License requirements for operation of a launch site

License Requirements for Operation of a Launch Site

Parts 413-420-433 Regulations for 2120-0644 Information Collection

License requirements for operation of a launch site

OMB: 2120-0644

Document [doc]
Download: doc | pdf

Title 14: Aeronautics and Space

PART 413—LICENSE APPLICATION PROCEDURES

Authority:   49 U.S.C. 70101–70121.

Source:   Amdt. 413–03, 64 FR 19614, Apr. 21, 1999, unless otherwise noted.

§ 413.1   Scope of this part.

(a) This part explains how to apply for a license or experimental permit. These procedures apply to all applications for issuing a license or permit, transferring a license, and renewing a license or permit.

(b) Use the following table to locate specific requirements:

Subject

Part

(1) Obtaining a Launch License

415

(2) License to Operate a Launch Site

420

(3) Launch and Reentry of a Reusable Launch Vehicle (RLV)

431

(4) License to Operate a Reentry Site

433

(5) Reentry of a Reentry Vehicle other than a Reusable Launch Vehicle (RLV)

435

(6) Experimental Permits

437

[Doc. No. FAA–2006–24197, 72 FR 17017, Apr. 6, 2007]

§ 413.3   Who must obtain a license or permit.

(a) A person must obtain a license in accordance with this section, unless eligible for an experimental permit under paragraph (f) of this section.

(b) A person must obtain a license to—

(1) Launch a launch vehicle from the United States;

(2) Operate a launch site within the United States;

(3) Reenter a reentry vehicle in the United States; or

(4) Operate a reentry site within the United States.

(c) A person who is a U.S. citizen or an entity organized under the laws of the United States or any State must obtain a license to—

(1) Launch a launch vehicle outside the United States;

(2) Operate a launch site outside the United States;

(3) Reenter a reentry vehicle outside the United States; or

(4) Operate a reentry site outside the United States.

(d) A foreign entity in which a United States citizen has a controlling interest must obtain a license to launch a launch vehicle from or to operate a launch site in—

(1) Any place that is outside the territory or territorial waters of any nation, unless there is an agreement in force between the United States and a foreign nation providing that such foreign nation has jurisdiction over the launch or the operation of the launch site; or

(2) The territory of any foreign nation, including its territorial waters, if there is an agreement in force between the United States and that foreign nation providing that the United States has jurisdiction over the launch or the operation of the launch site.

(e) A foreign entity in which a U.S. citizen has a controlling interest must obtain a license to reenter a reentry vehicle or to operate a reentry site in—

(1) Any place that is outside the territory or territorial waters of any nation, unless there is an agreement in force between the United States and a foreign nation providing that such foreign nation has jurisdiction over the reentry or the operation of the reentry site; or

(2) The territory of any foreign nation if there is an agreement in force between the United States and that foreign nation providing that the United States has jurisdiction over the reentry or the operation of the reentry site.

(f) A person, individual, or foreign entity otherwise requiring a license under this section may instead obtain an experimental permit to launch or reenter a reusable suborbital rocket under part 437 of this chapter.

[Doc. No. FAA–2006–24197, 72 FR 17017, Apr. 6, 2007]

§ 413.5   Pre-application consultation.

A prospective applicant must consult with the FAA before submitting an application to discuss the application process and possible issues relevant to the FAA's licensing or permitting decision. Early consultation helps an applicant to identify possible regulatory issues at the planning stage when changes to an application or to proposed licensed or permitted activities are less likely to result in significant delay or costs to the applicant.

[Doc. No. FAA–2006–24197, 72 FR 17018, Apr. 6, 2007]

§ 413.7   Application.

(a) Form. An application must be in writing, in English and filed in duplicate with the Federal Aviation Administration, Associate Administrator for Commercial Space Transportation, Room 331, 800 Independence Avenue, SW., Washington, DC 20591. Attention: Application Review.

(b) Administrative information. An application must identify the following:

(1) The name and address of the applicant;

(2) The name, address, and telephone number of any person to whom inquiries and correspondence should be directed; and

(3) The type of license or permit for which the applicant is applying.

(c) Signature and certification of accuracy. An application must be legibly signed, dated, and certified as true, complete, and accurate by one of the following:

(1) For a corporation: An officer or other individual authorized to act for the corporation in licensing or permitting matters.

(2) For a partnership or a sole proprietorship: A general partner or proprietor, respectively.

(3) For a joint venture, association, or other entity: An officer or other individual authorized to act for the joint venture, association, or other entity in licensing or permitting matters.

(d) Safety approval. If the applicant proposes to include a safety element for which the FAA issued a safety approval under part 414 in the proposed license activity, the applicant must—

(1) Identify the safety approval in the application and explain the proposed use of the approved safety element.

(2) Show that the proposed use of the approved safety element is consistent with the designated scope specified in the safety approval.

(3) Certify that the safety element will be used according to any terms and conditions of the issued safety approval.

(e) Measurement system consistency. For each analysis, an applicant must employ a consistent measurements system, whether English or metric, in its application and licensing information.

[Amdt. 413–03, 64 FR 19614, Apr. 21, 1999, as amended by Amdt. 413–6, 71 FR 46852, Aug. 15, 2006; Amdt. 413–8, 71 FR 51972, Aug. 31, 2006; Amdt. 413–7, 71 FR 56005, Sept. 26, 2006; Amdt. 413–9, 72 FR 17018, Apr. 6, 2007]

§ 413.9   Confidentiality.

(a) Any person furnishing information or data to the FAA may request in writing that trade secrets or proprietary commercial or financial data be treated as confidential. The request must be made at the time the information or data is submitted, and state the period of time for which confidential treatment is desired.

(b) Information or data for which any person or agency requests confidentiality must be clearly marked with an identifying legend, such as “Proprietary Information,” “Proprietary Commercial Information,” “Trade Secret,” or “Confidential Treatment Requested.” Where this marking proves impracticable, a cover sheet containing the identifying legend must be securely attached to the compilation of information or data for which confidential treatment is requested.

(c) If a person requests that previously submitted information or data be treated confidentially, the FAA will do so to the extent practicable in light of any prior distribution of the information or data.

(d) Information or data for which confidential treatment has been requested or information or data that qualifies for exemption under section 552(b)(4) of Title 5, United States Code, will not be disclosed to the public unless the Associate Administrator determines that the withholding of the information or data is contrary to the public or national interest.

§ 413.11   Acceptance of an application.

The FAA will initially screen an application to determine whether it is complete enough for the FAA to start its review. After completing the initial screening, the FAA will notify the applicant in writing of one of the following:

(a) The FAA accepts the application and will initiate the reviews required to make a decision about the license or permit; or

(b) The application is so incomplete or indefinite that the FAA cannot start to evaluate it. The FAA will reject it and notify the applicant, stating each reason for rejecting it and what action the applicant must take for the FAA to accept the application. The FAA may return a rejected application to the applicant or may hold it until the applicant takes the required actions.

[Doc. No. FAA–2006–24197, 72 FR 17018, Apr. 6, 2007]

§ 413.13   Complete application.

The FAA's acceptance of an application does not mean it has determined that the application is complete. If, in addition to the information required by this chapter, the FAA requires other information necessary for a determination that public health and safety, safety of property, and national security and foreign policy interests of the United States are protected during the conduct of a licensed or permitted activity, an applicant must submit the additional information.

[Doc. No. FAA–2006–24197, 72 FR 17018, Apr. 6, 2007]

§ 413.15   Review period.

(a) Review period duration. Unless otherwise specified in this chapter, the FAA reviews and makes a decision on an application within 180 days of receiving an accepted license application or within 120 days of receiving an accepted permit application.

(b) Review period tolled. If an accepted application does not provide sufficient information to continue or complete the reviews or evaluations required by this chapter for a licensing or permitting determination, or an issue exists that would affect a determination, the FAA notifies the applicant, in writing, and informs the applicant of any information required to complete the application. If the FAA cannot review an accepted application because of lack of information or for any other reason, the FAA will toll the 180-day or 120-day review period until the FAA receives the information it needs or the applicant resolves the issue.

(c) Notice. If the FAA does not make a decision within 120 days of receiving an accepted license application or within 90 days of receiving an accepted permit application, the FAA informs the applicant, in writing, of any outstanding information needed to complete the review, or of any issues that would affect the decision.

[Doc. No. FAA–2006–24197, 72 FR 17018, Apr. 6, 2007]

§ 413.17   Continuing accuracy of application; supplemental information; amendment.

(a) An applicant must ensure the continuing accuracy and completeness of information furnished to the FAA as part of a pending license or permit application. If at any time the information an applicant provides is no longer accurate and complete in all material respects, the applicant must submit new or corrected information. As part of this submission, the applicant must recertify the accuracy and completeness of the application under §413.7. If an applicant does not comply with any of the requirements set forth in this paragraph, the FAA can deny the license or permit application.

(b) An applicant may amend or supplement a license or permit application at any time before the FAA issues or transfers the license or permit.

(c) Willful false statements made in any application or document relating to an application, license, or permit are punishable by fine and imprisonment under section 1001 of Title 18, United States Code, and by administrative sanctions in accordance with part 405 of this chapter.

[Doc. No. FAA–2006–24197, 72 FR 17018, Apr. 6, 2007]

§ 413.19   Issuing a license or permit.

After the FAA completes its reviews and makes the decisions required by this chapter, the FAA issues a license or permit to the applicant.

[Doc. No. FAA–2006–24197, 72 FR 17019, Apr. 6, 2007]

§ 413.21   Denial of a license application.

(a) The FAA informs an applicant, in writing, if it denies an application and states the reasons for denial.

(b) If the FAA has denied an application, the applicant may either:

(1) Attempt to correct any deficiencies identified and ask the FAA to reconsider the revised application. The FAA has 60 days or the number of days remaining in the review period, whichever is greater, within which to reconsider the decision; or

(2) Request a hearing in accordance with part 406 of this chapter, for the purpose of showing why the application should not be denied.

(c) An applicant whose license application is denied after reconsideration under paragraph (b)(1) of this section may request a hearing in accordance with paragraph (b)(2) of this section.

[Amdt. 413–03, 64 FR 19614, Apr. 21, 1999, as amended by Amdt. 413–9, 72 FR 17019, Apr. 6, 2007]

§ 413.23   License or permit renewal.

(a) Eligibility. A licensee or permittee may apply to renew its license or permit by submitting to the FAA a written application for renewal at least 90 days before the license expires or at least 60 days before the permit expires.

(b) Application. (1) A license or permit renewal application must satisfy the requirements set forth in this part and any other applicable part of this chapter.

(2) The application may incorporate by reference information provided as part of the application for the expiring license or permit, including any modifications to the license or permit.

(3) An applicant must describe any proposed changes in its conduct of licensed or permitted activities and provide any additional clarifying information required by the FAA.

