sampling weights that were not anticipated in the design of the sample. Unusually large weights are likely to produce large sampling variances for statistics of interest, especially when the large weights are associated with sample cases reflective of rare or atypical characteristics. To reduce the impact of these large weights on variances, weight reduction methods are typically employed. The goal of employing weight reduction methods is to reduce the mean square error of survey estimates. While the

Trimming of School Base Weights

Trimming of Student Weights

trimming of large weights reduces variances, it also introduces some bias. However, it is presumed that the reduction in the variances more than compensates for the increase in the bias, thereby reducing the mean square error and thus improving the accuracy of survey estimates (Potter 1988). NAEP employs weight trimming at both the school and student levels.




http://nces.ed.gov/nationsreportcard/tdw/weighting/2013/school_and_student_weight_trimming_adjustments_for_the_2013_assessment.aspx



NAEP Technical Documentation Trimming of School Base Weights

Large school weights can occur for schools selected from the NAEP new-school sampling frame and for private schools. New schools that are eligible for weight trimming are schools with a disproportionately large student enrollment in a particular grade from a school district that was selected with a low probability of selection. The school base weights for such schools may be large relative to what they would have been if they had been selected as part of the original sample.

To detect extremely large weights among new schools, a comparison was made between a new school's school base weight and its ideal weight (i.e., the weight that would have resulted had the school been selected from the original school sampling frame). If the school base weight was more than three times the ideal weight, a trimming factor was calculated for that school that scaled the base weight back to three times the ideal weight. The calculation of the school-level trimming factor for a new school s is expressed in the following formula:




where

Shape92 EXP_WTs is the ideal base weight the school would have received if it had been on the NAEP public school sampling frame, and

Shape93 SCH_BWTs is the actual school base weight the school received as a sampled school from the new school frame.

Thirty-seven (37) schools out of 377 selected from the new-school sampling frame had their weights trimmed: eight at grade 4, 29 at grade 8, and zero at grade 12.

Private schools eligible for weight trimming were Private School Universe Survey (PSS) nonrespondents who were found subsequently to have either larger enrollments than assumed at the time of sampling, or an atypical probability of selection given their affiliation, the latter being unknown at the time of sampling. For private school s, the formula for computing the school-level weight trimming factor SCH_TRIMs is identical to that used for new schools. For private schools,

Shape94 EXP_WTs is the ideal base weight the school would have received if it had been on the NAEP private school sampling frame with accurate enrollment and known affiliation, and

Shape95 SCH_BWTs is the actual school base weight the school received as a sampled private school.

No private schools had their weights trimmed.




http://nces.ed.gov/nationsreportcard/tdw/weighting/2013/trimming_of_school_base_weights_for_the_2013_assessment.aspx



NAEP Technical Documentation Trimming of Student Weights

Large student weights generally come from compounding nonresponse adjustments at the school and student levels with artificially low school selection probabilities, which can result from inaccurate enrollment data on the school frame used to define the school size measure. Even though measures are in place to limit the number and size of excessively large weights—such as the implementation of adjustment factor size constraints in both the school and student nonresponse procedures and the use of the school trimming procedure—large student weights can occur due to compounding effects of the various weighting components.

The student weight trimming procedure uses a multiple median rule to detect excessively large student weights. Any student weight within a given trimming group greater than a specified multiple of the median weight value of the given trimming group has its weight scaled back to that threshold. Student weight trimming was implemented separately by grade, school type (public or private), and subject. The multiples used were 3.5 for public school trimming groups and 4.5 for private school trimming groups. Trimming groups were defined by jurisdiction and Trial Urban District Assessment (TUDA) districts for the public school samples at grades 4 and 8; by dichotomy of low/high percentage of Black and Hispanic students (15 percent and below, above 15 percent) for the public school sample at grade 12; and by affiliation (Catholic, Non-Catholic) for private school samples at grades 4, 8 and 12.

The procedure computes the median of the nonresponse-adjusted student weights in the trimming group g for a given grade and subject sample. Any student k with a weight more than M times the median received a trimming factor calculated as follows:



where

Shape97 M is the trimming multiple,

Shape98 Shape99 MEDIANg is the median of nonresponse-adjusted student weights in trimming group g, and STUWGTgk is the weight after student nonresponse adjustment for student k in trimming group g.

In the 2013 assessment, relatively few students had weights considered excessively large. Out of the approximately 840,000 students included in the combined 2013 assessment samples, 226 students had their weights trimmed.




http://nces.ed.gov/nationsreportcard/tdw/weighting/2013/trimming_of_student_weights_for_the_2013_assessment.aspx



NAEP Technical Documentation Student Weight Raking Adjustment for the 2013 Assessment


Weighted estimates of population totals for student-level subgroups for a given grade will vary across subjects even though the student samples for each subject generally come from the same schools. These differences are the result of sampling error associated with the random assignment of subjects to students through a process known as spiraling. For state assessments in particular, any

Development of Final Raking Dimensions Raking Adjustment Control Totals

Raking Adjustment Factor Calculation

difference in demographic estimates between subjects, no matter how small, may raise concerns about data quality. To remove these random differences and potential data quality concerns, a new step was added to the NAEP weighting procedure starting in 2009. This step adjusts the student weights in such a way that the weighted sums of population totals for specific subgroups are the same across all subjects. It was implemented using a raking procedure and applied only to state-level assessments.

Raking is a weighting procedure based on the iterative proportional fitting process developed by Deming and Stephan (1940) and involves simultaneous ratio adjustments to two or more marginal distributions of population totals. Each set of marginal population totals is known as a dimension, and each population total in a dimension is referred to as a control total. Raking is carried out in a sequence of adjustments. Sampling weights are adjusted to one marginal distribution and then to the second marginal distribution, and so on. One cycle of sequential adjustments to the marginal distributions is called an iteration. The procedure is repeated until convergence is achieved. The criterion for convergence can be specified either as the maximum number of iterations or an absolute difference (or relative absolute difference) from the marginal population totals. More discussion on raking can be found in Oh and Scheuren (1987).

For NAEP 2013, the student raking adjustment was carried out separately in each state for the reading

and mathematics public school samples at grades 4 and 8, and in the 13 states with state-reportable samples for the reading and mathematics public school samples at grade 12. The dimensions used in the raking process were National School Lunch Program (NSLP) eligibility, race/ethnicity, SD/ELL status, and gender. The control totals for these dimensions were obtained from the NAEP student sample weights of the reading

and mathematics samples combined.




http://nces.ed.gov/nationsreportcard/tdw/weighting/2013/student_weight_raking_adjustment_for_the_2013_assessment.aspx



NAEP Technical Documentation Development of Final Raking Dimensions

The raking procedure involved four dimensions. The variables used to define the dimensions are listed below along with the categories making up the initial raking cells for each dimension.

Shape102 National School Lunch Program (NSLP) eligibility

      1. Eligible for free or reduced-price lunch

      2. Shape103 Otherwise Race/Ethnicity

  1. White, not Hispanic

  2. Black, not Hispanic

  3. Hispanic

  4. Asian

  5. American Indian/Alaska Native

  6. Native Hawaiian/Pacific Islander

  7. Shape104 Two or More Races SD/ELL status

  1. SD, but not ELL

  2. ELL, but not SD

  3. SD and ELL

  4. Shape105 Neither SD nor ELL Gender

  1. Male

  2. Female

In states containing districts that participated in Trial Urban District Assessments (TUDA) districts at grades 4 and 8, the initial cells were created separately for each TUDA district and the balance of the state. Similar to the procedure used for school and student nonresponse adjustments, limits were placed on the magnitude of the cell sizes and adjustment factors to prevent unstable raking adjustments that could have resulted in unacceptably large or small adjustment factors. Levels of a dimension were combined whenever there were fewer than 30 assessed or excluded students (20 for any of the replicates) in a category, if the smallest adjustment was less than 0.5, or if the largest adjustment was greater than 2 for the full sample or for any replicate.


If collapsing was necessary for the race/ethnicity dimension, the following groups were combined first: American Indian/Alaska Native with Black, not Hispanic; Hawaiian/Pacific Islander with Black, not Hispanic; Two or More Races with White, not Hispanic; Asian with White, not Hispanic; and Black, not Hispanic with Hispanic. If further collapsing was necessary, the five categories American Indian/Alaska Native; Two or More Races; Asian; Native Hawaiian/Pacific Islander; and White, not Hispanic were combined. In some instances, all seven categories had to be collapsed.

If collapsing was necessary for the SD/ELL dimension, the SD/not ELL and SD/ELL categories were combined first, followed by ELL/not SD if further collapsing was necessary. In some instances, all four categories had to be collapsed.




http://nces.ed.gov/nationsreportcard/tdw/weighting/2013/development_of_final_raking_dimensions_for_the_2013_assessment.aspx



NAEP Technical Documentation Raking Adjustment Control Totals for the 2013 Assessment

The control totals used in the raking procedure for NAEP 2013 grades 4, 8, and 12 were estimates of the student population derived from the set of assessed and excluded students pooled across subjects. The control totals for category c within dimension d were computed as follows:



where

Shape107 Shape108 Shape109 Rc(d) is the set of all assessed students in category c of dimension d, Ec(d) is the set of all excluded students in category c of dimension d, STU_BWTk is the student base weight for a given student k,

Shape110 Shape111 Shape112 SCH_TRIMk is the school-level weight trimming factor for the school associated with student k, SCH_NRAFk is the school-level nonresponse adjustment factor for the school associated with student k, STU_NRAFk is the student-level nonresponse adjustment factor for student k, and

Shape113 SUBJFACk is the subject factor for student k.

The student weight used in the calculation of the control totals above is the adjusted student base weight, without regard to subject, adjusted for school weight trimming, school nonresponse, and student nonresponse. Control totals were computed for the full sample and for each replicate independently.




http://nces.ed.gov/nationsreportcard/tdw/weighting/2013/raking_adjustment_control_totals_for_the_2013_assessment.aspx



NAEP Technical Documentation Raking Adjustment Factor Calculation for the 2013 Assessment

For assessed and excluded students in a given subject, the raking adjustment factor STU_RAKEk was computed as follows:

First, the weight for student k was initialized as follows:








where



Shape115



STU_BWTk is the student base weight for a given student k,

Shape116 Shape117 Shape118 SCH_TRIMk is the school-level weight trimming factor for the school associated with student k, SCH_NRAFk is the school-level nonresponse adjustment factor for the school associated with student k, STU_NRAFk is the student-level nonresponse adjustment factor for student k, and

Shape119 SUBJFACk is the subject factor for student k.

Then, the sequence of weights for the first iteration was calculated as follows for student k in category c of dimension d:


For dimension 1:







For dimension 2:







For dimension 3:






For dimension 4:





where

Shape120 Shape121 Shape122 Rc(d) is the set of all assessed students in category c of dimension d, Ec(d) is the set of all excluded students in category c of dimension d, and Totalc(d) is the control total for category c of dimension d.

k

The process is said to converge if the maximum difference between the sum of adjusted weights and the control totals is 1.0 for each category in each dimension. If after the sequence of adjustments the maximum difference was greater than 1.0, the process continues to the next iteration, cycling back to the first dimension with the initial weight for student k equaling STUSAWT adj(4) from the previous iteration. The process continued until

convergence was reached.

Once the process converged, the adjustment factor was computed as follows:





where STUSAWTk is the weight for student k after convergence.

The process was done independently for the full sample and for each replicate.




http://nces.ed.gov/nationsreportcard/tdw/weighting/2013/raking_adjustment_factor_calculation_for_the_2013_assessment.aspx


NAEP Technical Documentation Website

NAEP Technical Documentation Computation of Replicate Weights for the 2013 Assessment



In addition to the full-sample weight, a set of 62 replicate weights was provided for each student. These replicate weights are used in calculating the sampling variance of estimates obtained from the data, using the jackknife repeated replication method. The method of deriving these weights was aimed at reflecting the features of the sample design appropriately for each sample, so that when the jackknife variance estimation procedure is implemented, approximately unbiased estimates of sampling variance are

obtained. This section gives the specifics for generating the

Defining Variance Strata and Forming Replicates

Computing School-Level Replicate Factors


Computing Student-Level Replicate Factors

Replicate Variance Estimation


replicate weights for the 2013 assessment samples. The theory that underlies the jackknife variance estimators used in NAEP studies is discussed in the section Replicate Variance Estimation.

In general, the process of creating jackknife replicate weights takes place at both the school and student level. The precise implementation differs between those samples that involve the selection of Primary Sampling Units (PSUs) and those where the school is the first stage of sampling. The procedure for this second kind of sample also differed starting in 2011 from all previous NAEP assessments. The change that was implemented permitted the introduction of a finite population correction factor at the school sampling stage, developed by Rizzo and Rust (2011). In assessments prior to 2011, this adjustment factor has always been implicitly assumed equal to 1.0, resulting in some overestimation of the sampling variance.

For each sample, the calculation of replicate weighting factors at the school level was conducted in a series of steps. First, each school was assigned to one of 62 variance estimation strata. Then, a random subset of schools in each variance estimation stratum was assigned a replicate factor of between 0 and 1. Next, the remaining subset of schools in the same variance stratum was assigned a complementary replicate factor greater than 1. All schools in the other variance estimation strata were assigned a replicate factor of exactly 1. This process was repeated for each of the 62 variance estimation strata so that 62 distinct replicate factors were assigned to each school in the sample.

