eCBSV Enrollment Process

Electronic Consent Based Social Security Number Verification

eCBSV Screen Package

eCBSV Enrollment Process

OMB: 0960-0817

Document [docx]
Download: docx | pdf














Electronic Consent Based Social Security Number Verification (eCBSV)

SCREEN PACKAGE



Table of Contents

1. eCBSV Registration Screens 5

a. Optional Screens to Test Open ID Connect (OIDC) Registration 5

i. Validate to Perform Dynamic Client Registration 5

ii. Validation successful 6

iii. Invalid Issuer URL Validation - Failure message 7

iv. Validate to Perform Dynamic Client Registration using Authorization Header Credentials 8

v. Validation successful 9

vi. Validation failure 10

b. Entity Registration for Direct Customers 11

i. Provide Information 11

ii. Review and Submit 13

iii. Entity Registration Success 14

iv. Sample Entity Registration Email 14

c. Financial Institution Registration for Indirect Customers 15

i. Enter Information & EIN Consent 15

ii. Permitted Entity Certification 16

iii. Sign Permitted Entity Certification 18

iv. Financial Institution Success 21

2. eCBSV Customer Connection Screens 22

a. Login Screen 22

b. Redirected to Entity Login Screen 23

c. Unenrolled Home Screen 24

d. Contacts 25

i. First-Time User 25

ii. Add Contact and Assign Role(s) 26

iii. Contact Main Screen 28

e. Permitted Entity Certification 29

i. Main Screen 29

ii. Sign Certification 31

iii. Main Screen After Signature 36

f. User Agreement 37

i. User Agreement Main 37

ii. User Reads & Initials User Agreement Section(s) 39

iii. Sign Agreement 41

iv. Main Screen After Signature 46

g. Tier Subscription 47

i. Select Tier Selection 47

ii. Tier Subscription Review & Pay 49

iii. Pay.Gov Redirect 50

iv. Pay.gov Pay Screen 1 (for payments of $24,999 or lower) 51

v. Pay.gov Pay Screen 2 (Checking or Savings Account (ACH)) 52

vi. Pay.gov Pay Screen 3 (Credit or Debit Card) 53

vii. Pay.gov Pay Screen 4 (Review and Submit Payment) 54

h. Start Exchanging 55

i. Payment Confirmation 55

ii. Print/Download Page Contents 56

i. Payment Receipt 57

i. Receipt 57

ii. Print/Download Receipt 58

iii. Sample Enrollment Email 59

j. Enrolled User Home Screen 60

k. Entity Information 61

l. Tier Subscription Renewal 62

i. Tier Subscription Selection 62

ii. Tier Subscription Review & Pay 64

iii. Pay.gov Redirect 65

m. Documents 66

n. ETE Registration 67

i. Registration 67

ii. ETE Registration Success 68



  1. eCBSV Registration Screens



    1. Optional Screens to Test Open ID Connect (OIDC) Registration



      1. Validate to Perform Dynamic Client Registration







      1. Validation successful









      1. Invalid Issuer URL Validation - Failure message









      1. Validate to Perform Dynamic Client Registration using Authorization Header Credentials







      1. Validation successful







      1. Validation failure
















    1. Entity Registration for Direct Customers



      1. Provide Information







      1. Review and Submit



      1. Entity Registration Success

      1. Sample Entity Registration Email

Shape2

Entity 1,





    1. Financial Institution Registration for Indirect Customers



      1. Enter Information & EIN Consent



      1. Permitted Entity Certification







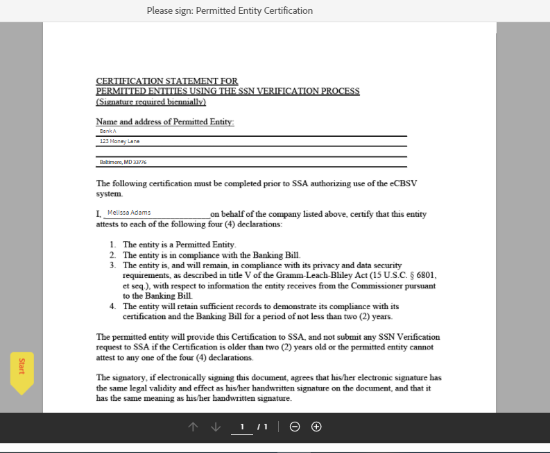
      1. Sign Permitted Entity Certification



      1. Financial Institution Success






  1. eCBSV Customer Connection Screens



    1. Login Screen

    1. Redirected to Entity Login Screen

    1. Unenrolled Home Screen







    1. Contacts



      1. First-Time User

      1. Add Contact and Assign Role(s)

      1. Contact Main Screen





    1. Permitted Entity Certification



      1. Main Screen





      1. Sign Certification







      1. Main Screen After Signature







    1. User Agreement



      1. User Agreement Main





      1. User Reads & Initials User Agreement Section(s)

      1. Sign Agreement



      1. Main Screen After Signature





    1. Tier Subscription



      1. Select Tier Selection







      1. Tier Subscription Review & Pay



      1. Pay.Gov Redirect





      1. Pay.gov Pay Screen 1 (for payments of $24,999 or lower)



Note: Customers with payments of $25,000 and greater will not see this screen as they will be required to pay by ACH.





      1. Pay.gov Pay Screen 2 (Checking or Savings Account (ACH))



      1. Pay.gov Pay Screen 3 (Credit or Debit Card)



      1. Pay.gov Pay Screen 4 (Review and Submit Payment)





    1. Start Exchanging



      1. Payment Confirmation





      1. Print/Download Page Contents



    1. Payment Receipt



      1. Receipt

      1. Print/Download Receipt





      1. Sample Enrollment Email



    1. Enrolled User Home Screen







    1. Entity Information





    1. Tier Subscription Renewal


      1. Tier Subscription Selection









      1. Tier Subscription Review & Pay





      1. Pay.gov Redirect















    1. Documents







    1. ETE Registration



      1. Registration



      1. ETE Registration Success



Page 37 of 37


File Typeapplication/vnd.openxmlformats-officedocument.wordprocessingml.document
AuthorWheeler, Kristin
File Modified0000-00-00
File Created2022-09-16

© 2025 OMB.report | Privacy Policy