(c) Review of application. The FAA reviews the application to determine whether to renew the license or permit for an additional term. The FAA may incorporate by reference any findings that are part of the record for the expiring license or permit.

(d) Renewal of license or permit. After the FAA finishes its reviews, the FAA issues an order modifying the expiration date of the license or permit. The FAA may impose additional or revised terms and conditions necessary to protect public health and safety and the safety of property and to protect U.S. national security and foreign policy interests.

(e) Denial of license or permit renewal. The FAA informs a licensee or permittee, in writing, if the FAA denies the application for renewal and states the reasons for denial. If the FAA denies an application, the licensee or permittee may follow the procedures of §413.21 of this part.

[Doc. No. FAA–2006–24197, 72 FR 17019, Apr. 6, 2007]

Title 14: Aeronautics and Space

PART 420—LICENSE TO OPERATE A LAUNCH SITE

Authority:   49 U.S.C. 70101–70121.

Source:   Docket No. FAA–1999–5833, 65 FR 62861, Oct. 19, 2000, unless otherwise noted.

Subpart A—General
§ 420.1   Scope.

This part prescribes the information and demonstrations that must be provided to the FAA as part of a license application, the bases for license approval, license terms and conditions, and post-licensing requirements with which a licensee shall comply to remain licensed. Requirements for preparing a license application are contained in part 413 of this subchapter.

§ 420.3   Applicability.

This part applies to any person seeking a license to operate a launch site or to a person licensed under this part. A person operating a site that only supports amateur rocket activities as defined in 14 CFR 1.1, does not need a license under this part to operate the site.

[Docket No. FAA–2007–27390, 73 FR 73782, Dec. 4, 2008]

§ 420.5   Definitions.

For the purpose of this part.

Ballistic coefficient means the weight of an object divided by the quantity product of the coefficient of drag of the object and the area of the object.

Compatibility means the chemical property of materials that may be located together without increasing the probability of an accident or, for a given quantity, the magnitude of the effects of such an accident.

Debris dispersion radius (Dmax) means the estimated maximum distance from a launch point that debris travels given a worst-case launch vehicle failure and flight termination early in flight. For an expendable launch vehicle, flight termination is assumed to occur at 10 seconds into flight.

Downrange area means a portion of a flight corridor beginning where a launch area ends and ending 5,000 nautical miles from the launch point, or where the IIP leaves the surface of the Earth, whichever is shorter, for an orbital launch vehicle; and ending with an impact dispersion area for a guided sub-orbital launch vehicle.

E,F,G coordinate system means an orthogonal, Earth-fixed, geocentric, right-handed system. The origin of the coordinate system is at the center of an ellipsoidal Earth model. The E-axis is positive directed through the Greenwich meridian. The F-axis is positive directed though 90 degrees east longitude. The EF-plane is coincident with the ellipsoidal Earth model's equatorial plane. The G-axis is normal to the EF-plane and positive directed through the north pole.

E,N,U coordinate system means an orthogonal, Earth-fixed, topocentric, right-handed system. The origin of the coordinate system is at a launch point. The E-axis is positive directed east. The N-axis is positive directed north. The EN-plane is tangent to an ellipsoidal Earth model's surface at the origin and perpendicular to the geodetic vertical. The U-axis is normal to the EN-plane and positive directed away from the Earth.

Effective casualty area (A c ) means the aggregate casualty area of each piece of debris created by a launch vehicle failure at a particular point on its trajectory. The effective casualty area for each piece of debris is the area within which 100 percent of the unprotected population on the ground are assumed to be a casualty, and outside of which 100 percent of the population are assumed not to be a casualty. An effective casualty area accounts for the characteristics of the debris piece, including its size, the path angle of its trajectory, impact explosions, and debris skip, splatter, and bounce. An effective casualty area also accounts for the size of a person.

Explosive means any chemical compound or mechanical mixture that, when subjected to heat, impact, friction, detonation or other suitable initiation, undergoes a rapid chemical change that releases large volumes of highly heated gases that exert pressure in the surrounding medium. The term applies to materials that either detonate or deflagrate.

Explosive division means the division within hazard class 1 of an explosive as defined in the United Nations Organization classification system for transport of dangerous goods, and as determined in accordance with 49 CFR part 173, subpart C.

Explosive equivalent means a measure of the blast effects from explosion of a given quantity of material expressed in terms of the weight of trinitrotoluene (TNT) that would produce the same blast effects when detonated.

Explosive hazard facility means a facility at a launch site where solid propellant, liquid propellant, or other explosives are stored or handled.

Flight azimuth means the initial direction in which a launch vehicle flies relative to true north expressed in degrees-decimal-degrees.

Flight corridor means an area on the Earth's surface estimated to contain the hazardous debris from nominal flight of a launch vehicle, and non-nominal flight of a launch vehicle assuming a perfectly functioning flight termination system or other flight safety system.

Guided suborbital launch vehicle means a suborbital rocket that employs an active guidance system.

Hazard class means the class of an explosive as defined by the United Nations Organization classification system for transport of dangerous goods, and as determined in accordance with 49 CFR part 173, subpart C.

Impact dispersion area means an area representing an estimated three standard deviation dispersion about a nominal impact point of an intermediate or final stage of a suborbital launch vehicle.

Impact dispersion factor means a constant used to estimate, using a stage apogee, a three standard deviation dispersion about a nominal impact point of an intermediate or final stage of a suborbital launch vehicle.

Impact dispersion radius (R i ) means a radius that defines an impact dispersion area.

Impact range means the distance between a launch point and the impact point of a suborbital launch vehicle stage.

Impact range factor means a constant used to estimate, when multiplied by a stage apogee, the nominal impact point of an intermediate or final stage of a suborbital launch vehicle.

Instantaneous impact point (IIP) means an impact point, following thrust termination of a launch vehicle. IIP may be calculated with or without atmospheric drag effects.

Instantaneous impact point (IIP) range rate means a launch vehicle's estimated IIP velocity along the Earth's surface.

Intraline distance means the minimum distance permitted between any two explosive hazard facilities in the ownership, possession or control of one launch site customer.

Launch area means, for a flight corridor defined in accordance with appendix A of this part, the portion of a flight corridor from the launch point to a point 100 nautical miles in the direction of the flight azimuth. For a flight corridor defined in accordance with appendix B of this part, a launch area is the portion of a flight corridor from the launch point to the enveloping line enclosing the outer boundary of the last debris dispersion circle.

Launch point means a point on the Earth from which the flight of a launch vehicle begins, and is defined by its geodetic latitude, longitude and height on an ellipsoidal Earth model.

Launch site accident means an unplanned event occurring during a ground activity at a launch site resulting in a fatality or serious injury (as defined in 49 CFR 830.2) to any person who is not associated with the activity, or any damage estimated to exceed $25,000 to property not associated with the activity.

Net explosive weight (NEW) means the total weight, expressed in pounds, of explosive material or explosive equivalency contained in an item.

Nominal means, in reference to launch vehicle performance, trajectory, or stage impact point, a launch vehicle flight where all launch vehicle aerodynamic parameters are as expected, all vehicle internal and external systems perform as planned, and there are no external perturbing influences (e.g., winds) other than atmospheric drag and gravity.

Overflight dwell time means the period of time it takes for a launch vehicle's IIP to move past a populated area. For a given populated area, the overflight dwell time is the time period measured along the nominal trajectory IIP ground trace from the time point whose normal with the trajectory intersects the most uprange part of the populated area to the time point whose normal with the trajectory intersects the most downrange part of the populated area.

Overflight exclusion zone means a portion of a flight corridor which must remain clear of the public during the flight of a launch vehicle.

Populated area means a land area with population.

Population density means the number of people per unit area in a populated area.

Position data means data referring to the current position of a launch vehicle with respect to flight time expressed through the X, Y, Z coordinate system.

Public means people and property that are not involved in supporting a licensed or permitted launch, and includes those people and property that may be located within the boundary of a launch site, such as visitors, any individual providing goods or services not related to launch processing or flight, and any other launch operator and its personnel.

Public area means any area outside a hazard area and is an area that is not in the possession, ownership or other control of a launch site operator or of a launch site customer who possesses, owns or otherwise controls that hazard area.

Public area distance means the minimum distance permitted between a public area and an explosive hazard facility.

Public traffic route distance means the minimum distance permitted between a public highway or railroad line and an explosive hazard facility.

Trajectory means the position and velocity components as a function of time of a launch vehicle relative to an x, y, z coordinate system, expressed in x, y, z, x, y, z.

Unguided sub-orbital launch vehicle means a sub-orbital rocket that does not have a guidance system.

X, Y, Z coordinate system means an orthogonal, Earth-fixed, topocentric, right-handed system. The origin of the coordinate system is at a launch point. The x-axis coincides with the initial launch azimuth and is positive in the downrange direction. The y-axis is positive to the left looking downrange. The xy-plane is tangent to the ellipsoidal earth model's surface at the origin and perpendicular to the geodetic vertical. The z-axis is normal to the xy-plane and positive directed away from the earth.

φ 0, λ 0, h 0means a latitude, longitude, height system where φ0is the geodetic latitude of a launch point, λ0is the east longitude of the launch point, and h0is the height of the launch point above the reference ellipsoid. φ0and λ0are expressed in degrees-decimal-degrees.

[Docket No. FAA–1999–5833, 65 FR 62861, Oct. 19, 2000, as amended by Amdt. 420–3, 72 FR 17019, Apr. 6, 2007]

§§ 420.6-420.14   [Reserved]
Subpart B—Criteria and Information Requirements for Obtaining a License
§ 420.15   Information requirements.

(a) General —(1) Launch site operator. An applicant shall identify the name and address of the applicant, and the name, address, and telephone number of any person to whom inquiries and correspondence should be directed.

(2) Launch site. An applicant shall provide the name and location of the proposed launch site and include the following information:

(i) A list of downrange equipment;

(ii) A description of the layout of the launch site, including launch points;

(iii) The types of launch vehicles to be supported at each launch point;

(iv) The range of launch azimuths planned from each launch point; and

(v) The scheduled operational date.

(3) Foreign ownership. Identify foreign ownership of the applicant, as follows:

(i) For a sole proprietorship or partnership, all foreign owners or partners;

(ii) For a corporation, any foreign ownership interest of 10 percent or more; and

(iii) For a joint venture, association, or other entity, any foreign entities participating in the entity.

(b) Environmental. An applicant shall provide the FAA with information for the FAA to analyze the environmental impacts associated with the operation of the proposed launch site. The information provided by an applicant must be sufficient to enable the FAA to comply with the requirements of the National Environment Policy Act, 42 U.S.C. 4321 et seq. (NEPA), the Council on Environmental Quality Regulations for Implementing the Procedural Provisions of NEPA, 40 CFR parts 1500–1508, and the FAA's Procedures for Considering Environmental Impacts, FAA Order 1050.1D. An applicant shall submit environmental information concerning a proposed launch site not covered by existing environmental documentation, and other factors as determined by the FAA.