This process was then repeated at the student level. Here, each individual sampled student was assigned to one of 62 variance estimation strata, and 62 replicate factors with values either between 0 and 1, greater than 1, or exactly equal to 1 were assigned to each student.

For example, consider a single hypothetical student. For replicate 37, that student’s student replicate factor might be 0.8, while for the school to which the student belongs, for replicate 37, the school replicate factor might be 1.6. Of course, for a given student, for most replicates, either the student replicate factor, the school replicate factor, or (usually) both, is equal to 1.0.

A replicate weight was calculated for each student, for each of the 62 replicates, using weighting procedures similar to those used for the full-sample weight. Each replicate weight contains the school and student replicate factors described above. By repeating the various weighting procedures on each set of replicates, the impact of these procedures on the sampling variance of an estimate is appropriately reflected in the variance estimate.

Each of the 62 replicate weights for student k in school s in stratum j can be expressed as follows:





where

Shape124 STU_BWTjsk is the student base weight;

Shape125 Shape126 Shape127 Shape128 Shape129 Shape130 Shape131 SCH_REPFACjs(r) is the school-level replicate factor for replicate r; SCH_NRAFjs(r) is the school-level nonresponse adjustment factor for replicate r; STU_REPFACjsk(r) is the student-level replicate factor for replicate r; STU_NRAFjsk(r) is the student-level nonresponse adjustment factor for replicate r; SCH_TRIMjs is the school-level weight trimming adjustment factor; STU_TRIMjsk is the student-level weight trimming adjustment factor; and STU_RAKEjsk(r) is the student-level raking adjustment factor for replicate r.

Specific school and student nonresponse and student-level raking adjustment factors were calculated separately for each replicate, thus the use of the index (r), and applied to the replicate student base weights. Computing separate nonresponse and raking adjustment factors for each replicate allows resulting variances from the use of the final student replicate weights to reflect components of variance due to these various weight adjustments.

School and student weight trimming adjustments were not replicated, that is, not calculated separately for each replicate. Instead, each replicate used the school and student trimming adjustment factors derived for the full sample. Statistical theory for replicating trimming adjustments under the jackknife approach has not been developed in the literature. Due to the absence of a statistical framework, and since relatively few school and student weights in NAEP require trimming, the weight trimming adjustments were not replicated.




http://nces.ed.gov/nationsreportcard/tdw/weighting/2013/computation_of_replicate_weights_for_the_2013_assessment.aspx



NAEP Technical Documentation Defining Variance Strata and Forming Replicates for the 2013 Assessment

In the NAEP 2013 assessment, replicates were formed separately for each sample indicated by grade (4, 8, 12), school type (public, private), and assessment subject (mathematics, reading). To reflect the school-level finite population corrections in the variance estimators for the two-stage samples used for the mathematics and reading assessments, replication was carried out at both the school and student levels.

The first step in forming replicates was to create preliminary variance strata in each primary stratum. This was done by sorting the appropriate sampling unit (school or student) in the order of its selection within the primary stratum and then pair off adjacent sampling units into preliminary variance strata. Sorting sample units by their order of sample selection reflects the implicit stratification and systematic sampling features of the sample design. Within each primary stratum with an even number of sampling units, all of the preliminary variance strata consisted of pairs of sampling units. However, within primary strata with an odd number of sampling units, all but one variance strata consisted of pairs of sampling units, while the last one consisted of three sampling units.

The next step is to form the final variance strata by combining preliminary strata if appropriate. If there were more than 62 preliminary variance strata within a primary stratum, the preliminary variance strata were grouped to form 62 final variance strata. This grouping effectively maximized the distance in the sort order between grouped preliminary variance strata. The first 62 preliminary variance strata, for example, were assigned to 62 different final variance strata in order (1 through 62), with the next 62 preliminary variance strata assigned to final variance strata 1 through 62, so that, for example, preliminary variance stratum 1, preliminary variance stratum 63, preliminary variance stratum 125 (if in fact there were that many), etc., were all assigned to the first final variance stratum.

If, on the other hand, there were fewer than 62 preliminary variance strata within a primary stratum, then the number of final variance strata was set equal to the number of preliminary variance strata. For example, consider a primary stratum with 111 sampled units sorted in their order of selection. The first two units were in the first preliminary variance stratum; the next two units were in the second preliminary variance stratum, and so on, resulting in 54 preliminary variance strata with two sample units each (doublets). The last three sample units were in the 55th preliminary variance stratum (triplet). Since there are no more than 62 preliminary variance strata, these were also the final variance strata.

Within each preliminary variance stratum containing a pair of sampling units, one sampling unit was randomly assigned as the first variance unit and the other as the second variance unit. Within each preliminary variance stratum containing three sampling units, the three first-stage units were randomly assigned variance units 1 through 3.

Reading and Mathematics Assessments

At the school-level for these samples, formation of preliminary variance strata did not pertain to certainty schools, since they are not subject to sampling variability, but only to noncertainty schools. The primary stratum for noncertainty schools was the highest school-level sampling stratum variable listed below, and the order of selection was defined by sort order on the school sampling frame.

Shape133 Trial Urban District Assessment (TUDA) districts, remainder of states (for states with TUDAs), or entire states for the public school samples at grades 4, 8, and 12; and

Shape134 Private school affiliation (Catholic, non-Catholic) for the private school samples at grades 4, 8, and 12.

At the student-level, all students were assigned to variance strata. The primary stratum was school, and the order of selection was defined by session number and position on the administration schedule.

Within each pair of preliminary variance strata, one first-stage unit, designated at random, was assigned as the first variance unit and the other first-stage unit as the second variance unit. Within each triplet preliminary variance stratum, the three schools were randomly assigned variance units 1 through 3.






http://nces.ed.gov/nationsreportcard/tdw/weighting/2013/defining_variance_strata_and_forming_replicates_for_the_2013_assessment.aspx



NAEP Technical Documentation Computing School- Level Replicate Factors for the 2013 Assessment

The replicate variance estimation approach for the mathematics and reading assessments involved finite population corrections at the school level. The calculation of school-level replicate factors for these assessments depended upon whether or not a school was selected with certainty. For certainty schools, the school-level replicate factors for all replicates are set to unity – this is true regardless of whether or not the variance replication method uses finite population corrections since certainty schools are not subject to sampling variability. Alternatively, one can view the finite population correction factor for such schools as being equal to zero. Thus, for each certainty school in a given assessment, the school-level replicate factor for each of the 62 replicates (r = 1, ..., 62) was assigned as follows:



where SCH_REPFACjs(r) is the school-level replicate factor for school s in primary stratum j for the r-th replicate.

For noncertainty schools, where preliminary variance strata were formed by grouping schools into pairs or triplets, school-level replicate factors were calculated for each of the 62 replicates based on this grouping. For schools in variance strata comprising pairs of schools, the school-level replicate factors,SCH_REPFACjs(r),r = 1,..., 62, were calculated as follows:





where



Shape136



min(πj1, πj2) is the smallest school probability between the two schools comprising Rjr,

Shape137 Shape138 Rjr is the set of schools within the r-th variance stratum for primary stratum j, and Ujs is the variance unit (1 or 2) for school s in primary stratum j.

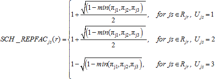
For noncertainty schools in preliminary variance strata comprising three schools, the school-level replicate factors SCH_REPFACjs(r), r = 1,..., 62 were calculated as follows:

For school s from primary stratum j, variance stratum r,




while for r' = r + 31 (mod 62):




and for all other r* other than r and r' :



where



Shape139



min(πj1, πj2j3) is the smallest school probability among the three schools comprising Rjr,

Shape140 Shape141 Rjr is the set of schools within the r-th variance stratum for primary stratum j, and Ujs is the variance unit (1, 2, or 3) for school s in primary stratum j.

In primary strata with fewer than 62 variance strata, the replicate weights for the “unused” variance strata (the remaining ones up to 62) for these schools were set equal to the school base weight (so that those replicates contribute nothing to the variance estimate).




http://nces.ed.gov/nationsreportcard/tdw/weighting/2013/computing_school_level_replicate_factors_for_the_2013_assessment_.aspx


NAEP Technical Documentation Website

NAEP Technical Documentation Computing Student- Level Replicate Factors for the 2013 Assessment

For the mathematics and reading assessments, which involved school-level finite population corrections, the student- level replication factors were calculated the same way regardless of whether or not the student was in

a certainty school.

For students in student-level variance strata comprising pairs of students, the student-level replicate factors, STU_REPFACjsk(r), r = 1,..., 62, were calculated as follows:




where

Shape143 πs is the probability of selection for school s,

Shape144 Shape145 Rjsr is the set of students within the r-th variance stratum for school s in primary stratum j, and Ujsk is the variance unit (1 or 2) for student k in school s in stratum j.

For students in variance strata comprising three students, the student-level replicate factors STU_REPFACjsk(r), r = 1,..., 62, were calculated as follows:






while for r' = r + 31 (mod 62):




and for all other r* other than r and r' :




where

Shape146 πs is the probability of selection for school s,

Shape147 Shape148 Rjsr is the set of students within the r-th replicate stratum for school s in stratum j, and Ujsk is the variance unit (1, 2, or 3) for student k in school s in stratum j.

Note, for students in certainty schools, where πs = 1, the student replicate factors are 2 and 0 in the case of pairs, and 1.5, 1.5, and 0 in the case of triples.



http://nces.ed.gov/nationsreportcard/tdw/weighting/2013/computing_student_level_replicate_factors_for_the_2013_assessment.aspx

NAEP Technical Documentation Website

NAEP Technical Documentation Replicate Variance Estimation for the 2013 Assessment

Variances for NAEP assessment estimates are computed using the paired jackknife replicate variance procedure. This technique is applicable for common statistics, such as means and ratios, and differences between these for different subgroups, as well as for more complex statistics such as linear or logistic regression coefficients.

In general, the paired jackknife replicate variance procedure involves initially pairing clusters of first-stage sampling units to form H variance strata (h = 1, 2, 3, ...,H) with two units per stratum. The first replicate is formed by assigning, to one unit at random from the first variance stratum, a replicate weighting factor of less than 1.0, while assigning the remaining unit a complementary replicate factor greater than 1.0, and assigning all other units from the other (H - 1) strata a replicate factor of 1.0. This procedure is carried out for each variance stratum resulting in H replicates, each of which provides an estimate of the population total.

In general, this process is repeated for subsequent levels of sampling. In practice, this is not practicable for a design with three or more stages of sampling, and the marginal improvement in precision of the variance estimates would be negligible in all such cases in the NAEP setting. Thus in NAEP, when a two-stage design is used – sampling schools and then students – beginning in 2011 replication is carried out at both stages. (See Rizzo and Rust (2011) for a description of the methodology.) When a three-stage design is used, involving the selection of geographic Primary Sampling Units (PSUs), then schools, and then students, the replication procedure is only carried out at the first stage of sampling (the PSU stage for noncertainty PSUs, and the school stage within certainty PSUs). In this situation, the school and student variance components are correctly estimated, and the overstatement of the between-PSU variance component is relatively very small.

The jackknife estimate of the variance for any given statistic is given by the following formula:




where


Shape149 Shape150 represents the full sample estimate of the given statistic, and represents the corresponding estimate for replicate h.

Each replicate undergoes the same weighting procedure as the full sample so that the jackknife variance estimator reflects the contributions to or reductions in variance resulting from the various weighting adjustments.

The NAEP jackknife variance estimator is based on 62 variance strata resulting in a set of 62 replicate weights assigned to each school and student.

The basic idea of the paired jackknife variance estimator is to create the replicate weights so that use of the jackknife procedure results in an unbiased variance estimator for simple totals and means, which is also reasonably efficient (i.e., has a low variance as a variance estimator). The jackknife variance estimator will then produce a consistent (but not fully unbiased) estimate of variance for (sufficiently smooth) nonlinear functions of total and mean estimates such as ratios, regression coefficients, and so forth (Shao and Tu, 1995).

The development below shows why the NAEP jackknife variance estimator returns an unbiased variance estimator for totals and means, which is the cornerstone to the asymptotic results for nonlinear estimators. See for example Rust (1985). This paper also discusses why this variance estimator is generally efficient (i.e., more reliable than alternative approaches requiring similar computational resources).

The development is done for an estimate of a mean based on a simplified sample design that closely approximates the sample design for first-stage units used in the NAEP studies. The sample design is a stratified random sample with H strata with population weights Wh, stratum sample sizes nh, and stratum

sample means . The population estimator and standard unbiased variance estimator are:



with



The paired jackknife replicate variance estimator assigns one replicate h=1,…, H to each stratum, so that the number of replicates equals H. In NAEP, the replicates correspond generally to pairs and triplets (with the latter only being used if there are an odd number of sample units within a particular primary stratum generating replicate strata). For pairs, the process of generating replicates can be viewed as taking a simple random sample (J) of size nh/2 within the replicate stratum, and assigning an increased weight to the sampled elements, and a decreased weight to the unsampled elements. In certain applications, the increased weight is double the full sample weight, while the decreased weight is in fact equal to zero. In this

simplified case, this assignment reduces to replacing with , the latter being the sample mean of the sampled nh/2 units. Then the replicate estimator corresponding to stratum r is






The r-th term in the sum of squares for is thus:






In stratified random sampling, when a sample of size nr/2 is drawn without replacement from a population of size nr,, the sampling variance is



See for example Cochran (1977), Theorem 5.3, using nr, as the “population size,” nr/2 as the “sample size,” and sr2 as the “population variance” in the given formula. Thus,




Taking the expectation over all of these stratified samples of size nr/2, it is found that




In this sense, the jackknife variance estimator “gives back” the sample variance estimator for means and totals as desired under the theory.