(c) Launch site location. (1) Except as provided by paragraph (c)(2) of this section, an applicant shall provide the information necessary to demonstrate compliance with §§420.19–420.29.

(2) An applicant who is proposing to locate a launch site at an existing launch point at a federal launch range is not required to comply with paragraph (c)(1) of this section if a launch vehicle of the same type and class as proposed for the launch point has been safely launched from the launch point.

(d) Explosive site plan. (1) Except as provided by paragraph (d)(2) of this section, an applicant shall submit an explosive site plan that complies with §§420.63, 420.65, 420.67, and 420.69.

(2) If an applicant plans to operate a launch site located on a federal launch range, and if the applicant is required by the federal launch range to comply with the federal launch range's explosive safety requirements, the applicant shall submit the explosive site plan submitted to the federal launch range.

(e) Launch site operations. An applicant shall provide the information necessary to demonstrate compliance with the requirements of §§420.53, 420.55, 420.57, 420.59, 420.61, and 420.71.

§ 420.17   Bases for issuance of a license.

(a) The FAA will issue a license under this part when the FAA determines that:

(1) The application provides the information required by §420.15;

(2) The FAA has completed an analysis of the environmental impacts associated with the proposed operation of the launch site, in accordance with NEPA, 40 CFR parts 1500–1508, and FAA Order 1050.1D;

(3) The launch site location meets the requirements of §§420.19, 420.21, 420.23, 420.25, 420.27, and 420.29;

(4) The applicant has completed the agreements required by §420.31;

(5) The application demonstrates that the applicant shall satisfy the requirements of §§420.53, 420.55, 420.57, 420.59, 420.61 and 420.71;

(6) The explosive site plan meets the criteria of §§420.63, 420.65, 420.67 and 420.69; and

(7) Issuing a license would not jeopardize foreign policy or national security interests of the United States.

(b) The FAA advises an applicant, in writing, of any issue arising during an application review that would lead to denial. The applicant may respond in writing, submit additional information, or amend its license application.

§ 420.19   Launch site location review—general.

(a) To gain approval for a launch site location, an applicant shall demonstrate that for each launch point proposed for the launch site, at least one type of expendable or reusable launch vehicle can be flown from the launch point safely. For purposes of the launch site location review:

(1) A safe launch must possess a risk level estimated, in accordance with the requirements of this part, not to exceed an expected average number of 0.00003 casualties (Ec) to the collective member of the public exposed to hazards from the flight (Ec≤ 30 × 10−6).

(2) Types of launch vehicles include orbital expendable launch vehicles, guided sub-orbital expendable launch vehicles, unguided sub-orbital expendable launch vehicles, and reusable launch vehicles. Orbital expendable launch vehicles are further classified by weight class, based on the weight of payload the launch vehicle can place in a 100-nm orbit, as defined in table 1.

(b) If an applicant proposes to have more than one type of launch vehicle flown from a launch point, the applicant shall demonstrate that each type of expendable or reusable launch vehicle planned to be flown from the launch point can be flown from the launch point safely.

(c) If an applicant proposes to have more than one weight class of orbital expendable launch vehicles flown from a launch point, the applicant shall demonstrate that the heaviest weight class planned to be flown from the launch point can be flown from the launch point safely.

Table 1 of §420.19—Orbital Expendable Launch Vehicle Classes by Payload Weight (lbs)

100 nm orbit

Weight class

Small

Medium

Medium large

Large

28 degrees inclination*

≤4400

>4400 to ≤11100

>11100 to ≤18500

>18500

90 degrees inclination

≤3300

>3300 to ≤8400

>8400 to ≤15000

>15000

*28 degrees inclination orbit from a launch point at 28 degrees latitude.

§ 420.21   Launch site location review—launch site boundary.

(a) The distance from any proposed launch point to the closest launch site boundary must be at least as great as the debris dispersion radius of the largest launch vehicle type and weight class proposed for the launch point.

(b) For a launch site supporting any expendable launch vehicle, an applicant shall use the largest distance provided by table 2 for the type and weight class of any launch vehicle proposed for the launch point.

(c) For a launch site supporting any reusable launch vehicle, an applicant shall determine the debris dispersion radius that represents the maximum distance from a launch point that debris travels given a worst-case launch vehicle failure in the launch area. An applicant must clearly and convincingly demonstrate the validity of its proposed debris dispersion radius.

Table 2 of §420.21—Minimum Distance From Launch Point to Launch Site Boundary (feet)

Orbital expendable launch vehicle class

Type of suborbital launch vehicle

Small

Medium

Medium large

Large

Guided

Unguided

7300

9300

10600

13000

8000

1600

§ 420.23   Launch site location review—flight corridor.

(a) Guided orbital expendable launch vehicle. For a guided orbital expendable launch vehicle, an applicant shall define a flight corridor that:

(1) Encompasses an area that the applicant estimates, in accordance with the requirements of this part, to contain debris with a ballistic coefficient of ≥ 3 pounds per square foot, from any non-nominal flight of a guided orbital expendable launch vehicle from the launch point to a point 5000 nm downrange, or where the IIP leaves the surface of the Earth, whichever is shorter;

(2) Includes an overflight exclusion zone where the public risk criteria of 30×10−6would be exceeded if one person were present in the open; and

(3) Uses one of the methodologies provided in appendix A or B of this part. The FAA will approve an alternate method if an applicant provides a clear and convincing demonstration that its proposed method provides an equivalent level of safety to that required by appendix A or B of this part.

(b) Guided sub-orbital expendable launch vehicle. For a guided sub-orbital expendable launch vehicle, an applicant shall define a flight corridor that:

(1) Encompasses an area that the applicant estimates, in accordance with the requirements of this part, to contain debris with a ballistic coefficient of ≥ 3 pounds per square foot, from any non-nominal flight of a guided sub-orbital expendable launch vehicle from the launch point to impact with the earth's surface;

(2) Includes an impact dispersion area for the launch vehicle's last stage;

(3) Includes an overflight exclusion zone where the public risk criteria of 30×10−6would be exceeded if one person were present in the open; and

(4) Uses one of the methodologies provided in appendices A or B to this part. The FAA will approve an alternate method if an applicant provides a clear and convincing demonstration that its proposed method provides an equivalent level of safety to that required by appendix A or B of this part.

(c) Unguided sub-orbital expendable launch vehicle. (1) For an unguided sub-orbital expendable launch vehicle, an applicant shall define the following using the methodology provided by appendix D of this part:

(i) Impact dispersion areas that the applicant estimates, in accordance with the requirements of this part, to contain the impact of launch vehicle stages from nominal flight of an unguided sub-orbital expendable launch vehicle from the launch point to impact with the earth's surface; and

(ii) An overflight exclusion zone where the public risk criteria of 30×10−6would be exceeded if one person were present in the open.

(2) The FAA will approve an alternate method if an applicant provides a clear and convincing demonstration that its proposed method provides an equivalent level of safety to that required by appendix D of this part.

(3) An applicant shall base its analysis on an unguided suborbital launch vehicle whose final launch vehicle stage apogee represents the intended use of the launch point.

(d) Reusable launch vehicle. For a reusable launch vehicle, an applicant shall define a flight corridor that contains the hazardous debris from nominal and non-nominal flight of a reusable launch vehicle. The applicant must provide a clear and convincing demonstration of the validity of its flight corridor.

§ 420.25   Launch site location review—risk analysis.

(a) If a flight corridor or impact dispersion area defined by section 420.23 contains a populated area, the applicant shall estimate the casualty expectation associated with the flight corridor or impact dispersion area. An applicant shall use the methodology provided in appendix C to this part for guided orbital or suborbital expendable launch vehicles and appendix D for unguided suborbital launch vehicles. The FAA will approve an alternate method if an applicant provides a clear and convincing demonstration that its proposed method provides an equivalent level of safety to that required by appendix C or D of this part. For a reusable launch vehicle, an applicant must provide a clear and convincing demonstration of the validity of its risk analysis.

(b) For licensed launches, the FAA will not approve the location of the proposed launch point if the estimated expected casualty exceeds 30× 10−6.

[Docket No. FAA–1999–5833, 65 FR 62861, Oct. 19, 2000, as amended by Amdt. 420–3, 72 FR 17019, Apr. 6, 2007]

§ 420.27   Launch site location review—information requirements.

An applicant shall provide the following launch site location review information in its application:

(a) A map or maps showing the location of each launch point proposed, and the flight azimuth, IIP, flight corridor, and each impact range and impact dispersion area for each launch point;

(b) Each launch vehicle type and any launch vehicle class proposed for each launch point;

(c) Trajectory data;

(d) Wind data, including each month and any percent wind data used in the analysis;

(e) Any launch vehicle apogee used in the analysis;

(f) Each populated area located within a flight corridor or impact dispersion area;

(g) The estimated casualty expectancy calculated for each populated area within a flight corridor or impact dispersion area;

(h) The effective casualty areas used in the analysis;

(i) The estimated casualty expectancy for each flight corridor or set of impact dispersion areas; and

(j) If populated areas are located within an overflight exclusion zone, a demonstration that there are times when the public is not present or that the applicant has an agreement in place to evacuate the public from the overflight exclusion zone during a launch.

§ 420.29   Launch site location review for unproven launch vehicles.

An applicant for a license to operate a launch site for an unproven launch vehicle shall provide a clear and convincing demonstration that its proposed launch site location provides an equivalent level of safety to that required by this part.

§ 420.30   Launch site location review for permitted launch vehicles.

If an applicant plans to use its proposed launch site solely for launches conducted under an experimental permit, the FAA will approve a launch site location if the FAA has approved an operating area under part 437 for launches from that site.

[Doc. No. FAA–2006–24197, 72 FR 17019, Apr. 6, 2007]

§ 420.31   Agreements.

(a) Except as provided by paragraph (c) of this section, an applicant shall complete an agreement with the local U.S. Coast Guard district to establish procedures for the issuance of a Notice to Mariners prior to a launch and other such measures as the Coast Guard deems necessary to protect public health and safety.

(b) Except as provided by paragraph (c) of this section, an applicant shall complete an agreement with the FAA Air Traffic Control (ATC) office having jurisdiction over the airspace through which launches will take place, to establish procedures for the issuance of a Notice to Airmen prior to a launch and for closing of air routes during the launch window and other such measures as the FAA ATC office deems necessary to protect public health and safety.

(c) An applicant that plans to operate a launch site located on a federal launch range does not have to comply with section 420.31 if the applicant is using existing federal launch range agreements with the U.S. Coast Guard and the FAA ATC office having jurisdiction over the airspace through which launches will take place.