In cases where, rather than doubling the weight of one half of one variance stratum and assigning a zero weight to the other, the weight of one unit is multiplied by a replicate factor of (1+δ), while the other is multiplied by (1- δ), the result is that




In this way, by setting δ equal to the square root of the finite population correction factor, the jackknife variance estimator is able to incorporate a finite population correction factor into the variance estimator.

In practice, variance strata are also grouped to make sure that the number of replicates is not too large (the total number of variance strata is usually 62 for NAEP). The randomization from the original sample distribution guarantees that the sum of squares contributed by each replicate will be close to the target expected value.

For triples, the replicate factors are perturbed to something other than 1.0 for two different replicate factors, rather than just one as in the case of pairs. Again in the simple case where replicate factors that are less than 1 are all set to 0, with the replicate weight factors calculated as follows.

For unit i in variance stratum r





where weight wi is the full sample base weight.



Furthermore, for r' = r + 31 (mod 62):





And for all other values r*, other than r and r´,wi(r*) = 1.


In the case of stratified random sampling, this formula reduces to replacing with for replicate r, where is the sample mean from a “2/3” sample of 2nr/3 units from the nr sample units

in the replicate stratum, and replacing with for replicate r', where is the sample mean from another overlapping “2/3” sample of 2nr/3 units from the nr sample units in the replicate stratum.



The r-th and r´-th replicates can be written as:




From these formulas, expressions for the r-th and r´-th components of the jackknife variance estimator are obtained (ignoring other sums of squares from other grouped components attached to those replicates):




These sums of squares have expectations as follows, using the general formula for sampling variances:



Thus,




as desired again.




http://nces.ed.gov/nationsreportcard/tdw/weighting/2013/replicate_variance_estimation_for_the_2013_assessment.aspx


NAEP Technical Documentation Website

NAEP Technical Documentation Quality Control on Weighting Procedures for the 2013 Assessment


Given the complexity of the weighting procedures utilized in NAEP, a range of quality control (QC) checks was conducted throughout the weighting process to identify potential problems with collected student-level demographic data or with specific weighting procedures. The QC processes included

Shape152 Shape153 Shape154 Shape155 checks performed within each step of the weighting process; checks performed across adjacent steps of the weighting process; review of participation, exclusion, and accommodation rates; checking demographic data of individual schools;

Shape156 Shape157 comparisons with 2011 demographic data; and nonresponse bias analyses.

Final Participation, Exclusion, and Accommodation Rates

Nonresponse Bias Analyses

To validate the weighting process, extensive tabulations of various school and student characteristics at different stages of the process were conducted. The school-level characteristics included in the tabulations were minority

enrollment, median income (based on the school ZIP code area), and urban-centric locale. At the student level, the tabulations included race/ethnicity, gender, relative age, students with disability (SD) status, English language learners (ELL) status, and participation status in National School Lunch Program (NSLP).




http://nces.ed.gov/nationsreportcard/tdw/weighting/2013/quality_control_on_weighting_procedures_for_the_2013_assessment.aspx


NAEP Technical Documentation Website

NAEP Technical Documentation Final Participation, Exclusion, and Accommodation Rates for the 2013 Assessment


Final participation, exclusion, and accommodation rates are presented in quality control tables for each grade and subject by geographic domain and school type. School-level

participation rates have been calculated according to National Center for Education Statistics (NCES) standards as they have been for previous assessments.

School-level participation rates were below 85 percent for private schools at all three grades (4, 8, and 12). Student-level participation rates were also below 85 percent for grade 12 public school student sample overall and in specific states: Connecticut, Florida, Illinois, Iowa, Massachusetts, New Hampshire, New Jersey, and West Virginia. As required by NCES standards, nonresponse bias analyses were conducted on each reporting group falling below the 85 percent participation threshold.

Grade 4 Mathematics

Grade 4 Reading

Grade 8 Mathematics

Grade 8 Reading


Grade 12 Mathematics

Grade 12 Reading

National all1

8,590

97.27

90.32

209,800

1.41

94.57

13.44


National public

8,060

99.69

99.54

202,700

1.52

94.49

14.22


NAEP Technical Documentation Website

NAEP Technical Documentation Participation, Exclusion, and Accommodation Rates for Grade 4 Mathematics for the 2013 Assessment

The following table displays the school- and student-level response, exclusion, and accommodation rates for the grade 4 mathematics assessment by school type and jurisdiction. Various weights were used in the calculation of the rates, as indicated in the column headings of the table.

The participation rates reflect the participation of the original sample schools only and do not reflect any effect of substitution. The rates weighted by the base weight and enrollment show the approximate proportion of the student population in the jurisdiction that is represented by the responding schools in the sample. The rates weighted by just the base weight show the proportion of the school population that is represented by the responding schools in the sample. These rates differ because schools differ in size.


Participation, exclusion, and accommodation rates, grade 4 mathematics assessment, by school type and jurisdiction: 2013




School

School






participation

participation





rates

rates




Number

(percent)

(percent)



Weighted

of

before

before



student

schools

substitution

substitution

Number

Weighted

participation

in

(weighted

(weighted

of

percent

rates

Weighted

School type

original

by base

by base

students

of

(percent)

percent of

and

sample,

weight and

weight

sampled,

students

after

students

jurisdiction

rounded

enrollment)

only)

rounded

excluded

makeups

accommodated

All

8,760

97.30

90.45

214,900

1.40

94.57

13.55



Northeast all



1,480



95.63



85.22



34,500



1.29



93.85



15.68

Midwest all

2,190

97.27

88.80

47,300

1.32

94.84

12.87

South all

2,740

98.20

93.44

73,600

1.37

94.71

14.38

West all

2,120

96.86

91.04

51,800

1.62

94.57

10.98



Alabama



120



100.00



100.00



3,200



1.10



94.82



5.15

Alaska

200

99.48

96.56

3,100

1.14

93.18

21.85

Arizona

120

100.00

100.00

3,400

1.20

95.07

12.97

Arkansas

120

100.00

100.00

3,400

1.24

94.66

15.16

California

300

99.17

98.75

9,000

1.93

94.79

8.78

Colorado

120

100.00

100.00

3,400

1.15

92.34

12.11

Connecticut

120

97.22

97.25

3,200

1.36

93.85

15.52

Delaware

100

100.00

100.00

3,400

2.10

94.36

13.58

District of Columbia

140

100.00

100.00

2,300

1.37

95.09

17.59

Florida

240

100.00

100.00

6,900

1.84

94.11

20.24

Georgia

170

100.00

100.00

5,300

1.43

94.18

11.22

Hawaii

120

100.00

100.00

3,500

1.25

94.70

10.64

Idaho

130

100.00

100.00

3,500

1.29

95.24

9.58

Illinois

200

97.98

98.40

5,100

1.00

94.40

15.44

Indiana

120

100.00

100.00

3,300

1.52

95.18

17.03

Iowa

140

100.00

100.00

3,100

0.70

95.16

14.50

Kansas

150

100.00

100.00

3,400

1.62

94.79

15.16

Kentucky

160

100.00

100.00

4,700

1.45

94.67

11.30

Louisiana

130

100.00

100.00

3,300

1.08

94.49

18.38

Maine

160

100.00

100.00

3,400

2.11

93.95

17.44

Maryland

170

100.00

100.00

4,700

0.99

94.22

17.30

Massachusetts

190

100.00

100.00

5,200

2.03

93.74

17.18

Michigan

190

100.00

100.00

4,600

1.96

94.14

11.02

Minnesota

130

100.00

100.00

3,500

1.37

94.85

10.62

Mississippi

120

100.00

100.00

3,300

0.76

95.44

6.73

Missouri

130

100.00

100.00

3,600

1.41

95.42

11.20

Montana

200

99.85

98.28

3,400

1.68

93.92

8.56

Nebraska

170

100.00

100.00

3,500

1.72

95.37

14.37

Nevada

120

100.00

100.00

3,500

1.41

95.75

22.90

New Hampshire

130

100.00

100.00

3,400

1.22

93.74

14.78

New Jersey

120

100.00

100.00

3,300

1.17

94.85

16.62

New Mexico

150

99.69

99.48

4,200

1.22

95.06

16.90

New York

160

98.84

96.79

4,500

1.23

92.27

20.02

North Carolina

160

100.00

100.00

4,800

1.24

94.19

14.17

North Dakota

270

99.86

99.19

3,700

2.56

95.57

9.78

Ohio

210

100.00

100.00

4,700

1.33

94.29

13.52

Oklahoma

140

100.00

100.00

3,600

1.85

94.35

13.95

Oregon

130

100.00

100.00

3,500

2.12

94.18

15.23

Pennsylvania

170

100.00

100.00

4,500

1.64

94.30

12.95

Rhode Island

120

100.00

100.00

3,400

1.12

94.98

15.17

South Carolina

120

100.00

100.00

3,200

1.08

96.08

11.87

South Dakota

190

100.00

100.00

3,400

1.42

95.36

10.56

Tennessee

120

100.00

100.00

3,400

1.34

94.21

13.54

Texas

310

100.00

100.00

9,200

1.65

95.36

17.92

Utah

120

99.08

99.32

3,600

1.25

94.79

12.66

Vermont

220

100.00

100.00

3,000

1.37

95.04

15.72

Virginia

110

100.00

100.00

3,300

1.51

94.35

13.07

Washington

120

99.09

99.35

3,600

2.17

93.50

14.12

West Virginia

150

100.00

100.00

3,200

1.71

94.77

10.03

Wisconsin

190

100.00

100.00

4,400

1.79

95.42

16.21

Wyoming

200

100.00

100.00

3,500

1.01

94.65

12.76

DoDEA2

120

99.23

98.08

3,700

1.66

95.05

12.20

Trial Urban (TUDA) Districts and Other Jurisdictions

Albuquerque

50

100.00

100.00

1,700

1.15

94.71

20.47

Atlanta

60

100.00

100.00

2,000

0.98

95.42

9.76

Austin

60

100.00

100.00

1,700

2.04

93.69

30.80

Baltimore City

70

100.00

100.00

1,600

1.59

94.32

19.27

Boston

80

100.00

100.00

2,000

3.69

93.72

19.59

Charlotte

50

100.00

100.00

1,700

1.19

94.18

12.81

Chicago

100

100.00

100.00

2,500

1.07

94.85

19.30

Cleveland

90

100.00

100.00

1,500

4.26

93.62

22.29

Dallas

50

100.00

100.00

1,700

2.33

95.79

35.42

Detroit

70

100.00

100.00

1,300

4.88

90.92

14.80

Fresno

50

100.00

100.00

1,800

0.90

93.58

7.51

Hillsborough

60

100.00

100.00

1,700

1.17

95.74

23.30

Houston

80

100.00

100.00

2,600

1.88

96.62

27.25


Jefferson County, KY

50 100.00 100.00 1,700 1.74 94.66 11.61

Los Angeles 80 100.00 100.00 2,500 1.96 95.80 9.83

Miami 90 100.00 100.00 2,300 2.35 95.07 28.05

Milwaukee 70 100.00 100.00 1,500 3.40 94.68 26.55

New York City

80 100.00 100.00 2,500 1.33 91.74 27.56

Philadelphia 60 100.00 100.00 1,600 3.45 94.71 15.82

San Diego 50 100.00 100.00 1,500 1.48 95.18 11.80

National private

410

71.19

64.52

3,300

0.08

95.61

4.38


District of Columbia (TUDA)

90 100.00 100.00 1,500 1.97 95.52 18.06

Catholic 130 88.65 89.70 1,700 0.06 95.60 4.95

Non-Catholic private

280 56.94 52.97 1,600 0.11 95.62 3.92


Puerto Rico

170

100.00

100.00

5,100

0.24

94.47

27.19

  1. Includes national public, national private, and Bureau of Indian Education schools located in the United States and all Department of Defense Education Activity schools, but not schools in Puerto Rico.

  2. Department of Defense Education Activity schools.

NOTE: Numbers of schools are rounded to nearest ten, and numbers of students are rounded to nearest hundred. Detail may not sum to totals because of rounding.

SOURCE: U.S. Department of Education, Institute of Education Sciences, National Center for Education Statistics, National Assessment of Educational Progress (NAEP), 2013 Mathematics Assessment.



http://nces.ed.gov/nationsreportcard/tdw/weighting/2013/participation_exclusion_and_accommodation_rates_for_grade_4_mathematics_for_the_2013_assessment.aspx








National all1

8,590

97.27

90.32

216,400

2.52

94.78

12.17


National public

8,060

99.69

99.54

209,100

2.69

94.70

12.87


NAEP Technical Documentation Website

NAEP Technical Documentation Participation, Exclusion, and Accommodation Rates for Grade 4 Reading for the 2013 Assessment

The following table displays the school- and student-level response, exclusion, and accommodation rates for the grade 4 reading assessment by school type and jurisdiction. Various weights were used in the calculation of the rates, as indicated in the column headings of the table.

The participation rates reflect the participation of the original sample schools only and do not reflect any effect of substitution. The rates weighted by the base weight and enrollment show the approximate proportion of the student population in the jurisdiction that is represented by the responding schools in the sample. The rates weighted by just the base weight show the proportion of the school population that is represented by the responding schools in the sample. These rates differ because schools differ in size.