§§ 420.32-420.40   [Reserved]
Subpart C—License Terms and Conditions
§ 420.41   License to operate a launch site—general.

(a) A license to operate a launch site authorizes a licensee to operate a launch site in accordance with the representations contained in the licensee's application, with terms and conditions contained in any license order accompanying the license, and subject to the licensee's compliance with 49 U.S.C. subtitle IX, ch. 701 and this chapter.

(b) A license to operate a launch site authorizes a licensee to offer its launch site to a launch operator for each launch point for the type and any weight class of launch vehicle identified in the license application and upon which the licensing determination is based.

(c) Issuance of a license to operate a launch site does not relieve a licensee of its obligation to comply with any other laws or regulations; nor does it confer any proprietary, property, or exclusive right in the use of airspace or outer space.

§ 420.43   Duration.

A license to operate a launch site remains in effect for five years from the date of issuance unless surrendered, suspended, or revoked before the expiration of the term and is renewable upon application by the licensee.

§ 420.45   Transfer of a license to operate a launch site.

(a) Only the FAA may transfer a license to operate a launch site.

(b) The FAA will transfer a license to an applicant who has submitted an application in accordance with 14 CFR part 413, satisfied the requirements of §420.15, and obtained each approval required by §420.17 for a license.

(c) The FAA may incorporate by reference any findings made part of the record that supported a prior related licensing determination.

§ 420.47   License modification.

(a) Upon application or upon its own initiative, the FAA may modify a license to operate a launch site at any time by issuing a license order that adds, removes, or modifies a license term or condition to ensure compliance with the Act and the requirements of this chapter.

(b) After a license to operate a launch site has been issued, a licensee shall apply to the FAA for modification of its license if:

(1) The licensee proposes to operate the launch site in a manner that is not authorized by the license; or

(2) The licensee proposes to operate the launch site in a manner that would make any representation contained in the license application that is material to public health and safety or safety of property no longer accurate and complete.

(c) An application to modify a license shall be prepared and submitted in accordance with part 413 of this chapter. The licensee shall indicate any part of its license or license application that would be changed or affected by a proposed modification.

(d) The FAA approves a modification request that satisfies the requirements of this part.

(e) Upon approval of a license modification, the FAA issues either a written approval to the licensee or a license order modifying the license if a stated term or condition of the license is changed, added, or deleted. A written approval has the full force and effect of a license order and is part of the licensing record.

§ 420.49   Compliance monitoring.

A licensee shall allow access by and cooperate with federal officers or employees or other individuals authorized by the FAA to observe any activities of the licensee, its customers, its contractors, or subcontractors, associated with licensed operation of the licensee's launch site.

Subpart D—Responsibilities of a Licensee
§ 420.51   Responsibilities—general.

(a) A licensee shall operate its launch site in accordance with the representations in the application upon which the licensing determination is based.

(b) A licensee is responsible for compliance with 49 U.S.C. Subtitle IX, ch. 701 and for meeting the requirements of this chapter.

§ 420.53   Control of public access.

(a) A licensee shall prevent unauthorized access to the launch site, and unauthorized, unescorted access to explosive hazard facilities or other hazard areas not otherwise controlled by a launch operator, through the use of security personnel, surveillance systems, physical barriers, or other means approved as part of the licensing process.

(b) A licensee shall notify anyone entering the launch site of safety rules and emergency and evacuation procedures prior to that person's entry unless that person has received a briefing on those rules and procedures within the previous year.

(c) A licensee shall employ warning signals or alarms to notify any persons at the launch site of any emergency.

§ 420.55   Scheduling of launch site operations.

(a) A licensee shall develop and implement procedures to schedule operations to ensure that each operation carried out by a customer at the launch site does not create the potential for a mishap that could result in harm to the public because of the proximity of the operations, in time or place, to operations of any other customer. A customer includes any launch operator, and any contractor, subcontractor or customer of the launch site operator's customer at the launch site.

(b) A licensee shall provide its launch site scheduling requirements to each customer before the customer begins operations at the launch site.

§ 420.57   Notifications.

(a) A licensee shall notify each launch operator and any other customer of any limitations on the use of the launch site. A licensee shall also communicate limitations on the use of facilities provided to customers by the launch site operator.

(b) A licensee shall maintain its agreement, made in accordance with §420.31(a), with the local U.S. Coast Guard district.

(c) A licensee shall maintain its agreement, made in accordance with §420.31(b), with the FAA ATC office having jurisdiction over the airspace through which launches will take place.

(d) At least two days prior to flight of a launch vehicle, the licensee shall notify local officials and all owners of land adjacent to the launch site of the flight schedule.

§ 420.59   Launch site accident investigation plan.

(a) General. A licensee shall develop and implement a launch site accident investigation plan that contains the licensee's procedures for reporting, responding to, and investigating launch site accidents, as defined by §420.5, and for cooperating with federal officials in case of a launch accident. The launch site accident investigation plan must be signed by an individual authorized to sign and certify the application in accordance with §413.7(c) of this chapter.

(b) Reporting requirements. A launch site accident investigation plan shall provide for—

(1) Immediate notification to the Federal Aviation Administration (FAA) Washington Operations Center in the event of a launch site accident.

(2) Submission of a written preliminary report to the FAA, Associate Administrator for Commercial Space Transportation, within five days of any launch site accident. The report must include the following information:

(i) Date and time of occurrence;

(ii) Location of the event;

(iii) Description of the event;

(iv) Number of injuries, if any, and general description of types of injuries suffered;

(v) Property damage, if any, and an estimate of its value;

(vi) Identification of hazardous materials, as defined by §401.5 of this chapter, involved in the event;

(vii) Any action taken to contain the consequences of the event; and

(viii) Weather conditions at the time of the event.

(c) Response plan. A launch site accident investigation plan shall contain procedures that—

(1) Ensure the consequences of a launch site accident are contained and minimized;

(2) Ensure data and physical evidence are preserved;

(3) Require the licensee to report to and cooperate with FAA or National Transportation Safety Board (NTSB) investigations and designate one or more points of contact for the FAA or NTSB; and

(4) Require the licensee to identify and adopt preventive measures for avoiding recurrence of the event.

(d) Investigation plan. A launch site accident investigation plan must contain—

(1) Procedures for investigating the cause of a launch site accident;

(2) Procedures for reporting launch site accident investigation results to the FAA; and

(3) Delineated responsibilities, including reporting responsibilities for personnel assigned to conduct investigations and for any one retained by the licensee to conduct or participate in investigations.

(e) Launch accidents. A launch site accident investigation plan shall contain—

(1) Procedures for participating in an investigation of a launch accident for launches launched from the launch site;

(2) Require the licensee to cooperate with FAA or National Transportation Safety Board (NTSB) investigations of a launch accident for launches launched from the launch site.

(f) Applicability of other accident investigation procedures. Accident investigation procedures developed in accordance with 29 CFR 1910.119 and 40 CFR part 68 will satisfy the requirements of paragraphs (c) and (d) of this section to the extent that they include the elements required by paragraphs (c) and (d) of this section.

§ 420.61   Records.

(a) A licensee shall maintain all records, data, and other material needed to verify that its operations are conducted in accordance with representations contained in the licensee's application. A licensee shall retain records for three years.

(b) In the event of a launch or launch site accident, a licensee shall preserve all records related to the event. Records shall be retained until completion of any federal investigation and the FAA advises the licensee that the records need not be retained.

(c) A licensee shall make available to federal officials for inspection and copying all records required to be maintained under the regulations.

§ 420.63   Explosive siting.

(a) Except as otherwise provided by paragraph (b) of this section, a licensee shall ensure that the configuration of the launch site is in accordance with an explosive site plan, and that the licensee's explosive site plan is in compliance with the requirements of §§420.65–420.69. The explosive site plan shall include:

(1) A scaled map that shows the location of all proposed explosive hazard facilities at the proposed launch site and that shows actual and minimal allowable distances between each explosive hazard facility and all other explosive hazard facilities and each public area, including the launch site boundary;

(2) A listing of the maximum quantities of liquid and solid propellants and other explosives to be located at each explosive hazard facility, including the class and division for each solid explosive and the hazard and compatibility group for each liquid propellant; and

(3) A description of each activity to be conducted in each explosive hazard facility.

(b) A licensee operating a launch site located on a federal launch range does not have to comply with the requirements in §§420.65–420.69 if the licensee is in compliance with the federal launch range's explosive safety requirements.

(c) For explosive siting issues not otherwise addressed by the requirements of §§420.65–420.69, a launch site operator must clearly and convincingly demonstrate a level of safety equivalent to that otherwise required by part 420.

§ 420.65   Handling of solid propellants.

(a) A launch site operator shall determine the maximum total quantity of solid propellants and other solid explosives by class and division, in accordance with 49 CFR part 173, Subpart C, to be located in each explosive hazard facility where solid propellants or other solid explosives will be handled.

(b) When explosive divisions 1.1 and 1.3 explosives are located in the same explosive hazard facility, the total quantity of explosive shall be treated as division 1.1 for quantity-distance determinations; or, a launch site operator may add the net explosive equivalent weight of the division 1.3 items to the net weight of division 1.1 items to determine the total quantity of explosives.

(c) A launch site operator shall separate each explosive hazard facility where solid propellants and other solid explosives are handled from all other explosive hazard facilities, each public area and the launch site boundary by a distance no less than those provided for each quantity and explosive division in appendix E, table E–1.

(d) A launch site operator shall follow the following separation rules:

(1) A launch site operator shall employ no less than the applicable public area distance to separate an explosive hazard facility from each public area and from the launch site boundary.

(2) A launch site operator shall employ no less than an intraline distance to separate an explosive hazard facility from all other explosive hazard facilities used by a single customer.

(3) For explosive division 1.1 only, a launch site operator may employ no less than 60% of the applicable public area distance, or the public traffic route distance, to separate an explosive hazard facility from a public area that consists only of a public highway or railroad line.

(4) A launch site operator may use linear interpolation for NEW quantities between table entries.

(5) A launch site operator shall measure separation distance from the closest debris or explosive hazard source in an explosive hazard facility.

§ 420.67   Storage or handling of liquid propellants.

(a) For an explosive hazard facility where liquid propellants are handled or stored, a launch site operator shall determine the total quantity of liquid propellant and, if applicable pursuant to paragraph (a)(3) of this section, the explosive equivalent of liquid propellant in each explosive hazard facility in accordance with the following:

(1) The quantity of liquid propellant in a tank, drum, cylinder, or other container is the net weight in pounds of the propellant in the container. The determination of quantity shall include any liquid propellant in associated piping to any point where positive means are provided for interrupting the flow through the pipe, or interrupting a reaction in the pipe in the event of a mishap.