Participation, exclusion, and accommodation rates, grade 4 r eading assessment, by school type and jurisdiction: 2013





School

School






participation

participation





rates

rates




Number

(percent)

(percent)



Weighted

of

before

before



student

schools

substitution

substitution

Number

Weighted

participation

in

(weighted

(weighted

of

percent

rates

Weighted

School type

original

by base

by base

students

of

(percent)

percent of

and

sample,

weight and

weight

sampled,

students

after

students

jurisdiction

rounded

enrollment)

only)

rounded

excluded

makeups

accommodated

All

8,590

97.27

90.32

216,400

2.52

94.78

12.17



Northeast all



1,480



95.63



85.22



35,600



1.72



93.97



15.30

Midwest all

2,190

97.27

88.80

48,700

2.01

95.04

12.22

South all

2,740

98.20

93.44

76,000

3.39

95.00

12.25

West all

2,120

96.86

91.04

53,500

2.13

94.71

9.92



Alabama



120



100.00



100.00



3,400



1.14



95.49



5.39

Alaska

200

99.48

96.56

3,300

1.45

93.65

20.65

Arizona

120

100.00

100.00

3,500

1.08

95.46

13.24

Arkansas

120

100.00

100.00

3,600

1.11

95.16

15.34

California

300

99.17

98.75

9,300

2.50

94.88

7.73

Colorado

120

100.00

100.00

3,500

1.52

93.66

12.61

Connecticut

120

97.22

97.25

3,400

1.58

94.29

15.33

Delaware

100

100.00

100.00

3,500

4.70

94.34

10.38

District of Columbia

140

100.00

100.00

2,400

1.65

94.46

17.41

Florida

240

100.00

100.00

7,100

2.96

93.98

19.02

Georgia

170

100.00

100.00

5,400

4.90

95.34

8.13

Hawaii

120

100.00

100.00

3,600

1.80

93.97

10.48

Idaho

130

100.00

100.00

3,600

1.49

94.99

9.32

Illinois

200

97.98

98.40

5,200

1.24

95.13

14.76

Indiana

120

100.00

100.00

3,500

2.43

94.40

16.31

Iowa

140

100.00

100.00

3,200

1.08

95.11

14.42

Kansas

150

100.00

100.00

3,500

1.82

95.07

13.41

Kentucky

160

100.00

100.00

4,800

2.99

94.97

9.74

Louisiana

130

100.00

100.00

3,400

1.16

94.73

18.61

Maine

160

100.00

100.00

3,500

1.69

93.65

17.87

Maryland

170

100.00

100.00

4,900

12.86

94.40

5.70

Massachusetts

190

100.00

100.00

5,300

2.66

93.77

15.53

Michigan

190

100.00

100.00

4,800

3.81

94.64

9.66

Minnesota

130

100.00

100.00

3,600

2.71

94.93

9.61

Mississippi

120

100.00

100.00

3,400

0.53

94.99

6.85

Missouri

130

100.00

100.00

3,700

1.23

95.26

11.16

Montana

200

99.85

98.28

3,500

2.86

94.40

7.33

Nebraska

170

100.00

100.00

3,600

3.57

95.83

14.26

Nevada

120

100.00

100.00

3,700

1.50

95.10

22.73

New Hampshire

130

100.00

100.00

3,500

2.56

93.45

13.48

New Jersey

120

100.00

100.00

3,400

1.72

94.87

15.27

New Mexico

150

99.69

99.48

4,300

1.02

94.55

15.04

New York

160

98.84

96.79

4,600

1.35

93.06

20.15

North Carolina

160

100.00

100.00

5,000

1.80

94.88

13.06

North Dakota

270

99.86

99.19

3,800

4.06

96.28

8.73

Ohio

210

100.00

100.00

4,800

2.61

94.58

12.80

Oklahoma

140

100.00

100.00

3,700

1.72

94.58

14.35

Oregon

130

100.00

100.00

3,700

2.49

93.98

12.20

Pennsylvania

170

100.00

100.00

4,600

2.29

94.42

12.53

Rhode Island

120

100.00

100.00

3,500

1.34

94.78

14.43

South Carolina

120

100.00

100.00

3,300

1.73

94.64

9.74

South Dakota

190

100.00

100.00

3,500

2.22

95.69

9.26

Tennessee

120

100.00

100.00

3,500

3.10

95.34

12.29

Texas

310

100.00

100.00

9,500

4.90

95.50

14.40

Utah

120

99.08

99.32

3,700

3.05

93.71

10.29

Vermont

220

100.00

100.00

3,100

1.17

95.05

15.65

Virginia

110

100.00

100.00

3,400

1.54

94.93

12.21

Washington

120

99.09

99.35

3,700

2.81

93.71

12.45

West Virginia

150

100.00

100.00

3,300

1.78

93.62

8.89

Wisconsin

190

100.00

100.00

4,500

1.61

94.97

16.63

Wyoming

200

100.00

100.00

3,600

1.25

94.38

13.00

DoDEA2

120

99.23

98.08

3,800

5.95

95.48

7.39

Trial Urban (TUDA) Districts and Other Jurisdictions

Albuquerque

50

100.00

100.00

1,800

0.74

93.43

17.51

Atlanta

60

100.00

100.00

2,000

1.12

95.96

9.39

Austin

60

100.00

100.00

1,700

3.90

94.12

27.06

Baltimore City

70

100.00

100.00

1,700

15.85

93.62

4.33

Boston

80

100.00

100.00

2,000

4.33

94.03

17.64

Charlotte

50

100.00

100.00

1,700

0.90

94.49

11.72

Chicago

100

100.00

100.00

2,600

1.45

94.58

18.56

Cleveland

90

100.00

100.00

1,500

4.70

94.08

22.22

Dallas

50

100.00

100.00

1,700

17.11

96.08

24.30

Detroit

70

100.00

100.00

1,300

5.51

92.09

13.44

Fresno

50

100.00

100.00

1,800

2.36

94.94

6.04

Hillsborough

60

100.00

100.00

1,800

1.07

94.92

23.00

Houston

80

100.00

100.00

2,700

6.41

96.63

23.90

Jefferson County, KY

50

100.00

100.00

1,800

5.28

95.03

7.56

Los Angeles

80

100.00

100.00

2,500

2.10

94.63

10.75

Miami

90

100.00

100.00

2,400

4.51

95.37

26.36

Milwaukee

70

100.00

100.00

1,500

4.08

93.65

25.71

New York City

80

100.00

100.00

2,500

1.62

92.44

27.13


Philadelphia

60

100.00

100.00

1,600

3.83

94.61

15.31

San Diego

50

100.00

100.00

1,600

2.32

94.74

10.45

District of Columbia (TUDA)

90

100.00

100.00

1,600

2.26

94.50

17.21



Catholic



130



88.65



89.70



1,700



0.23



95.75



3.84

Non-Catholic private

280

56.94

52.97

1,600

0.79

95.96

4.22

  1. Includes national public, national private, and Bureau of Indian Education schools located in the United States and all Department of Defense Education Activity schools, but not schools in Puerto Rico.

  2. Department of Defense Education Activity schools.

NOTE: Numbers of schools are rounded to nearest ten, and numbers of students are rounded to nearest hundred. Detail may not sum to totals because of rounding.

SOURCE: U.S. Department of Education, Institute of Education Sciences, National Center for Education Statistics, National Assessment of Educational Progress (NAEP), 2013 Reading Assessment.

National private

410

71.19

64.52

3,400

0.53

95.85

4.05




http://nces.ed.gov/nationsreportcard/tdw/weighting/2013/participation_exclusion_and_accommodation_rates_for_grade_4_reading_for_the_2013_assessment.aspx





















National all1

7,240

96.94

84.59

195,600

1.48

93.15

11.79


National public

6,760

99.48

99.61

189,400

1.59

93.02

12.25


NAEP Technical Documentation Website

NAEP Technical Documentation Participation, Exclusion, and Accommodation Rates for Grade 8 Mathematics for the 2013 Assessment

The following table displays the school- and student-level response, exclusion, and accommodation rates for the grade 8 mathematics assessment by school type and jurisdiction. Various weights were used in the calculation of the rates, as indicated in the column headings of the table.

The participation rates reflect the participation of the original sample schools only and do not reflect any effect of substitution. The rates weighted by the base weight and enrollment show the approximate proportion of the student population in the jurisdiction that is represented by the responding schools in the sample. The rates weighted by just the base weight show the proportion of the school population that is represented by the responding schools in the sample. These rates differ because schools differ in size.


Participation, exclusion, and accommodation rates, grade 8 mathematics assessment, by school type and jurisdiction: 2013




School

School






participation

participation





rates

rates




Number

(percent)

(percent)



Weighted

of

before

before



student

schools

substitution

substitution

Number

Weighted

participation

in

(weighted

(weighted

of

percent

rates

Weighted

School type

original

by base

by base

students

of

(percent)

percent of

and

sample,

weight and

weight

sampled,

students

after

students

jurisdiction

rounded

enrollment)

only)

rounded

excluded

makeups

accommodated

All

7,370

96.97

84.74

201,500

1.47

93.14

11.88



Northeast all



1,160



93.53



75.06



32,700



1.60



92.00



15.85

Midwest all

1,920

97.62

85.21

44,100

1.42

93.69

11.78

South all

2,380

97.75

86.70

68,800

1.51

93.24

11.59

West all

1,720

97.42

89.08

48,000

1.41

93.28

9.25



Alabama



110



100.00



100.00



3,000



1.04



94.23



5.14

Alaska

150

99.91

98.79

3,000

1.08

91.72

18.75

Arizona

120

99.03

99.16

3,200

1.30

93.42

10.71

Arkansas

110

100.00

100.00

3,200

1.93

95.00

13.92

California

260

100.00

100.00

8,400

1.49

93.59

7.91

Colorado

120

100.00

100.00

3,100

1.12

93.47

11.50

Connecticut

110

98.00

97.87

3,100

2.05

92.44

13.92

Delaware

70

100.00

100.00

3,200

1.31

90.65

14.90

District of Columbia

90

100.00

100.00

2,100

0.96

91.26

20.71

Florida

230

100.00

100.00

6,400

1.70

91.06

15.32

Georgia

130

100.00

100.00

4,800

1.55

93.38

9.82

Hawaii

60

100.00

100.00

3,200

1.67

90.26

12.28

Idaho

100

100.00

100.00

3,100

1.06

94.15

8.42

Illinois

190

100.00

100.00

4,800

1.01

94.48

13.83

Indiana

110

97.06

96.65

3,000

1.64

92.49

13.95

Iowa

120

100.00

100.00

3,100

0.77

93.74

13.28

Kansas

130

100.00

100.00

3,300

1.67

93.94

11.23

Kentucky

140

99.04

99.21

4,300

2.08

94.54

10.09

Louisiana

150

100.00

100.00

3,200

1.06

94.14

14.26

Maine

120

100.00

100.00

2,900

1.33

92.79

15.99

Maryland

160

100.00

100.00

4,400

1.74

92.08

13.33

Massachusetts

140

100.00

100.00

4,800

2.01

91.98

16.11

Michigan

170

100.00

100.00

4,200

2.46

92.93

10.55

Minnesota

130

98.99

99.67

2,900

1.70

91.58

9.16

Mississippi

110

100.00

100.00

3,200

0.80

93.80

6.51

Missouri

130

100.00

100.00

3,100

1.28

94.25

10.57

Montana

150

99.80

98.82

3,200

1.44

92.28

9.20

Nebraska

130

100.00

100.00

3,100

1.85

93.41

12.02

Nevada

90

100.00

100.00

3,300

1.04

92.80

11.91

New Hampshire

90

100.00

100.00

3,200

1.06

91.60

15.99

New Jersey

110

100.00

100.00

3,100

1.64

92.26

16.38

New Mexico

120

99.68

99.02

4,000

1.57

93.07

12.00

New York

160

93.08

95.81

4,300

1.90

91.15

19.38

North Carolina

140

100.00

100.00

4,500

1.29

92.95

13.74

North Dakota

190

99.92

99.44

3,700

2.93

94.98

11.44

Ohio

200

100.00

100.00

4,500

1.51

93.07

13.54

Oklahoma

130

100.00

100.00

3,100

1.63

92.97

14.09

Oregon

130

100.00

100.00

3,100

1.47

92.91

10.88

Pennsylvania

160

100.00

100.00

4,300

1.70

92.17

14.66

Rhode Island

60

100.00

100.00

3,200

1.11

93.93

15.92

South Carolina

110

100.00

100.00

3,200

1.33

94.19

9.86

South Dakota

150

100.00

100.00

3,200

1.30

94.44

8.66

Tennessee

110

100.00

100.00

3,200

1.77

92.81

9.81

Texas

230

100.00

100.00

8,800

1.92

93.82

12.13

Utah

120

100.00

100.00

3,300

1.53

92.07

10.15

Vermont

120

100.00

100.00

3,000

0.83

93.91

15.36

Virginia

110

100.00

100.00

3,200

1.05

93.39

12.18

Washington

120

100.00

100.00

3,100

2.03

90.87

11.47

West Virginia

110

100.00

100.00

3,200

1.69

92.62

9.02

Wisconsin

170

100.00

100.00

4,300

1.51

94.25

14.73

Wyoming

100

100.00

100.00

3,300

1.50

93.66

12.51

DoDEA2

70

99.40

96.83

2,600

1.15

94.47

9.23

Trial Urban (TUDA) Districts and Other Jurisdictions

Albuquerque

30

100.00

100.00

1,400

1.53

90.76

14.44

Atlanta

30

100.00

100.00

1,600

0.72

91.57

11.10

Austin

30

100.00

100.00

1,600

1.88

90.97

20.60

Baltimore City

60

100.00

100.00

1,300

1.70

89.54

19.73

Boston

40

100.00

100.00

1,800

2.55

91.61

20.88

Charlotte

40

100.00

100.00

1,500

1.29

90.94

10.11

Chicago

100

100.00

100.00

2,300

1.28

94.80

17.19

Cleveland

90

100.00

100.00

1,500

2.62

91.57

28.48

Dallas

40

100.00

100.00

1,600

2.44

93.81

18.35

Detroit

50

100.00

100.00

1,100

4.29

91.58

15.07

Fresno

20

100.00

100.00

1,400

1.74

92.52

7.06

Hillsborough

50

100.00

100.00

1,600

1.35

93.78

20.46

Houston

50

100.00

100.00

2,400

2.21

92.37

14.67

Jefferson County, KY

40

100.00

100.00

1,600

1.65

93.37

12.72

Los Angeles

70

100.00

100.00

2,200

1.54

94.39

10.83

Miami

80

100.00

100.00

2,300

2.25

92.63

18.78

Milwaukee

60

100.00

100.00

1,500

4.10

91.60

25.55


New York City

90 99.00 97.58 2,400 1.72 91.78 26.10

Philadelphia 50 100.00 100.00 1,400 3.74 92.67 20.69

San Diego 30 100.00 100.00 1,300 2.32 92.60 11.81

National private

400

69.63

60.45

3,400

0.26

94.74

6.54


District of Columbia (TUDA)