(2) Where two or more containers of compatible liquid propellants are handled or stored together in an explosive hazard facility, the total quantity of propellant to determine the minimum separation distance between the explosive hazard facility and all other explosive hazard facilities and each public area shall be the total quantity of liquid propellant in all containers, unless:

(i) The containers are separated one from the other by the appropriate distance as provided by paragraph (b)(2) of this section; or

(ii) The containers are subdivided by intervening barriers, such as diking, that prevent mixing.

(iii) If paragraph (a)(2)(i) or (ii) of this section apply, a launch site operator shall use the quantity of propellant requiring the greatest separation distance pursuant to paragraph (b) of this section to determine the minimum separation distance between the explosive hazard facility and all other explosive hazard facilities and each public area.

(3) Where two or more containers of incompatible liquid propellants will be handled or stored together in an explosive hazard facility, a launch site operator shall determine the explosive equivalent in pounds of the combined liquids, using the formulas provided in appendix E, table E–2, to determine the minimum separation distance between the explosive hazard facility and other explosive hazard facilities and public areas unless the containers are separated one from the other by the appropriate distance as determined in paragraph (b)(3) of this section. A launch site operator shall then use the quantity of liquid propellant requiring the greatest separation distance to determine the minimum separation distance between the explosive hazard facility and all other explosive hazard facilities and each public area.

(4) A launch site operator shall convert quantities of liquid propellants from gallons to pounds using the conversion factors provided in appendix E, table E–3 and the following equation:

Pounds of propellant = gallons × density of propellant (pounds per gallon).

(b) A launch site operator shall use appendix E, table E–3 to determine hazard and compatibility groups and shall separate liquid propellants from each other and from each public area using distances no less than those provided in appendix E, tables E–4 through E–7 in accordance with the following:

(1) A launch site operator shall measure minimum separation distances from the hazard source in an explosive hazard facility, such as a container, building, segment, or positive cutoff point in piping, closest to each explosive hazard facility.

(2) A launch site operator shall measure the minimum separation distance between compatible liquid propellants using the “intragroup and compatible” distance for the propellant quantity and hazard group that requires the greater distance prescribed by appendix E, tables E–4, E–5, and E–6.

(3) A launch site operator shall measure the minimum separation distance between liquid propellants of different compatibility groups using the “public area and incompatible” distance for the propellant quantity and hazard group that requires the greater distance provided in appendix E, tables E–4, E–5, and E–6, unless the propellants of different compatibility groups are subdivided by intervening barriers that prevent mixing. If such barriers are present, the minimum separation distance shall be the “intragroup and compatible” distance for the propellant quantity and group that requires the greater distance provided in appendix E, tables E–4, E–5, and E–6.

(4) A launch site operator shall separate liquid propellants from each public area using a distance no less than the “public area and incompatible” distance provided in appendix E, tables E–4, E–5, and E–6.

(5) A launch site operator shall separate each explosive hazard facility that contains liquid propellants where explosive equivalents apply pursuant to paragraph (a)(3) of this section from all other explosive hazard facilities of a single customer using the intraline distance provided in appendix E, table E–7, and from each public area using the public area distance provided in appendix E, table E–7.

§ 420.69   Solid and liquid propellants located together.

(a) A launch site operator proposing an explosive hazard facility where solid and liquid propellants are to be located together shall determine the minimum separation distances between the explosive hazard facility and other explosive hazard facilities and public areas in accordance with one method provided in paragraphs (b), (c), or (d) of this section.

(b) A launch site operator shall determine the minimum separation distances between the explosive hazard facility and all other explosive hazard facilities and public areas required for the liquid propellants in accordance with section 420.67(b)(5), and add the minimum separation distances between the explosive hazard facility and all other explosive hazard facilities and public areas required for the solid propellants in accordance with section 420.65, treating the solid propellants as explosive division 1.1.

(c) A launch site operator shall determine the minimum separation distances between the explosive hazard facility and all other explosive hazard facilities and public areas required for the liquid propellants in accordance with section 420.67(b)(5), and add the minimum separation distances between the explosive hazard facility and all other explosive hazard facilities and public areas required for the solid propellants in accordance with section 420.65, using the explosive equivalent of the explosive division 1.3.

(d) A launch site operator shall conduct an analysis of the maximum credible event (MCE), or the worst case explosion that is expected to occur. If the MCE shows that there will be no simultaneous explosion reaction of the liquid propellant tanks and the solid propellant motors, then the minimum distance between the explosive hazard facility and all other explosive hazard facilities and public areas must be based on the MCE.

§ 420.71   Lightning protection.

(a) Lightning protection. A licensee shall ensure that the public is not exposed to hazards due to the initiation of explosives by lightning.

(1) Elements of a lighting protection system. Unless an explosive hazard facility meets the conditions of paragraph (a)(3) of this section, all explosive hazard facilities shall have a lightning protection system to ensure explosives are not initiated by lightning. A lightning protection system shall meet the requirements of this paragraph and include the following:

(i) Air terminal. An air terminal to intentionally attract a lightning strike.

(ii) Down conductor. A low impedance path connecting an air terminal to an earth electrode system.

(iii) Earth electrode system. An earth electrode system to dissipate the current from a lightning strike to ground.

(2) Bonding and surge protection. A lightning protection system must meet the requirements of this paragraph and include the following:

(i) Bonding. All metallic bodies shall be bonded to ensure that voltage potentials due to lightning are equal everywhere in the explosive hazard facility. Any fence within six feet of a lightning protection system shall have a bond across each gate and other discontinuations and shall be bonded to the lightning protection system. Railroad tracks that run within six feet of the lightning protection system shall be bonded to the lightning protection system.

(ii) Surge protection. A lightning protection system shall include surge protection to reduce transient voltages due to lightning to a harmless level for all metallic power, communication, and instrumentation lines entering an explosive hazard facility.

(3) Circumstances where no lightening protection system is required. No lightning protection system is required for an explosive hazard facility when a lightning warning system is available to permit termination of operations and withdrawal of the public to public area distance prior to an electrical storm, or for an explosive hazard facility containing explosives that cannot be initiated by lightning. If no lightning protection system is required, a licensee must ensure the withdrawal of the public to a public area distance prior to an electrical storm.

(4) Testing and inspection. Lightning protection systems shall be visually inspected semiannually and shall be tested once each year for electrical continuity and adequacy of grounding. A licensee shall maintain at the explosive hazard facility a record of results obtained from the tests, including any action taken to correct deficiencies noted.

(b) Electrical power lines. A licensee shall ensure that electric power lines at its launch site meet the following requirements:

(1) Electric power lines shall be no closer to an explosive hazard facility than the length of the lines between the poles or towers that support the lines unless an effective means is provided to ensure that energized lines cannot, on breaking, come in contact with the explosive hazard facility.

(2) Towers or poles supporting electrical distribution lines that carry between 15 and 69 KV, and unmanned electrical substations shall be no closer to an explosive hazard facility than the public area distance for that explosive hazard facility.

(3) Towers or poles supporting electrical transmission lines that carry 69 KV or more, shall be no closer to an explosive hazard facility than the public area distance for that explosive hazard facility.

Appendix A to Part 420—Method for Defining a Flight Corridor

(a) Introduction

(1) This appendix provides a method for constructing a flight corridor from a launch point for a guided suborbital launch vehicle or any one of the four classes of guided orbital launch vehicles from table 1, §420.19, without the use of local meteorological data or a launch vehicle trajectory.

(2) A flight corridor includes an overflight exclusion zone in a launch area and, for a guided suborbital launch vehicle, an impact dispersion area in a downrange area. A flight corridor for a guided suborbital launch vehicle ends with the impact dispersion area, and, for the four classes of guided orbital launch vehicles, 5000 nautical miles (nm) from the launch point.

(b) Data requirements

(1) Maps. An applicant shall use any map for the launch site region with a scale not less than 1:250,000 inches per inch in the launch area and 1:20,000,000 inches per inch in the downrange area. As described in paragraph (b)(2), an applicant shall use a mechanical method, a semi-automated method, or a fully-automated method to plot a flight corridor on maps. A source for paper maps acceptable to the FAA is the U.S. Dept. of Commerce, National Oceanic and Atmospheric Administration, National Ocean Service.

(i) Projections for mechanical plotting method. An applicant shall use a conic projection. The FAA will accept a “Lambert-Conformal” conic projection. A polar aspect of a plane-azimuthal projection may also be used for far northern launch sites.

(ii) Projections for semi-automated plotting method. An applicant shall use cylindrical, conic, or plane projections for semi-automated plotting. The FAA will accept “Mercator” and “Oblique Mercator” cylindrical projections. The FAA will accept “Lambert-Conformal” and “Albers Equal-Area” conic projections. The FAA will accept “Lambert Azimuthal Equal-Area” and “Azimuthal Equidistant” plane projections.

(iii) Projections for fully-automated plotting method. The FAA will accept map projections used by geographical information system software scaleable pursuant to the requirements of paragraph (b)(1).

(2) Plotting Methods.

(i) Mechanical method. An applicant may use mechanical drafting equipment such as pencil, straight edge, ruler, protractor, and compass to plot the location of a flight corridor on a map. The FAA will accept straight lines for distances less than or equal to 7.5 times the map scale on map scales greater than or equal to 1:1,000,000 inches per inch (in/in); or straight lines representing 100 nm or less on map scales less than 1:1,000,000 in/in.

(ii) Semi-automated method. An applicant may employ the range and bearing techniques in paragraph (b)(3) to create latitude and longitude points on a map. The FAA will accept straight lines for distances less than or equal to 7.5 times the map scale on map scales greater than or equal to 1:1,000,000 inches per inch (in/in); or straight lines representing 100 nm or less on map scales less than 1:1,000,000 in/in.

(iii) Fully-automated method. An applicant may use geographical information system software with global mapping data scaleable in accordance with paragraph (b)(1).

(3) Range and bearing computations on an ellipsoidal Earth model.

(i) To create latitude and longitude pairs on an ellipsoidal Earth model, an applicant shall use the following equations to calculate geodetic latitude (+N) and longitude (+E) given the launch point geodetic latitude (+N), longitude (+E), range (nm), and bearing (degrees, positive clockwise from North).

(A) Input. An applicant shall use the following input in making range and bearing computations. Angle units must be in radians.

(B) Computations. An applicant shall use the following equations to determine the latitude (φ2) and longitude (λ2) of a target point situated “S” nm from the launch point on an azimuth bearing (α12) degrees.

where:

a = WGS–84 semi-major axis (3443.91846652 nmi)

b = WGS–84 semi-minor axis (3432.37165994 nmi)









































(ii) To create latitude and longitude pairs on an ellipsoidal Earth model, an applicant shall use the following equations to calculate the distance (S) of the geodesic between two points (P1and P2), the forward azimuth (α12) of the geodesic at P1, and the back azimuth (α21) of the geodesic at P2, given the geodetic latitude (+N), longitude (+E) of P1and P2. Azimuth is measured positively clockwise from North.

(A) Input. An applicant shall use the following input. Units must be in radians.

(B) Computations. An applicant shall use the following equations to determine the distance (S), the forward azimuth (α12) of the geodesic at P1, and the back azimuth (α12) of the geodesic at P2.

where:

a = WGS–84 semi-major axis (3443.91846652 nmi)

b = WGS–84 semi-minor axis (3432.37165994 nmi)































(c) Creation of a Flight Corridor

(1) To define a flight corridor, an applicant shall:

(i) Select a guided suborbital or orbital launch vehicle, and, for an orbital launch vehicle, select from table 1 of §420.19 a launch vehicle weight class that best represents the launch vehicle the applicant plans to support at its launch point;

(ii) Select a debris dispersion radius (Dmax) from table A–1 corresponding to the guided suborbital launch vehicle or orbital launch vehicle class selected in paragraph (c)(1)(i);

(iii) Select a launch point geodetic latitude and longitude; and

(iv) Select a flight azimuth.

(2) An applicant shall define and map an overflight exclusion zone using the following method:

(i) Select a debris dispersion radius (Dmax) from table A–1 and a downrange distance (DOEZ) from table A–2 to define an overflight exclusion zone for the guided suborbital launch vehicle or orbital launch vehicle class selected in paragraph (c)(1)(i).

(ii) An overflight exclusion zone is described by the intersection of the following boundaries, which are depicted in figure A–1:

(A) An applicant shall define an uprange boundary with a half-circle arc of radius Dmaxand a chord of length twice Dmaxconnecting the half-circle arc endpoints. The uprange boundary placement on a map has the chord midpoint positioned on the launch point with the chord oriented along an azimuth ±90°from the launch azimuth and the half-circle arc located uprange from the launch point.

(B) An applicant shall define the downrange boundary with a half-circle arc of radius Dmaxand a chord of length twice Dmaxconnecting the half-circle arc endpoints. The downrange boundary placement on a map has the chord midpoint intersecting the nominal flight azimuth line at a distance DOEZinches downrange with the chord oriented along an azimuth ±90°from the launch azimuth and the half-circle arc located downrange from the intersection of the chord and the flight azimuth line.

(C) Crossrange boundaries of an overflight exclusion zone are defined by two lines segments. Each is parallel to the flight azimuth with one to the left side and one to the right side of the flight azimuth line. Each line connects an uprange half-circle arc endpoint to a downrange half-circle arc endpoint as shown in figure A–1.

(iii) An applicant shall identify the overflight exclusion zone on a map that meets the requirements of paragraph (b).

(3) An applicant shall define and map a flight corridor using the following method:

(i) In accordance with paragraph (b), an applicant shall draw a flight corridor on one or more maps with the Dmaxorigin centered on the intended launch point and the flight corridor centerline (in the downrange direction) aligned with the initial flight azimuth. The flight corridor is depicted in figure A–2 and its line segment lengths are tabulated in table A–3.

(ii) An applicant shall define the flight corridor using the following boundary definitions:

(A) An applicant shall draw an uprange boundary, which is defined by an arc-line GB (figure A–2), directly uprange from and centered on the intended launch point with radius Dmax.

(B) An applicant shall draw line CF perpendicular to and centered on the flight azimuth line, and positioned 10 nm downrange from the launch point. The applicant shall use the length of line CF provided in table A–3 corresponding to the guided suborbital launch vehicle or orbital launch vehicle class selected in paragraph (c)(1)(i).

(C) An applicant shall draw line DE perpendicular to and centered on the flight azimuth line, and positioned 100 nm downrange from the launch point. The applicant shall use the length of line DE provided in table A–3 corresponding to the guided suborbital launch vehicle or orbital launch vehicle class selected in paragraph (c)(1)(i).

(D) Except for a guided suborbital launch vehicle, an applicant shall draw a downrange boundary, which is defined by line HI and is drawn perpendicular to and centered on the flight azimuth line, and positioned 5,000 nm downrange from the launch point. The applicant shall use the length of line HI provided in table A–3 corresponding to the orbital launch vehicle class selected in paragraph (c)(1)(i).

(E) An applicant shall draw crossrange boundaries, which are defined by three lines on the left side and three lines on the right side of the flight azimuth. An applicant shall construct the left flight corridor boundary according to the following, and as depicted in figure A–3 :

(1) The first line (line BC in figure A–3) is tangent to the uprange boundary arc, and ends at endpoint C of line CF, as depicted in figure A–3;

(2) The second line (line CD in figure A–3) begins at endpoint C of line BC and ends at endpoint D of line DH, as depicted in figure A–3;

(3) For all orbital launch vehicles, the third line (line DH in figure A–3) begins at endpoint D of line CD and ends at endpoint H of line HI, as depicted in figure A–3; and

(4) For a guided suborbital launch vehicle, the line DH begins at endpoint D of line CD and ends at a point tangent to the impact dispersion area drawn in accordance with paragraph (c)(4) and as depicted in figure A–4.

(F) An applicant shall repeat the procedure in paragraph (c)(3)(ii)(E) for the right side boundary.

(iii) An applicant shall identify the flight corridor on a map that meets the requirements of paragraph (b).

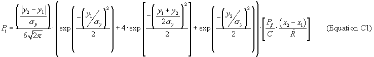
(4) For a guided suborbital launch vehicle, an applicant shall define a final stage impact dispersion area as part of the flight corridor and show the impact dispersion area on a map, as depicted in figure A–4, in accordance with the following:

(i) An applicant shall select an apogee altitude (Hap) for the launch vehicle final stage. The apogee altitude should equal the highest altitude intended to be reached by a guided suborbital launch vehicle launched from the launch point.

(ii) An applicant shall define the impact dispersion area by using an impact range factor [IP(Hap)] and a dispersion factor [DISP(Hap)] as shown below:

(A) An applicant shall calculate the impact range (D) for the final launch vehicle stage. An applicant shall set D equal to the maximum apogee altitude (Hap) multiplied by the impact range factor as shown below:

where: IP(Hap) = 0.4 for an apogee less than 100 km; and IP(Hap) = 0.7 for an apogee 100 km or greater.

(B) An applicant shall calculate the impact dispersion radius (R) for the final launch vehicle stage. An applicant shall set R equal to the maximum apogee altitude (Hap) multiplied by the dispersion factor as shown below:

where: DISP(Hap) = 0.05

(iii) An applicant shall draw the impact dispersion area on a map with its center on the predicted impact point. An applicant shall then draw line DH in accordance with paragraph (c)(3)(ii)(E)(4).

(d) Evaluate the Flight Corridor

(1) An applicant shall evaluate the flight corridor for the presence of any populated areas. If an applicant determines that no populated area is located within the flight corridor, then no additional steps are necessary.

(2) If a populated area is located in an overflight exclusion zone, an applicant may modify its proposal or demonstrate that there are times when no people are present or that the applicant has an agreement in place to evacuate the public from the overflight exclusion zone during a launch.

(3) If a populated area is located within the flight corridor, an applicant may modify its proposal and create another flight corridor pursuant to appendix A, use appendix B to narrow the flight corridor, or complete a risk analysis in accordance with appendix C.

Table A–1—Debris Dispersion Radius (Dmax) (in)

Orbital launch vehicles

Suborbital launch vehicles

Small

Medium

Medium large

Large

Guided

87,600
(1.20 nm)

111,600
(1.53 nm)

127,200
(1.74 nm)

156,000
(2.14 nm)

96,000
(1.32 nm)

Table A–2—Overflight Exclusion Zone Downrange Distance (Doez) (in)

Orbital launch vehicles

Suborbital launch vehicles

Small

Medium

Medium large

Large

Guided

240,500
(3.30 nm)

253,000
(3.47 nm)

310,300
(4.26 nm)

937,700
(12.86 nm)

232,100
(3.18 nm)

View or download PDF

View or download PDF

View or download PDF

View or download PDF

View or download PDF

Appendix B to Part 420—Method for Defining a Flight Corridor

(a) Introduction

(1) This appendix provides a method to construct a flight corridor from a launch point for a guided suborbital launch vehicle or any one of the four weight classes of guided orbital launch vehicles from table 1, §420.19, using local meteorological data and a launch vehicle trajectory.

(2) A flight corridor is constructed in two sections—one section comprising a launch area and one section comprising a downrange area. The launch area of a flight corridor reflects the extent of launch vehicle debris impacts in the event of a launch vehicle failure and applying local meteorological conditions. The downrange area reflects the extent of launch vehicle debris impacts in the event of a launch vehicle failure and applying vehicle imparted velocity, malfunctions turns, and vehicle guidance and performance dispersions.

(3) A flight corridor includes an overflight exclusion zone in the launch area and, for a guided suborbital launch vehicle, an impact dispersion area in the downrange area. A flight corridor for a guided suborbital launch vehicle ends with an impact dispersion area and, for the four classes of guided orbital launch vehicles, 5,000 nautical miles (nm) from the launch point, or where the IIP leaves the surface of the Earth, whichever is shorter.

(b) Data Requirements

(1) Launch area data requirements. An applicant shall satisfy the following data requirements to perform the launch area analysis of this appendix. The data requirements are identified in table B–1 along with sources where data acceptable to the FAA may be obtained.

(i) An applicant must select meteorological data that meet the specifications in table B–1 for the proposed launch site.

Table B–1—Launch Area Data Requirements

Data category

Data item

Data source

Meteorological Data

Local statistical wind data as a function of altitude up to 50,000 feet. Required data include: altitude (ft), atmospheric density (slugs/ft3), mean East/West meridianal (u) and North/South zonal (v) wind (ft/sec), standard deviation of u and v wind (ft/sec), correlation coefficient, number of observations and wind percentile (%)

These data may be obtained from:
Global Gridded Upper Air Statistics, Climate Applications Branch National Climatic Data Center.

Nominal Trajectory Data

State vector data as function of time after liftoff in topocentric launch point centered X,Y,Z,X,Y,Z coordinates with the X-axis aligned with the flight azimuth. Trajectory time intervals shall not be greater than one second. XYZ units are in feet and X,Y,Z units are in ft/sec

Actual launch vehicle trajectory data; or trajectory generation software that meets the requirements of paragraph (b)(1)(ii).

Debris Data

A fixed ballistic coefficient equal to 3 lbs/ft2is used for the launch area

N/A.

Geographical Data

Launch point geodetic latitude on a WGS–84 ellipsoidal Earth model

Geographical surveys or Global Positioning System.