40 100.00 100.00 1,100 1.69 90.15 22.20

Catholic 130 87.18 84.76 1,800 0.26 95.73 5.50

Non-Catholic private

270 53.51 48.11 1,600 0.26 93.50 7.51


Puerto Rico

130

100.00

100.00

5,900

0.03

92.75

23.05

  1. Includes national public, national private, and Bureau of Indian Education schools located in the United States and all Department of Defense Education Activity schools, but not schools in Puerto Rico.

  2. Department of Defense Education Activity schools.

NOTE: Numbers of schools are rounded to nearest ten, and numbers of students are rounded to nearest hundred. Detail may not sum to totals because of rounding.

SOURCE: U.S. Department of Education, Institute of Education Sciences, National Center for Education Statistics, National Assessment of Educational Progress (NAEP), 2013 Mathematics Assessment.



http://nces.ed.gov/nationsreportcard/tdw/weighting/2013/participation_exclusion_and_accommodation_rates_for_grade_8_mathematics_for_the_2013_assessment.aspx





















National all1

7,240

96.94

84.59

199,100

2.15

93.11

10.76


National public

6,760

99.48

99.61

192,900

2.32

92.93

11.16


NAEP Technical Documentation Website

NAEP Technical Documentation Participation, Exclusion, and Accommodation Rates for Grade 8 Reading for the 2013 Assessment

The following table displays the school- and student-level response, exclusion, and accommodation rates for the grade 8 reading assessment by school type and jurisdiction. Various weights were used in the calculation of the rates, as indicated in the column headings of the table.

The participation rates reflect the participation of the original sample schools only and do not reflect any effect of substitution. The rates weighted by the base weight and enrollment show the approximate proportion of the student population in the jurisdiction that is represented by the responding schools in the sample. The rates weighted by just the base weight show the proportion of the school population that is represented by the responding schools in the sample. These rates differ because schools differ in size.


Participation, exclusion, and accommodation rates, grade 8 r eading assessment, by school type and jurisdiction: 2013





School

School






participation

participation





rates

rates




Number

(percent)

(percent)



Weighted

of

before

before



student

schools

substitution

substitution

Number

Weighted

participation

in

(weighted

(weighted

of

percent

rates

Weighted

School type

original

by base

by base

students

of

(percent)

percent of

and

sample,

weight and

weight

sampled,

students

after

students

jurisdiction

rounded

enrollment)

only)

rounded

excluded

makeups

accommodated

All

7,240

96.94

84.59

199,100

2.15

93.11

10.76



Northeast all



1,160



93.53



75.06



33,300



1.55



91.80



15.53

Midwest all

1,920

97.62

85.21

45,100

1.93

93.48

11.08

South all

2,380

97.75

86.70

69,900

2.60

93.39

9.99

West all

1,720

97.42

89.08

48,900

2.08

93.21

8.32



Alabama



110



100.00



100.00



3,100



1.14



94.26



4.83

Alaska

150

99.91

98.79

3,100

1.40

91.91

18.39

Arizona

120

99.03

99.16

3,300

1.47

93.67

9.67

Arkansas

110

100.00

100.00

3,200

1.96

93.21

13.36

California

260

100.00

100.00

8,500

2.52

93.42

6.74

Colorado

120

100.00

100.00

3,200

1.15

93.46

10.89

Connecticut

110

98.00

97.87

3,100

2.13

91.38

13.88

Delaware

70

100.00

100.00

3,200

3.49

91.59

12.23

District of Columbia

90

100.00

100.00

2,100

1.82

91.33

19.57

Florida

230

100.00

100.00

6,500

1.86

91.72

15.15

Georgia

130

100.00

100.00

4,900

3.80

93.67

8.18

Hawaii

60

100.00

100.00

3,300

1.93

90.58

12.33

Idaho

100

100.00

100.00

3,200

1.61

93.64

7.76

Illinois

190

100.00

100.00

4,900

1.44

93.76

12.94

Indiana

110

97.06

96.65

3,100

1.90

93.12

13.75

Iowa

120

100.00

100.00

3,100

1.27

93.44

12.16

Kansas

130

100.00

100.00

3,300

1.72

93.42

11.72

Kentucky

140

99.04

99.21

4,300

3.28

93.93

8.47

Louisiana

150

100.00

100.00

3,300

1.24

93.78

14.15

Maine

120

100.00

100.00

3,000

1.55

92.34

15.16

Maryland

160

100.00

100.00

4,400

9.41

93.77

5.45

Massachusetts

140

100.00

100.00

4,900

2.15

91.82

15.04

Michigan

170

100.00

100.00

4,300

3.53

93.66

9.68

Minnesota

130

98.99

99.67

3,000

2.33

91.30

8.43

Mississippi

110

100.00

100.00

3,200

0.70

93.72

6.55

Missouri

130

100.00

100.00

3,100

1.02

92.55

10.62

Montana

150

99.80

98.82

3,200

2.29

91.61

7.51

Nebraska

130

100.00

100.00

3,200

2.99

92.32

10.14

Nevada

90

100.00

100.00

3,400

1.00

92.19

10.91

New Hampshire

90

100.00

100.00

3,200

2.93

91.46

14.28

New Jersey

110

100.00

100.00

3,200

2.64

92.01

14.78

New Mexico

120

99.68

99.02

4,000

1.70

93.39

10.00

New York

160

93.08

95.81

4,400

0.96

90.46

20.03

North Carolina

140

100.00

100.00

4,600

1.72

92.51

12.29

North Dakota

190

99.92

99.44

3,800

4.30

94.07

9.52

Ohio

200

100.00

100.00

4,600

2.22

93.08

13.08

Oklahoma

130

100.00

100.00

3,200

1.39

93.43

12.42

Oregon

130

100.00

100.00

3,200

1.45

92.62

11.30

Pennsylvania

160

100.00

100.00

4,300

1.78

91.94

14.51

Rhode Island

60

100.00

100.00

3,300

1.37

92.96

15.18

South Carolina

110

100.00

100.00

3,200

1.88

94.03

7.48

South Dakota

150

100.00

100.00

3,300

2.95

95.01

6.02

Tennessee

110

100.00

100.00

3,200

3.13

93.54

7.75

Texas

230

100.00

100.00

8,900

3.51

93.78

10.05

Utah

120

100.00

100.00

3,400

3.05

93.00

8.36

Vermont

120

100.00

100.00

3,100

0.92

92.93

15.08

Virginia

110

100.00

100.00

3,300

1.40

92.97

10.56

Washington

120

100.00

100.00

3,200

2.46

91.22

9.78

West Virginia

110

100.00

100.00

3,200

1.82

93.10

7.60

Wisconsin

170

100.00

100.00

4,400

1.61

94.11

14.45

Wyoming

100

100.00

100.00

3,400

1.14

93.15

12.27

DoDEA2

70

99.40

96.83

2,600

3.84

94.13

7.11

Trial Urban (TUDA) Districts and Other Jurisdictions

Albuquerque

30

100.00

100.00

1,400

2.04

93.46

11.79

Atlanta

30

100.00

100.00

1,700

1.02

92.20

10.98

Austin

30

100.00

100.00

1,600

3.35

88.54

18.36

Baltimore City

60

100.00

100.00

1,300

16.39

89.73

5.14

Boston

40

100.00

100.00

1,800

3.41

93.05

18.94

Charlotte

40

100.00

100.00

1,500

1.68

92.20

9.90

Chicago

100

100.00

100.00

2,300

1.60

94.72

16.76

Cleveland

90

100.00

100.00

1,500

3.52

91.90

27.75

Dallas

40

100.00

100.00

1,600

3.51

93.98

15.20

Detroit

50

100.00

100.00

1,100

5.74

91.37

12.53

Fresno

20

100.00

100.00

1,500

3.10

93.27

5.86

Hillsborough

50

100.00

100.00

1,600

1.94

91.85

19.74

Houston

50

100.00

100.00

2,400

3.80

93.58

12.29

Jefferson County, KY

40

100.00

100.00

1,600

4.30

94.71

9.49

Los Angeles

70

100.00

100.00

2,300

2.70

94.30

9.97

Miami

80

100.00

100.00

2,400

2.88

94.21

18.45

Milwaukee

60

100.00

100.00

1,500

4.06

93.15

25.08

New York City

90

99.00

97.58

2,400

1.46

91.17

26.00


Philadelphia

50

100.00

100.00

1,400

3.79

91.35

20.91

San Diego

30

100.00

100.00

1,300

2.58

93.78

10.58

District of Columbia (TUDA)

40

100.00

100.00

1,100

2.53

90.18

22.13



Catholic



130



87.18



84.76



1,900



0.21



96.07



4.96

Non-Catholic private

270

53.51

48.11

1,600

0.39

94.67

7.56

  1. Includes national public, national private, and Bureau of Indian Education schools located in the United States and all Department of Defense Education Activity schools, but not schools in Puerto Rico.

  2. Department of Defense Education Activity schools.

NOTE: Numbers of schools are rounded to nearest ten, and numbers of students are rounded to nearest hundred. Detail may not sum to totals because of rounding.

SOURCE: U.S. Department of Education, Institute of Education Sciences, National Center for Education Statistics, National Assessment of Educational Progress (NAEP), 2013 Reading Assessment.

National private

400

69.63

60.45

3,500

0.30

95.45

6.32




http://nces.ed.gov/nationsreportcard/tdw/weighting/2013/participation_exclusion_and_accommodation_rates_for_grade_8_reading_for_the_2013_assessment.aspx



NAEP Technical Documentation Website

NAEP Technical Documentation Participation, Exclusion, and Accommodation Rates for Grade 12 Mathematics for the 2013 Assessment

The following table displays the school- and student-level response, exclusion, and accommodation rates for the grade 12 mathematics assessment. Various weights were used in the calculation of the rates, as indicated in the column headings of the table.

The participation rates reflect the participation of the original sample schools only and do not reflect any effect of substitution. The rates weighted by the base weight and enrollment show the approximate proportion of the student population in the jurisdiction that is represented by the responding schools in the sample. The rates weighted by just the base weight show the proportion of the school population that is represented by the responding schools in the sample. These rates differ because schools differ in size.


National all1

2,200

89.51

82.66

62,200

2.16

84.33

8.65


National public

2,030

92.95

93.31

60,400

2.31

84.17

8.77


Participation, exclusion, and accommodation rates, grade 12 mathematics assessment, by school type and geographic r egion: 2013





School






School

participation





participation

rates



Weighted

Number

rates (percent)

(percent)



student

of

before

before



participation

schools

substitution

substitution

Number

Weighted

rates

Weighted

in

(weighted by

(weighted by

of

percentage

(percent)

percentage of

School type and geographic

original

base weight

base weight

students

of students

after

students

region

sample

and enrollment)

only)

sampled

excluded

makeups

accommodated

All

2,200

89.51

82.66

62,200

2.16

84.33

8.65


Northeast all


510


89.05


81.63


16,200


2.29


81.79


11.95

Midwest all

650

87.14

83.20

16,600

1.65

83.87

8.61

South all

710

89.42

85.99

20,300

2.31

86.52

7.98

West all

330

92.21

77.24

9,100

2.32

83.37

7.15


Arkansas


100


100.00


100.00


2,900


2.78


92.09


8.61

Connecticut

110

98.93

99.45

3,200

1.76

81.22

8.71

Florida

120

99.05

99.30

3,300

3.21

77.25

12.67

Idaho

100

100.00

100.00

3,000

1.65

89.17

6.72

Illinois

130

90.38

93.98

3,300

1.85

85.16

9.79

Iowa

120

100.00

100.00

3,300

1.13

83.05

10.78

Massachusetts

110

99.04

99.45

3,200

2.21

81.71

11.13

Michigan

140

100.00

100.00

4,000

1.90

86.94

8.78

New Hampshire

80

100.00

100.00

4,100

1.61

76.64

11.22

New Jersey

110

98.14

98.57

3,300

1.89

84.10

14.28

South Dakota

140

99.74

99.07

3,100

1.51

87.48

5.78

Tennessee

130

100.00

100.00

4,100

2.51

88.15

7.84

West Virginia

90

100.00

100.00

3,300

2.00

83.68

7.01

Remaining jurisdictions2

570

91.16

90.91

16,200

2.26

84.41

10.55


Catholic


40


68.06


79.95


1,000


0.83


85.53


5.46

Non-Catholic private

120

38.52

50.25

800

0.42

87.96

9.28

  1. Includes national public, national private, Bureau of Indian Education, and Department of Defense Education Activity schools located in the United States.