  

Launch point longitude on an ellipsoidal Earth model


  

Maps using scales of not less than 1:250,000 inches per inch within 100 nm of a launch point and 1:20,000,000 inches per inch for distances greater than 100 nm from a launch point

Map types with scale and projection information are listed in the Defense Mapping Agency, Public Sale, Aeronautical Charts and Publications Catalog. The catalog and maps may be ordered through the U.S. Dept. of Commerce, National Oceanic and Atmospheric Administration, National Ocean Service.

(ii) For a guided orbital launch vehicle, an applicant shall obtain or create a launch vehicle nominal trajectory. An applicant may use trajectory data from a launch vehicle manufacturer or generate a trajectory using trajectory simulation software. Trajectory time intervals shall be no greater than one second. If an applicant uses a trajectory computed with commercially available software, the software must calculate the trajectory using the following parameters, or clearly and convincingly demonstrated equivalents:

(A) Launch location:

( 1 ) Launch point, using geodetic latitude and longitude to four decimal places; and

( 2 ) Launch point height above sea level.

(B) Ellipsoidal Earth:

( 1 ) Mass of Earth;

( 2 ) Radius of Earth;

( 3 ) Earth flattening factor; and

( 4 ) Gravitational harmonic constants (J2, J3, J4).

(C) Vehicle characteristics:

( 1 ) Mass as a function of time;

( 2 ) Thrust as a function of time;

( 3 ) Specific impulse (ISP) as a function of time; and

( 4 ) Stage dimensions.

(D) Launch events:

( 1 ) Stage burn times; and

( 2 ) Stage drop-off times.

(E) Atmosphere:

( 1 ) Density as a function of altitude;

( 2 ) Pressure as a function of altitude;

( 3 ) Speed of sound as a function of altitude; and

( 4 ) Temperature as a function of altitude.

(F) Winds:

(1) Wind direction as a function of altitude; and

(2) Wind magnitude as a function of altitude.

(I) Aerodynamics: drag coefficient as a function of mach number for each stage of flight showing subsonic, transonic and supersonic mach regions for each stage.

(iii) An applicant shall use a ballistic coefficient (β) of 3 lbs/ft2 for debris impact computations.

(iv) An applicant shall satisfy the map and plotting requirements for a launch area of appendix A, paragraph (b).

(2) Downrange area data requirements. An applicant shall satisfy the following data requirements to perform the downrange area analysis of this appendix.

(i) The launch vehicle weight class and method of generating a trajectory used in the launch area shall be used by an applicant in the downrange area as well. Trajectory time intervals must not be greater than one second.

(ii) An applicant shall satisfy the map and plotting data requirements for a downrange area of appendix A, paragraph (b).

(c) Construction of a Launch Area of a Flight Corridor

(1) An applicant shall construct a launch area of a flight corridor using the processes and equations of this paragraph for each trajectory position. An applicant shall repeat these processes at time points on the launch vehicle trajectory for time intervals of no greater than one second. When choosing wind data, an applicant shall use a time period of between one and 12 months.

(2) A launch area analysis must include all trajectory positions whose Z-values are less than or equal to 50,000 ft.

(3) Each trajectory time is denoted by the subscript “i”. Height intervals for a given atmospheric pressure level are denoted by the subscript “j'.

(4) Using data from the GGUAS CD-ROM, an applicant shall estimate the mean atmospheric density, maximum wind speed, height interval fall times and height interval debris dispersions for 15 mean geometric height intervals.

(i) The height intervals in the GGUAS source data vary as a function of the following 15 atmospheric pressure levels expressed in millibars: surface, 1000, 850, 700, 500, 400, 300, 250, 200, 150, 100, 70, 50, 30, 10. The actual geometric height associated with each pressure level varies depending on the time of year. An applicant shall estimate the mean geometric height over the period of months selected in subparagraph (1) of this paragraph for each of the 15 pressure levels as shown in equation B1.

where:

Hj= mean geometric height hm= geometric height for a given month nm= number of observations for a given month

k = number of wind months of interest

(ii) The atmospheric densities in the source data also vary as a function of the 15 atmospheric pressure levels. The actual atmospheric density associated with each pressure level varies depending on the time of year. An applicant shall estimate the mean atmospheric density over the period of months selected in accordance with subparagraph (1) of this paragraph for each of the 15 pressure levels as shown in equation B2.

where:

ρj= mean atmospheric density

_

ρm= atmospheric density for a given month

nm= number of observations for a given month

k = number of wind months of interest

(iii) An applicant shall estimate the algebraic maximum wind speed at a given pressure level as follows and shall repeat the process for each pressure level.

(A) For each month, an applicant shall calculate the monthly mean wind speed (Waz) for 360 azimuths using equation B3;

(B) An applicant shall select the maximum monthly mean wind speed from the 360 azimuths;

(C) An applicant shall repeat subparagraphs (c)(4)(iii)(A) and (B) for each month of interest; and

(D) An applicant shall select the maximum mean wind speed from the range of months. The absolute value of this wind is designated Wmaxfor the current pressure level.

(iv) An applicant shall calculate wind speed using the means for winds from the West (u) and winds from the North (v). An applicant shall use equation B3 to resolve the winds to a specific azimuth bearing.

where:

az = wind azimuth

u = West zonal wind component

v = North zonal wind component

Waz= mean wind speed at azimuth for each month

(v) An applicant shall estimate the interval fall time over a height interval assuming the initial descent velocity is equal to the terminal velocity (VT). An applicant shall use equations B4 through B6 to estimate the fall time over a given height interval.





where:

ΔHTj= height difference between two mean geometric heights

β= ballistic coefficient

_

ρx= mean atmospheric density for the corresponding mean geometric heights

VTj= terminal velocity

(vi) An applicant shall estimate the interval debris dispersion (Dj) by multiplying the interval fall time by the algebraic maximum mean wind speed (Wmax) as shown in equation B7.

(5) Once the Dj are estimated for each height interval, an applicant shall determine the total debris dispersion (Di) for each Ziusing a linear interpolation and summation exercise, as shown below in equation B8. An applicant shall use a launch point height of zero equal to the surface level of the nearest GGUAS grid location.

where:

n = number of height intervals below jth height interval

(6) Once all the Diradii have been calculated, an applicant shall produce a launch area flight corridor in accordance with the requirements of subparagraphs (c)(6)(i)–(iv).

(i) On a map meeting the requirements of appendix A, paragraph (b), an applicant shall plot the Xiposition location on the flight azimuth for the corresponding Ziposition;

(ii) An applicant shall draw a circle of radius Dicentered on the corresponding Xiposition; and

(iii) An applicant shall repeat the instructions in subparagraphs (c)(6)(i)–(ii) for each Diradius.

(iv) The launch area of a flight corridor is the enveloping line that encloses the outer boundary of the Dicircles as shown in Fig. B–1. The uprange portion of a flight corridor is described by a semi-circle arc that is a portion of either the most uprange Didispersion circle, or the overflight exclusion zone (defined by subparagraph (c)(7)), whichever is further uprange.

(7) An applicant shall define an overflight exclusion zone in the launch area in accordance with the requirements of appendix A, subparagraph (c)(2).

(8) An applicant shall draw the launch area flight corridor and overflight exclusion zone on a map or maps that meet the requirements of table B–1.

View or download PDF

(d) Construction of a Downrange Area of a Flight Corridor

(1) The downrange area analysis estimates the debris dispersion for the downrange time points on a launch vehicle trajectory. An applicant shall perform the downrange area analysis using the processes and equations of this paragraph.

(2) The downrange area analysis shall include trajectory positions at a height (the Zi-values) greater than 50,000 feet and nominal trajectory IIP values less than or equal to 5,000 nm. For a guided suborbital launch vehicle, the final IIP value for which an applicant must account is the launch vehicle final stage impact point. Each trajectory time shall be one second or less and is denoted by the subscript “i'.

(3) An applicant shall compute the downrange area of a flight corridor boundary in four steps, from each trajectory time increment: determine a reduction ratio factor; calculate the launch vehicle position after simulating a malfunction turn; rotate the state vector after the malfunction turn in the range of three degrees to one degree as a function of Xidistance downrange; and compute the IIP of the resulting trajectory. The locus of IIPs describes the boundary of the downrange area of a flight corridor. An applicant shall use the following subparagraphs, (d)(3)(i)–(v), to compute the downrange area of the flight corridor boundary:

(i) Compute the downrange Distance to the final IIP position for a nominal trajectory as follows:

(A) Using equations B30 through B69, determine the IIP coordinates (φmax, λmax) for the nominal state vector before the launch vehicle enters orbit where α in equation B30 is the nominal flight azimuth angle measured from True North.

(B) Using the range and bearing equations of appendix A, paragraph (b)(3), determine the distance (Smax) from the launch point coordinates (φlp, λlp) to the IIP coordinates (φmax, λmax) computed in accordance with (3)(i)(A) of this paragraph.

(C) The distance for Smaxmay not exceed 5000 nm. In cases when the actual value exceeds 5000 nm the applicant shall use 5000 nm for Smax.

(ii) Compute the reduction ratio factor (Fn) for each trajectory time increment as follows:

(A) Using equations B30 through B69, determine the IIP coordinates (φi, λi) for the nominal state vector where α in equation B30 is the nominal flight azimuth angle measured from True North.

(B) Using the range and bearing equations of appendix A, paragraph (b)(3), determine the distance (Si) from the launch point coordinates (φlp, λlp) to the IIP coordinates (φi, λi) computed in (3)(ii)(A) of this paragraph.

(C) The reduction ratio factor is:

(iii) An applicant shall compute the launch vehicle position and velocity components after a simulated malfunction turn for each Xiusing the following method.

(A) Turn duration (Δt) = 4 sec.

(B) Turn angle (Θ)

The turn angle equations perform a turn in the launch vehicle's yaw plane, as depicted in figure B–2.

View or download PDF

(C) Launch vehicle velocity magnitude at the beginning of the turn (Vb) and velocity magnitude at the end of the turn (Ve)

(D) Average velocity magnitude over the turn duration (V)

(E) Velocity vector path angle (γi) at turn epoch

(F) Launch vehicle position components at the end of turn duration

where: g1= 32.17405 ft/sec2

(G) Launch vehicle velocity components at the end of turn duration

(iv) An applicant shall rotate the trajectory state vector at the end of the turn duration to the right and left to define the right-lateral flight corridor boundary and the left-lateral flight corridor boundary, respectively. An applicant shall perform the trajectory rotation in conjunction with a trajectory transformation from the X90, Y90, Z90, X90, Y90, Z90, components to E, N, U, E, N, U. The trajectory subscripts “R” and “L” from equations B15 through B26 have been discarded to reduce the number of equations. An applicant shall transform from to E,N,U,E,N,Uto E,F,G,E,F,G. An applicant shall use the equations of paragraph (d)(3)(iv)(A)–(F) to produce the EFG components necessary to estimate each instantaneous impact point.