  2. Includes national public schools not part of the state assessment.

NOTE: Numbers of schools are rounded to nearest ten, and numbers of students are rounded to nearest hundred. Detail may not sum to totals because of rounding.

SOURCE: U.S. Department of Education, Institute of Education Sciences, National Center for Education Statistics, National Assessment of Educational Progress (NAEP), 2013 Mathematics Assessment.



National private

160

53.34

55.43

1,800

0.63

86.51

7.32


http://nces.ed.gov/nationsreportcard/tdw/weighting/2013/participation_exclusion_and_accommodation_rates_for_grade_12_mathematics_for_the_2013_assessment.aspx


NAEP Technical Documentation Website

NAEP Technical Documentation Participation, Exclusion, and Accommodation Rates for Grade 12 Reading for the 2013 Assessment

The following table displays the school- and student-level response, exclusion, and accommodation rates for the grade 12 reading assessment. Various weights were used in the calculation of the rates, as indicated in the column headings of the table.

The participation rates reflect the participation of the original sample schools only and do not reflect any effect of substitution. The rates weighted by the base weight and enrollment show the approximate proportion of the student population in the jurisdiction that is represented by the responding schools in the sample. The rates weighted by just the base weight show the proportion of the school population that is represented by the responding schools in the sample. These rates differ because schools differ in size.


National public

2,030

92.95

93.31

60,400

2.56

83.77

8.73


Participation, exclusion, and accommodation rates, grade 12 r eading assessment, by school type and geographic r egion: 2013




School




Weighted


Number

participation rates

School



student

of

(percent) before

participation rates



participation

schools

substitution

(percent) before

Number

Weighted

rates

Weighted

in

(weighted by base

substitution

of

percentage

(percent)

percentage of

School type and

original

weight and

(weighted by

students

of students

after

students

geographic region

sample

enrollment)

base weight only)

sampled

excluded

makeups

accommodated

All

2,200

89.51

82.66

62,300

2.41

83.89

8.55

National all1

2,200

89.51

82.66

62,300

2.41

83.89

8.55

Northeast all

510

89.05

81.63

16,500

2.16

80.91

12.89

Midwest all

650

87.14

83.20

16,700

2.05

84.05

8.75

South all

710

89.42

85.99

20,000

2.87

85.51

7.18

West all

330

92.21

77.24

9,000

2.24

83.58

7.14


Arkansas


100


100.00


100.00


3,000


2.56


90.21


8.24

Connecticut

110

98.93

99.45

3,400

2.34

79.77

8.70

Florida

120

99.05

99.30

3,300

3.55

77.34

12.14

Idaho

100

100.00

100.00

3,200

1.66

88.68

6.42

Illinois

130

90.38

93.98

3,400

2.29

83.72

9.92

Iowa

120

100.00

100.00

3,500

1.51

84.26

10.62

Massachusetts

110

99.04

99.45

3,200

1.87

79.84

11.31

Michigan

140

100.00

100.00

3,900

4.01

87.21

6.17

New Hampshire

80

100.00

100.00

4,300

2.55

76.91

10.25

New Jersey

110

98.14

98.57

3,300

1.80

84.67

14.78

South Dakota

140

99.74

99.07

3,300

1.60

86.17

5.16

Tennessee

130

100.00

100.00

3,900

2.88

88.82

7.13

West Virginia

90

100.00

100.00

3,400

2.37

84.28

6.89

Remaining jurisdictions2

570

91.16

90.91

15,200

2.77

83.98

10.05


Catholic


40


68.06


79.95


1,100


0.92


84.67


4.01

Non-Catholic

120

38.52

50.25

800

0.75

86.75

9.41

  1. Includes national public, national private, Bureau of Indian Education, and Department of Defense Education Activity schools located in the United States.

  2. Includes national public schools not part of the state assessment.

NOTE: Numbers of schools are rounded to nearest ten, and numbers of students are rounded to nearest hundred. Detail may not sum to totals because of rounding.

SOURCE: U.S. Department of Education, Institute of Education Sciences, National Center for Education Statistics, National Assessment of Educational Progress (NAEP), 2013 Reading Assessment.



National private

160

53.34

55.43

1,900

0.84

85.52

6.67


http://nces.ed.gov/nationsreportcard/tdw/weighting/2013/participation_exclusion_and_accommodation_rates_for_grade_12_reading_for_the_2013_assessment.aspx


NAEP Technical Documentation Website

NAEP Technical Documentation Nonresponse Bias Analyses for the 2013 Assessment

NCES statistical standards call for a nonresponse bias analysis to be conducted for a sample with a response rate below 85 percent at any stage of sampling. Weighted school response rates for the 2013 assessment indicated a need for school nonresponse bias analyses for private school samples in grades 4, 8, and 12 (operational subjects). Student nonresponse bias analyses were necessary for the grade 12 public school student sample overall and in specific states, for both reading and mathematics: Connecticut, Florida, Iowa, Massachusetts, New Hampshire, and West Virginia. Additionally, a student nonresponse bias analysis was required for the grade 12 public school student sample in Illinois based on the weighted response rate for reading, while such an analysis was required for grade 12 public school student sample in New Jersey based on the weighted response rate for mathematics. Thus, three separate school-level analyses and nine separate student-level analyses were conducted.

The procedures and results from these analyses are summarized briefly below. The analyses conducted consider only certain characteristics of schools and students. They do not directly consider the effects of the nonresponse on student achievement, the primary focus of NAEP. Thus, these analyses cannot be conclusive of either the existence or absence of nonresponse bias for student achievement. For more details, please see the NAEP 2013 NRBA report (657.56 KB).

Each school-level analysis was conducted in three parts. The first part of the analysis looked

for potential nonresponse bias that was introduced through school nonresponse. The second part of the analysis examined the remaining potential for nonresponse bias after accounting for the mitigating effects of substitution. The third part of the analysis examined the remaining potential for nonresponse bias after accounting for the mitigating effects of both school substitution and school-level nonresponse weight adjustments. The characteristics examined were Census region, reporting subgroup (private school type), urban-centric locale, size of school (categorical), and race/ethnicity percentages (mean).

Based on the school characteristics available, for the private school samples at grade 4, there does not appear to be evidence of substantial potential bias resulting from school substitution or school nonresponse. However, the analyses suggest that a potential for nonresponse bias remains for the grade 8 and 12 private school samples. For grade 8, this result is evidently related to the fact that, among non- Catholic schools, larger schools were less likely to respond. Thus, when making adjustments to address the underrepresentation of non-Catholic schools among the respondents, the result is to over

represent smaller schools at the expense of larger ones. The limited school sample sizes involved means that it is not possible to make adjustments that account fully for all school characteristics. For grade 12, the analyses suggested potential bias for percentage Asian and percentage Two or more races. Please see the full report for more details.

Each student-level analysis was conducted in two parts. The first part of the analysis examined the potential for nonresponse bias that was introduced through student nonresponse. The second part of the analysis examined the potential for bias after accounting for the effects of nonresponse weight adjustments. The characteristics examined were gender, race/ethnicity, relative age, National School Lunch Program eligibility, student disability (SD) status, and English language learner (ELL) status.

Based on the student characteristics available, there does not appear to be evidence of substantial potential bias resulting from student nonresponse. Please see the full report for more details.




http://nces.ed.gov/nationsreportcard/tdw/weighting/2013/nonresponse_bias_analyses_for_the_2013_assessment.aspx



NATIONAL CENTER FOR EDUCATION STATISTICS NATIONAL ASSESSMENT OF EDUCATIONAL PROGRESS



National Assessment of Educational Progress (NAEP)

2021





Appendix C

2021 Sampling Memo






OMB# 1850-0928 v.20











March 2020





Date:

February 21, 2020

Memo: 2021-1.1A/1.1B/1.1D/1.1E

To:


William Ward, NCES Ed Kulick, ETS David Freund, ETS Amy Dresher, ETS Cathy White, Pearson Lauren Byrne

Lisa Rodriguez Rick Rogers Rob Dymowski William Wall


Chris Averett Kavemuii Murangi Dwight Brock Yiting Long

Jing Kang Sabrina Zhang Leslie Wallace Natalia Weil Greg Binzer

From:


Amy Lin, John Burke, and Lloyd Hicks

Reviewer:

Keith Rust, Jill DeMatteis


Subject:


Sample Design for 2021 NAEP







  1. Introduction


For 2021, the NAEP assessment involves the following components:


    1. National assessments in reading and mathematics at grades 4 and 8;


    1. State-by-state and Trial Urban District Assessment (TUDA) assessments in reading and mathematics for public schools at grades 4 and 8;


    1. An assessment of mathematics in Puerto Rico for public schools at grades 4 and 8;


    1. National assessments in US history and civics at grade 8.


\\westat.com\dfs\NAEPLIB\2021\Memos\School Sampling\Alpha - Public, Grades 4 & 8\2021-m01v01a.docx



Below is a summary list of the features of the 2021 sample design.


  1. The alpha samples for grades 4 and 8 public, and the delta samples for private schools at grades 4 and 8, will be used for the operational assessments in reading and mathematics.


  1. The beta public school sample and the epsilon private school sample at grade 8 will be used for the national US history and civics assessments.


  1. As in recent NAEP studies, each Trial Urban District Assessment (TUDA) sample will form part of the corresponding state sample, and each state sample will form part of the national sample. There are twenty-seven Trial Urban District Assessment (TUDA) participants. These are the same districts that participated in 2019.


  1. All schools (i.e., schools in the alpha, delta, beta, and epsilon samples) will be assessed using DBA with tablets.


  1. The school and student sample sizes for the alpha samples in each state will be considerably smaller than in 2019 and past assessments involving state-level reporting. This can be seen by comparing the figures in Tables 1, 3, and 4, with comparable tables from previous assessments. This also means that there will be fewer schools with multiple assessment sessions assigned. In the alpha sample at grade 4, we anticipate approximately 32 schools with a double-size student sample, and 1 school with a sample more than double the usual student sample size. This compares with comparable counts of 234 and 38 schools in 2019. At grade 8, we anticipate approximately 300 schools with a double-size student sample, and 126 schools with a sample more than double the usual student sample size. This compares with comparable counts of 588 and 336 schools in 2019.


  1. Three-quarters of the sampled schools in the alpha and delta samples, excluding Puerto Rico, (consisting of approximately 78% of sampled students) will receive the 2-block single-subject assessment; the remaining schools (consisting of approximately 22% of sampled students) will receive the 3-block assessment with a mixture of single- or double-subject.


  1. There will be no samples in U.S. territories other than for Puerto Rico at grades 4 and 8.


  1. As in 2019, the Department of Defense Schools are expected to be reported as a single jurisdiction (DoDEA).


  1. There is no National Indian Education Study. This means that less extensive sampling of BIE schools is required than in 2019 and other years when NIES has been conducted. To ensure sound results for AIAN students in reading and mathematics at the national level, at grades 4 and 8 BIE students will be sampled at the same rate as students in Oklahoma, the state with the highest proportion AIAN population.


  1. The sampling rates of private schools at grades 4 and 8 will be similar to those of 2019. Response rates permitting, this will allow separate reporting for reading and


mathematics for Catholic and non-Catholic schools at grades 4 and 8, but no further breakdowns by private school type.


  1. The sample sizes of assessed students for these various components are shown in Table 1 (which also shows the approximate numbers of participating schools).


  1. In the beta samples, there will be moderate oversampling of schools with moderate to high proportions of Black, Hispanic, and American Indian and Alaska Native students.

Table 1. Target sample sizes of assessed students, and expected number of participating schools, for 2021 NAEP



Spiral

Jurisdictions

Students




Total


Spiral Indic.

States

(incl. DC, DoDEA)


Urban districts

Public

school students

Private

school students

Grade 4







Nat’l/state reading (2 block)

DS

52

27

85,750

1,750

87,500

Nat’l/state math (2 block)

DS

52

27

85,750

1,750

87,500

Nat'l/state reading & math (3 block)

DT

52

27

48,500

1,000

49,500

Puerto Rico

DP

1


3,000


3,000

Total - alpha




223,000


223,000

Total- delta





4,500

4,500

Typical max. no. students/school




50

50


Average assessed students/school




40

22


Total schools - alpha, delta




5,600

205

5,805








Total number of students grade 4




223,000

4,500

227,500

Total number of schools grade 4




5,600

205

6,144


Table 1. Target sample sizes of assessed students, and expected number of participating schools, for 2021 NAEP (Continued)



Spiral

Jurisdictions

Students




Total


Spiral Indic.

States (incl. DC, DoDEA)


Urban districts

Public school students

Private school students

Grade 8







Nat’l/state reading (2 block)

DS

52

27

85,750

1,750

87,500

Nat’l/state math (2 block)

DS

52

27

85,750

1,750

87,500

Nat'l/state reading & math (3 block)

DT

52

27

48,500

1,000

49,500

Puerto Rico

DP

1


3,000


3,000

Total - alpha




223,000


223,000

Total- delta





4,500

4,500

Typical max. no. students/school




50

50


Average assessed students/school




43

24


Total schools - alpha, delta




5,150

188

5,338








US history (2 block)

HC



7,200

800

8,000

Civics (2 block)

HC



7,200

800

8,000

Total – beta




14,400


14,400

Total – epsilon





1,600

1,600

Typical max. no. students/school




50

50


Average assessed students/school




42

24


Total schools - beta, epsilon




343

67

410








Total number of students grade 8




237,400

6,100

243,500

Total number of schools grade 8




5,493

255

5,748















GRAND TOTAL STUDENTS




460,400

10,600

471,000

GRAND TOTAL SCHOOLS




11,093

460

11,553




  1. Assessment Types


The assessment spiral types are shown in Table 2. Three different spirals will be used at grade 4 and four different spirals will be used at grade 8. Session IDs contain six characters, traditionally. The first two characters identify the assessment “type” (subjects and type of spiral in a general way).

Grade is contained in the second pair of characters, and the session sequential number (within schools) in the last two characters. For example, session DS0401 denotes the first grade 4 reading and mathematics operational DBA assessment in a given school.


Table 2. NAEP 2021 assessment types and IDs


ID

Type

Subjects

Grades

Schools

Comments


DS

Operational – 2 block


Reading, math


4, 8

Public, Private

Three-quarters of schools in the alpha (except Puerto Rico) and

delta samples.


DT

Operational – 3 block


Reading, math


4, 8

Public, Private

One-quarter of schools in the alpha (except Puerto Rico) and

delta samples.

HC

Operational –

2 block

US history, civics

8

Public,

Private

All schools in the beta and

epsilon samples.

DP

Operational –

2 block

Mathematics

4, 8

Public

Puerto Rico alpha samples.




  1. New Schools


In similar fashion to past years, we will identify four different types of school samples: alpha, beta, delta, and epsilon. These distinguish sets of schools that will be conducting distinct portions of the assessment.



  1. Alpha Samples at Grades 4 and 8


These are public school samples for grades 4 and 8. They will be used for the operational state-by- state assessments in reading and mathematics, and contribute to the national samples for these subjects as well. There will be alpha samples for each state, DC, DoDEA, BIE, and Puerto Rico.


The details of the target student sample sizes for the alpha samples are as follows:


  1. At each grade, the assessed student target sample size is 3,350 per state. The goal in each state (before considering the contribution of TUDA districts) is to roughly assess 1,850 students for math and 1,850 students for reading, with 350 students being assessed in both subjects. The target sample size after considering attrition is 3,900 for grade 4 and 4,000 for grade 8. The DS and DT session types will be used.


  1. There will be samples for twenty-seven TUDA districts. For the six large TUDA districts (New York, Los Angeles, Chicago, Miami-Dade, Clark County, and Houston) the assessed student target sample sizes are three-quarters the size of a state sample (2,515). The target sample size after considering attrition is 2,925 for grade 4 and 3,000 for grade 8.


  1. For the remaining 21 TUDA districts, the assessed student target sample sizes are half the size of a state sample (1,675). The target sample size after inflation to account for attrition is 1,950 for grade 4 and 2,000 for grade 8.


  1. Note that, above, there is a conflict between sample size requirements at the state level, and the TUDA district level. This will be resolved as in previous years: the districts will have the target samples indicated in B and C, and reflected in Table 3. For the states that contain one or more of these districts, the target sample size indicated in A (and shown in Table 3) will be used to determine a school sampling rate for the state, which will be applied to the balance of the state outside the TUDA district(s). Thus the target student sample sizes, shown in Table 3, for states that contain a TUDA district, are only ‘design targets’, and are smaller than the final total sample size for the state, but larger than the sample for the balance of the state, exclusive of its TUDA districts.


  1. In Puerto Rico, the target sample size is 3,600 per grade (grades 4 and 8), with the goal of assessing 3,000 students.


As in past state-by-state assessments, schools with fewer than 20 students in the grade in question will be sampled at a moderately lower rate than other schools (at least half, and often higher, depending upon the size of the school). This is in implicit recognition of the greater cost and burden associated with surveying these schools.


Table 3 shows the target student sample sizes, and the approximate counts of schools to be selected in the alpha samples, along with the school and student frame counts, by state and TUDA districts for grades 4 and 8. The table also identifies the jurisdictions where we take all schools and where we take all students.


Table 4 consolidates the target student (and resulting school) sample size numbers, to show the total target sample sizes in each state, combining the TUDA targets with those for the balance of the state.


Table 3. Grade 4 and 8 school and student frame counts, expected school sample sizes, and initial target student sample sizes for the 2021 state-by-state and TUDA district assessments (Alpha samples)







Jurisdiction

Grade 4

Grade 8




Schools in frame




Schools in sample




Students in frame

Overall target student sample

size





Schools in frame




Schools in sample




Students in frame


Overall target student sample size


Alabama

715

86

58,328

3,900


460

87

54,754

4,000


Alaska

354

130

9,577

3,900


274

102

9,112

4,000


Arizona

1,223

88

87,474

3,900


820

90

85,601

4,000


Arkansas

477

86

37,767

3,900


302

86

36,011

4,000


Bureau of Indian Education

131

9

3,486

250


106

9

3,087

250


California

6,057

86

466,193

3,900


3,006

88

462,651

4,000


Colorado

1,073

88

68,142

3,900


585

89

67,008

4,000


Connecticut

621

87

38,530

3,900


331

87

40,498

4,000


Delaware

118

79

10,629

3,900


61

47

10,392

4,000


District of Columbia

122

89

6,092

3,900


69

69

4,713

4,000

*

DoDEA Schools

89

71

6,289

3,900


57

57

5,076

4,000

*

Florida

2,248

84

217,768

3,900


1,254

87

206,706

4,000


Georgia

1,246

83

134,990

3,900


571

85

130,259

4,000


Hawaii

207

87

14,773

3,900


82

52

13,516

4,000


Idaho

384

91

23,160

3,900


207

83

22,934

4,000


Illinois

2,215

88

147,257

3,900


1,574

91

151,442

4,000


Indiana

1,050

85

78,855

3,900


494

85

78,144

4,000


Iowa

623

90

37,406

3,900


361

88

36,527

4,000


Kansas

697

93

36,952

3,900


391

93

36,103

4,000


Kentucky

723

86

52,068

3,900


425

90

50,357

4,000


Louisiana

766

87

55,675

3,900


500

88

51,882

4,000


Maine

311

106

13,279

3,900


199

90

13,393

4,000


Maryland

898

85

68,771

3,900


373

86

63,534

4,000


Massachusetts

956

85

70,837

3,900


489

85

71,599

4,000


Michigan

1,681

88

108,789

3,900


1,092

90

113,313

4,000


Minnesota

974

90

66,133

3,900


720

94

65,613

4,000


Mississippi

417

85

38,291

3,900


282

85

35,644

4,000


Missouri

1,165

92

69,749

3,900


707

93

67,914

4,000



Table 3. Grade 4 and 8 school and student frame counts, expected school sample sizes, and initial target student sample sizes for the 2021 state-by-state and TUDA district assessments (Alpha samples) (Continued)







Jurisdiction

Grade 4

Grade 8




Schools in frame




Schools in sample




Students in frame

Overall target student sample

size





Schools in frame




Schools in sample




Students in frame


Overall target student sample size


Montana

394

124

11,750

3,900


276

101

11,125

4,000


Nebraska

523

101

23,689

3,900


294

93

23,144

4,000


Nevada

390

85

36,981

3,900


166

81

35,384

4,000


New Hampshire

270

98

13,405

3,900


144

74

13,829

4,000


New Jersey

1,374

86

99,119

3,900


771

87

99,817

4,000


New Mexico

446

91

26,319

3,900


234

88

24,801

4,000


New York

2,510

85

201,374

3,900


1,558

87

196,637

4,000


North Carolina

1,481

85

121,050

3,900


742

86

114,080

4,000


North Dakota

262

119

8,787

3,900


183

90

8,183

4,000


Ohio

1,704

86

128,574

3,900


1,073

87

129,712

4,000


Oklahoma

856

93

52,037

3,900


586

93

49,250

4,000


Oregon

742

91

44,745

3,900


421

91

43,697

4,000


Pennsylvania

1,578

84

129,714

3,900


878

85

131,525

4,000


Puerto Rico

872

153

28,119

3,600


392

146

24,826

3,600


Rhode Island

175

86

10,936

3,900


70

55

10,893

4,000


South Carolina

649

84

59,485

3,900


314

85

54,989

4,000


South Dakota

311

116

10,807

3,900


256

99

10,199

4,000


Tennessee

993

86

76,816

3,900


593

87

73,126

4,000


Texas

4,511

85

407,091

3,900


2,266

87

393,018

4,000


Utah

673

86

52,061

3,900


301

88

50,407

4,000


Vermont

214

128

6,093

3,900


121

86

5,894

4,000


Virginia

1,110

84

97,755

3,900


378

84

95,898

4,000


Washington

1,232

87

84,823

3,900


612

89

80,609

4,000


West Virginia

408

98

20,212

3,900


197

88

20,286

4,000


Wisconsin

1,093

91

61,204

3,900


648

90

61,564

4,000


Wyoming

191

100

7,545

3,900


88

62

7,235

4,000



Table 3. Grade 4 and 8 school and student frame counts, expected school sample sizes, and initial target student sample sizes for the 2021 state-by-state and TUDA district assessments (Alpha samples) (Continued)







Jurisdiction

Grade 4

Grade 8




Schools in frame




Schools in sample




Students in frame

Overall target student sample

size





Schools in frame




Schools in sample




Students in frame


Overall target student sample size


Albuquerque

97

42

7,351

1,950


40

40

6,267

2,000

*

Atlanta

55

39

4,518

1,950


23

23

3,560

2,000

*

Austin

82

42

6,693

1,950


20

20

5,331

2,000

*

Baltimore City

126

45

6,749

1,950


95

46

5,442

2,000


Boston

71

44

3,927

1,950


45

34

3,584

2,000


Charlotte

110

41

11,943

1,950


46

33

10,873

2,000


Chicago

457

67

27,978

2,925


455

68

28,403

3,000


Clark County, NV

226

62

25,289

2,925


77

55

24,474

3,000


Cleveland

79

50

3,320

1,950


75

51

3,181

2,000


Dallas

152

41

12,859

1,950


41

41

10,369

2,000

*

Denver

105

43

6,987

1,950


58

39

6,288

2,000


Detroit

71

44

3,959

1,950


56

43

3,131

2,000


Duval County, FL

122

42

10,646

1,950


56

33

9,018

2,000


Fresno

67

41

5,716

1,950


19

19

5,256

2,000

*

Fort Worth

86

42

7,027

1,950


32

32

6,074

2,000

*

Guilford County, NC

74

42

5,568

1,950


31

31

5,242

2,000

*

Hillsborough County, FL

178

42

17,330

1,950


89

42

15,105

2,000


Houston

177

62

17,792

2,925


63

45

13,210

3,000


Jefferson County, KY

102

42

7,734

1,950


43

27

7,134

2,000


Los Angeles

452

63

39,042

2,925


118

61

31,431

3,000


Miami

291

63

26,964

2,925


188

64

26,891

3,000


Milwaukee

113

46

5,767

1,950


82

42

5,004

2,000


New York City

799

63

72,428

2,925


530

65

66,430

3,000


Philadelphia

147

42

11,248

1,950


114

41

9,158

2,000


San Diego

121

43

8,659

1,950


38

38

7,415

2,000

*

Shelby County, TN

107

42

8,781

1,950


61

36

7,511

2,000


District of Columbia PS

77

45

3,862

1,950


28

28

2,301

2,000

*

Counts for states do not reflect the oversampling for their constituent TUDA districts

Target student sample sizes reflect sample sizes prior to attrition due to exclusion, ineligibility, and nonresponse.

* identifies jurisdictions where all schools (but not all students) for the given grade are included in the NAEP sample.


Table 4. Total sample sizes, combining state and TUDA samples







Jurisdiction

Grade 4

Grade 8




Schools in frame




Schools in sample




Students in frame

Overall target student sample

size





Schools in frame




Schools in sample




Students in frame

Overall target student sample

size


Alabama

715

86

58,328

3,900


460

87

54,754

4,000


Alaska

354

130

9,577

3,900


274

102

9,112

4,000


Arizona

1,223

88

87,474

3,900


820

90

85,601

4,000


Arkansas

477

86

37,767

3,900


302

86

36,011

4,000


Bureau Of Indian Education

131

9

3,486

250


106

9

3,087

250


California

6,057

223

466,193

10,277


3,006

198

462,651

10,618


Colorado

1,073

122

68,142

5,448


585

120

67,008

5,624


Connecticut

621

87

38,530

3,900


331

87

40,498

4,000


Delaware

118

79

10,629

3,900


61

47

10,392

4,000


District Of Columbia

122

89

6,092

3,900


69

69

4,713

4,075

*

DoDEA Schools

89

71

6,289

3,900


57

57

5,076

4,000

*

Florida

2,248

210

217,768

9,740


1,254

205

206,706

10,012


Georgia

1,246

119

134,990

5,720


571

106

130,259

5,891


Hawaii

207

87

14,773

3,900


82

52

13,516

4,000


Idaho

384

91

23,160

3,900


207

83

22,934

4,000


Illinois

2,215

138

147,257

6,082


1,574

142

151,442

6,247


Indiana

1,050

85

78,855

3,900


494

85

78,144

4,000


Iowa

623

90

37,406

3,900


361

88

36,527

4,000


Kansas

697

93

36,952

3,900


391

93

36,103

4,000


Kentucky

723

116

52,068

5,271


425

104

50,357

5,434


Louisiana

766

87

55,675

3,900


500

88

51,882

4,000


Maine

311

106

13,279

3,900


199

90

13,393

4,000


Maryland

898

121

68,771

5,468


373

124

63,534

5,658


Massachusetts

956

125

70,837

5,634


489

115

71,599

5,800


Michigan

1,681

129

108,789

5,708


1,092

130

113,313

5,889


Minnesota

974

90

66,133

3,900


720

94

65,613

4,000


Mississippi

417

85

38,291

3,900


282

85

35,644

4,000


Missouri

1,165

92

69,749

3,900


707

93

67,914

4,000


Montana

394

124

11,750

3,900


276

101

11,125

4,000



Table 4. Total sample sizes, combining state and TUDA samples (Continued)







Jurisdiction

Grade 4

Grade 8




Schools in frame




Schools in sample




Students in frame

Overall target student sample

size





Schools in frame




Schools in sample




Students in frame

Overall target student sample

size


Nebraska

523

101

23,689

3,900


294

93

23,144

4,000


Nevada

390

90

36,981

4,153


166

82

35,384

4,230


New Hampshire

270

98

13,405

3,900


144

74

13,829

4,000


New Jersey

1,374

86

99,119

3,900


771

87

99,817

4,000


New Mexico

446

110

26,319

4,751


234

107

24,801

4,983


New York

2,510

118

201,374

5,422


1,558

122

196,637

5,648


North Carolina

1,481

156

121,050

7,236


742

138

114,080

7,435


North Dakota

262

119

8,787

3,900


183

90

8,183

4,000


Ohio

1,704

134

128,574

5,749


1,073

136

129,712

5,902


Oklahoma

856

93

52,037

3,900


586

93

49,250

4,000


Oregon

742

91

44,745

3,900


421

91

43,697

4,000


Pennsylvania

1,578

119

129,714

5,512


878

120

131,525

5,721


Puerto Rico

872

153

28,119

3,600


392

146

24,826

3,600


Rhode Island

175

86

10,936

3,900


70

55

10,893

4,000


South Carolina

649

84

59,485

3,900


314

85

54,989

4,000


South Dakota

311

116

10,807

3,900


256

99

10,199

4,000


Tennessee

993

118

76,816

5,404


593

114

73,126

5,589


Texas

4,511

262

407,091

12,249


2,266

218

393,018

12,643


Utah

673

86

52,061

3,900


301

88

50,407

4,000


Vermont

214

128

6,093

3,900


121

86

5,894

4,000


Virginia

1,110

84

97,755

3,900


378

84

95,898

4,000


Washington

1,232

87

84,823

3,900


612

89

80,609

4,000


West Virginia

408

98

20,212

3,900


197

88

20,286

4,000


Wisconsin

1,093

129

61,204

5,481


648

125

61,564

5,674


Wyoming

191

100

7,545

3,900


88

62

7,235

4,000


Total

52,503

5,903

3,847,751

251,822


29,354

5,403

3,757,911

258,923


Sample sizes for each state reflect the samples in the TUDA districts within the state.

* identifies jurisdictions where all schools (but not all students) for the given grade are included in the NAEP sample.

Stratification


Each state and grade will be stratified separately, but using a common approach in all cases. TUDA districts will be separated from the balance of their state, and each part stratified separately. The first level of stratification will be based on urban-centric type of location. This variable has 12 levels (some of which may not be present in a given state or TUDA district), and these will be collapsed so that each of the resulting location categories contains at least 10 percent of the student population (13 percent for large TUDA districts and 20 percent for small TUDA districts).


Within each of the resulting location categories, schools will be assigned a minority enrollment status. This is based on the two race/ethnic groups that are the second and third most prevalent within the location category. If these groups are both low in percentage terms, no minority classification will be used. Otherwise three (or occasionally four) equal-sized groups (generally high, medium, and low minority) will be formed based on the distribution across schools of the two minority groups.


Within the resulting location and minority group classes (of which there are likely to be from three to fifteen, depending upon the jurisdiction), schools will be sorted by a measure derived from school level results from the most recent available state achievement tests at the relevant grade. In general, mathematics test results will be used, but where these are not available, reading results will be used. In the few states that do not have math or reading tests at grades 4 and 8 (or where we are unable to match the results to the NAEP school frame), instead of achievement data, schools will be sorted using a measure of socio-economic status. This is the median household income of the 5-digit ZIP Code area where the school is located, based on the 2018 ACS (5-year) data. For BIE and DoDEA schools neither achievement data nor income data are available, and so grade enrollment is used in these cases.


Once the schools are sorted by location class, minority enrollment class, and achievement data (or household income), a systematic sample of schools will be selected using a random start. Schools will be sampled with probability proportional to size. The exact details of this process are described in the individual sampling specification memos.

  1. Beta Sample


The beta sample comprises the national public school samples at grade 8 that will be used for the national US history and civics assessments (DBA). The sample will be nationally representative, selected to have minimal overlap with the alpha sample schools at the same grade. The number of students targeted per school will be 50.


In order to increase the likelihood that the results for American Indian/Alaskan Native (AIAN) students can be reported for the operational samples, we will oversample high-AIAN public schools. That is, a public school with more than 5 AIAN students and greater than 5 percent AIAN enrollment will be given four times the chance of selection of a public school of the same size with a lower AIAN percentage. For all other schools, whenever there are more than 10 Black or Hispanic students enrolled and the combined Black and Hispanic enrollment exceeds 15 percent, the school will be given twice the chance of selection of a public school of the same size with a lower percentage of these two groups. This approach is effective in increasing the sample sizes of AIAN, Black, and Hispanic students without inducing undesirably large design effects on the sample, either overall, or for particular subgroups.


Stratification


The beta samples will have an implicit stratification, using a hierarchy of stratifiers and a serpentine sort. The highest level of the hierarchy is Census division (9 implicit strata). The next stratifier in the hierarchy is type of location, which has twelve categories. Many of the type of location strata nested within Census divisions will be collapsed with neighboring type of location cells (this will occur if the expected school sample size within the cell is less than 4.0). These geographic strata will be subdivided into three substrata: 1) schools being oversampled for AIAN, 2) schools being oversampled for Blacks and Hispanics, and 3) low-minority schools not being oversampled. If the expected sample size in an oversampled substratum is less than 8.0, it will be left as is. If the expected sample size is greater than 8.0, then it will be subdivided into up to four substrata (two for expected sample size up to 12.0, three for expected sample size up to 16.0, and four for expected sample size greater than 16.0). For the oversampling strata, the subdivision will be by percentage AIAN or percentage Black and Hispanic, as appropriate. For the low-minority sampling strata, the subdivision will be by state or groups of contiguous states. Within these substrata, the schools are to be sorted by school type (public, BIE, DoDEA) and median household income from the 2018 5- year ACS (using a serpentine sort within the school type substrata).

  1. Delta Samples


These are the private school samples at grades 4 and 8 for conducting the operational assessments in reading and mathematics. The sample sizes are large enough to report results by Catholic and non- Catholic at grades 4 and 8. Approximately half the sample at each grade will be from Catholic schools. The number of students targeted per school will be 50 for the 2 block assessment and 40 for the 3 block assessment at each grade.


Stratification


The private schools are to be explicitly stratified by private school type (Catholic/Other). Within each private school type, stratification will be by Census region (4 categories), type of location (12 categories), race/ethnicity composition, and enrollment size. In general, where there are few or no schools in a given stratum, categories will be collapsed together, always preserving the private school type.



  1. Epsilon Sample


With regard to subjects and grades assessed, this sample is analogous to the beta sample, but for private schools. However, in contrast to the beta sample, there will be no oversampling of high minority schools. The same stratification variables will be used as for the delta samples. The epsilon sample schools will have minimum overlap with the delta sample schools which, given the respective sample sizes, means that no schools will be selected for both the delta and epsilon samples at the same grade. The number of students targeted per school will be 50.



  1. New Schools


To compensate for the fact that files used to create the NAEP school sampling frames are at least two years out of date at the time of frame construction, we will supplement the alpha, beta, delta, and epsilon samples with new school samples at each grade.


The new school samples will be drawn using a two-stage design. At the first stage, a minimum of ten school districts (in states with at least ten districts) will be selected from each state for public

schools, and ten Catholic dioceses will be selected nationally for the private schools. The sampled districts and dioceses will be asked to review lists of their respective schools and identify new schools. Frames of new schools will be constructed from these updates, and new schools will be drawn with probability proportional to size using the same sample rates as their corresponding original school samples.


The school sample sizes in the above tables do not reflect new school samples.



  1. Substitute Samples


Substitute samples will be selected for each of the beta, delta and epsilon samples. The substitute school for each original will be the next “available” school on the sorted sampling frame, with the following exceptions:


  1. Schools selected for any NAEP samples will not be used as substitutes.


  1. Private schools whose school affiliation is unknown will not be used as substitutes. Also, unknown affiliated private schools in the original samples will not get substitutes.


  1. A school can be a substitute for one and only one sample. (If a school is selected as a substitute school for grade 8, for example, it cannot be used as a substitute for grade 4.)


  1. A public school substitute will always be in the same state as its original school.


  1. A Catholic school substitute will always be a Catholic school, and the same for non-Catholic schools.



  1. Contingency Samples


The districts that are taking part in the TUDA program are volunteers. Thus it is possible that at some point over the next few months, a given district might choose to opt out of the TUDA program for 2021. However, it is not acceptable for all schools in such a district to decline NAEP, as then the state estimates will be adversely affected. To deal with this possibility, in each TUDA district, subsamples of the alpha sample schools will be identified as contingency samples. In the event that the district withdraws from the TUDA program prior to the selection of the student sample, all alpha sampled schools from that district will be dropped from the sample, with the exception of those selected in the contingency sample. The contingency sample will provide a

proportional representation of the district, within the aggregate state sample. Student sampling in those schools will then proceed in the same way as for the other schools within the same state.


  1. Student Sampling


Students within the sampled schools will be selected with equal probability. The student sampling parameters vary by sample type (alpha, beta, delta, and epsilon) and grade, as described below.


Alpha Sample, Grades 4 and 8 Schools (Except Puerto Rico)


Operational DBA – 2 block (Spiral = DS)


  1. All students, up to 52, will be selected.


  1. If the school has more than 52 students, a systematic sample of 50 students will be selected. In some schools, the school may be assigned more than one ‘hit’ in sampling. In these schools we will select a sample of size 50 times the number of hits, taking all students if this target is greater than or equal to 50/52 of the total enrollment.


Operational DBA – 3 block (Spiral = DT)


  1. All students, up to 41, will be selected.


  1. If the school has more than 41 students, a systematic sample of 40 students will be selected. In some schools, the school may be assigned more than one ‘hit’ in sampling. In these schools we will select a sample of size 40 times the number of hits, taking all students if this target is greater than or equal to 40/41 of the total enrollment.



Alpha Sample, Puerto Rico Grades 4 and 8


  1. All students, up to 26, will be selected.


  1. If the school has more than 26 students, a systematic sample of 25 students will be selected.


Delta Samples, Grades 4 and 8


Operational DBA – 2 block (Spiral = DS)


  1. All students, up to 52, will be selected.

  2. If the school has more than 52 students, a systematic sample of 50 students will be selected.


Operational DBA – 3 block (Spiral = DT)


  1. All students, up to 41, will be selected.


  1. If the school has more than 41 students, a systematic sample of 40 students will be selected.


Beta and Epsilon Samples, Grade 8


  1. All students, up to 52, will be selected.


  1. If the school has more than 52 students, a systematic sample of 50 students will be selected.



  1. Weighting Requirements



The Operational Reading and Mathematics Assessments, Grades 4 and 8


The exact weighting requirements for these samples have yet to be determined. One likely possibility is that three sets of weights will be required – two-block alone, three-block alone, and two- block/three-block combined. The sample will have weights for each subject (reading and math) applied to reflect probabilities of selection, school and student nonresponse, any trimming, and the random assignment to the particular subject. There will be separate replication schemes by grade and public/private. Weights will also be derived for the Puerto Rico assessment at grades 4 and 8.


The Operational US History and Civics Assessments, Grade 8


The sample will have a single set of weights for each subject (US history and civics) applied to reflect probabilities of selection, school and student nonresponse, any trimming, and the random assignment to the particular subject. There will be a separate replication scheme by grade and public/private.




File Typeapplication/vnd.openxmlformats-officedocument.wordprocessingml.document
File TitleAppendix A (Statute Authorizing NAEP)
Authorjoconnell
File Modified0000-00-00
File Created2021-01-14

© 2025 OMB.report | Privacy Policy