(A) An applicant must calculate the flight angle (α)

(B) An applicant shall transform X90,Y90,Z90to E,N,U

(C) An applicant shall transform to X90, Y90, Z90to E, N, U.

(D) An applicant shall transform the launch point coordinates (φ0λ0,h0) to E0,F0,G0

(E) An applicant shall transform E,N,U to E90,F90,G90

(F) An applicant shall transform to E,N,UTO E,F,G

(v) The IIP computation implements an iterative solution to the impact point problem. An applicant shall solve equations B46 through B69, with the appropriate substitutions, up to a maximum of five times. Each repetition of the equations provides a more accurate prediction of the IIP. An applicant shall use the required IIP computations of paragraphs (d)(3)(v)(A)–(W) below. An applicant shall use this IIP computation for both the left-and right-lateral offsets. The IIP computations will result in latitude and longitude pairs for the left-lateral flight corridor boundary and the right-lateral flight corridor boundary. An applicant shall use the lines connecting the latitude and longitude pairs to describe the entire downrange area boundary of the flight corridor up to 5000 nm or a final stage impact dispersion area.

(A) An applicant shall approximate the radial distance (rk,l) from the geocenter to the IIP. The distance from the center of the Earth ellipsoid to the launch point shall be used for the initial approximation of rk,las shown in equation B46.

(B) An applicant shall compute the radial distance (r) from the geocenter to the launch vehicle position.

If r < rk,lthen the launch vehicle position is below the Earth's surface and an impact point cannot be computed. An applicant must restart the calculations with the next trajectory state vector.

(C) An applicant shall compute the inertial velocity components.

where: ω = 4.178074×10−3deg/sec

(D) An applicant shall compute the magnitude of the inertial velocity vector.

(E) An applicant shall compute the eccentricity of the trajectory ellipse multiplied by the cosine of the eccentric anomaly at epoch εc).

where: K = 1.407644×1016 ft3 /sec2

(F) An applicant shall compute the semi-major axis of the trajectory ellipse (at ).

If at0 or atthen the trajectory orbit is not elliptical, but is hyperbolic or parabolic, and an impact point cannot be computed. The launch vehicle has achieved escape velocity and the applicant may terminate computations.

(G) An applicant shall compute the eccentricity of the trajectory ellipse multiplied by the sine of the eccentric anomaly at epoch εs).

(H) An applicant shall compute the eccentricity of the trajectory ellipse squared ε2 ).

If at(1−ε)−aE] > 0 and ε ≥ 0 then the trajectory perigee height is positive and an impact point cannot be computed. The launch vehicle has achieved Earth orbit and the applicant may terminate computations.

(I) An applicant shall compute the eccentricity of the trajectory ellipse multiplied by the cosine of the eccentric anomaly at impact (εck).

(J) An applicant shall compute the eccentricity of the trajectory ellipse multiplied by the sine of the eccentric anomaly at impact (εsk).

If εsk< 0 then the trajectory orbit does not intersect the Earth's surface and an impact point cannot be computed. The launch vehicle has achieved Earth orbit and the applicant may terminate computations.

(K) An applicant shall compute the cosine of the difference between the eccentric anomaly at impact and the eccentric anomaly at epoch (Δεck).

(L) An applicant shall compute the sine of the difference between the eccentric anomaly at impact and the eccentric anomaly at epoch (Δεsk).

(M) An applicant shall compute the f-series expansion of Kepler's equations.

(N) An applicant shall compute the g-series expansion of Kepler's equations.

(O) An applicant shall compute the E,F,G coordinates at impact (Ei,Fi,Gi).

(P) An applicant shall approximate the distance from the geocenter to the launch vehicle position at impact (rk,2).

where:

aE= 20925646.3255 ft

e2 = 0.00669437999013

(Q) An applicant shall let rk+1,1= rk,2, substitute rk+1,1for rk,1in equation B55 and repeat equations B55—B64 up to four more times increasing “k” by an increment of one on each loop (e.g. kε{1, 2, 3, 4, 5}). If &verbar;r5,1−r5,2&verbar; > 1 then the iterative solution does not converge and an impact point does not meet the accuracy tolerance of plus or minus one foot. An applicant must try more iterations, or restart the calculations with the next trajectory state vector.

(R) An applicant shall compute the difference between the eccentric anomaly at impact and the eccentric anomaly at epoch (Δε).

(S) An applicant shall compute the time of flight from epoch to impact (t).

(T) An applicant shall compute the geocentric latitude at impact (φ').

Where: +90°>φ′i> −90°

(U) An applicant shall compute the geodetic latitude at impact (φ).

Where: +90°>φi> −90°

(V) An applicant shall compute the East longitude at impact (λ).

(W) If the range from the launch point to the impact point is equal to or greater than 5000 nm, an applicant shall terminate IIP computations.

(4) For a guided suborbital launch vehicle, an applicant shall define a final stage impact dispersion area as part of the flight corridor and show the area on a map using the following procedure:

(i) For equation B70 below, an applicant shall use an apogee altitude (Hap) corresponding to the highest altitude reached by the launch vehicle final stage in the applicant's launch vehicle trajectory analysis done in accordance with paragraph (b)(1)(ii).

(ii) An applicant shall define the final stage impact dispersion area by using a dispersion factor [DISP(Hap)] as shown below. An applicant shall calculate the impact dispersion radius (R) for the final launch vehicle stage. An applicant shall set R equal to the maximum apogee altitude (Hap) multiplied by the dispersion factor as shown below:

where: DISP(Hap) = 0.05

(5) An applicant shall combine the launch area and downrange area flight corridor and any final stage impact dispersion area for a guided suborbital launch vehicle.

(i) On the same map with the launch area flight corridor, an applicant shall plot the latitude and longitude positions of the left and right sides of the downrange area of the flight corridor calculated in accordance with subparagraph (d)(3).

(ii) An applicant shall connect the latitude and longitude positions of the left side of the downrange area of the flight corridor sequentially starting with the last IIP calculated on the left side and ending with the first IIP calculated on the left side. An applicant shall repeat this procedure for the right side.

(iii) An applicant shall connect the left sides of the launch area and downrange portions of the flight corridor. An applicant shall repeat this procedure for the right side.

(iv) An applicant shall plot the overflight exclusion zone defined in subparagraph (c)(7).

(v) An applicant shall draw any impact dispersion area on the downrange map with the center of the impact dispersion area on the launch vehicle final stage impact point obtained from the applicant's launch vehicle trajectory analysis done in accordance with subparagraph (b)(1)(ii).

(e) Evaluate the Launch Site

(1) An applicant shall evaluate the flight corridor for the presence of populated areas. If no populated area is located within the flight corridor, then no additional steps are necessary.

(2) If a populated area is located in an overflight exclusion zone, an applicant may modify its proposal or demonstrate that there are times when no people are present or that the applicant has an agreement in place to evacuate the public from the overflight exclusion zone during a launch.

(3) If a populated area is located within the flight corridor, an applicant may modify its proposal or complete an overflight risk analysis in accordance with appendix C.

Appendix C to Part 420—Risk Analysis

(a) Introduction

(1) This appendix provides a method for an applicant to estimate the expected casualty (Ec) for a launch of a guided expendable launch vehicle using a flight corridor generated either by appendix A or appendix B. This appendix also provides an applicant options to simplify the method where population at risk is minimal.

(2) An applicant shall perform a risk analysis when a populated area is located within a flight corridor defined by either appendix A or appendix B. If the estimated expected casualty exceeds 30×10−6, an applicant may either modify its proposal, or if the flight corridor used was generated by the appendix A method, use the appendix B method to narrow the flight corridor and then redo the overflight risk analysis pursuant to this appendix. If the estimated expected casualty still exceeds 30×10−6the FAA will not approve the location of the proposed launch point.

(b) Data Requirements

(1) An applicant shall obtain the data specified by subparagraphs (b)(2) and (3) and summarized in table C–1. Table C–1 provides sources where an applicant may obtain data acceptable to the FAA. An applicant must also employ the flight corridor information from appendix A or B, including flight azimuth and, for an appendix B flight corridor, trajectory information.

(2) Population data. Total population (N) and the total landmass area within a populated area (A) are required. Population data up to and including 100 nm from the launch point are required at the U.S. census block group level. Population data downrange from 100 nm are required at no greater than 1° × 1° latitude/longitude grid coordinates.

(3) Launch vehicle data. Launch vehicle data consist of the launch vehicle failure probability (Pf), the launch vehicle effective casualty area (Ac), trajectory position data, and the overflight dwell time (td). The failure probability is a constant (Pf= 0.10) for a guided orbital or suborbital expendable launch vehicle. Table C–3 provides effective casualty area data based on IIP range. Trajectory position information is provided from distance computations provided by this appendix for an appendix A flight corridor, or trajectory data used in appendix B for an appendix B flight corridor. The dwell time (td) may be determined from trajectory data produced when creating an appendix B flight corridor.

Table C–1—Overflight Analysis Data Requirements

Data category

Data item

Data source

Population Data

Total population within a populated area (N)

Within 100 nm of the launch point: U.S. census data at the census block-group level. Downrange from 100 nm beyond the launch point, world population data are available from:

  

Total landmass area within the populated area (A)

Carbon Dioxide Information Analysis Center (CDIAC) Oak Ridge National Laboratory
Database—Global Population Distribution (1990), Terrestrial Area and Country Name Information on a One by One Degree Grid Cell Basis (DB1016 (8–1996)

Launch Vehicle Data

Failure probability—Pf= 0.10

N/A.

  

Effective casualty area (Ac)

See table C–3.

  

Overflight dwell time

Determined by range from the launch point or trajectory used by applicant.

  

Nominal trajectory data (for an appendix B flight corridor only)

See appendix B, table B–1.

(c) Estimating Corridor Casualty Expectation

(1) A corridor casualty expectation [EC(Corridor)] estimate is the sum of the expected casualty measurement of each populated area inside a flight corridor.

(2) An applicant shall identify and locate each populated area in the proposed flight corridor.

(3) An applicant shall determine the probability of impact in each populated area using the procedures in subparagraphs (5) or (6) of this paragraph. Figures C–1 and C–2 illustrate an area considered for probability of impact (Pi) computations by the dashed-lined box around the populated area within a flight corridor, and figure C–3 illustrates a populated area in a final stage impact dispersion area. An applicant shall then estimate the ECfor each populated area in accordance with subparagraphs (7) and (8) of this paragraph.

(4) The Picomputations do not directly account for populated areas whose areas are bisected by an appendix A flight corridor centerline or an appendix B nominal trajectory ground trace. Accordingly, an applicant must evaluate Pifor each of the bi-sections as two separate populated areas, as shown in figure C–4, which shows one bi-section to the left of an appendix A flight corridor's centerline and one to its right.

(5) Probability of impact (Pi) computations for a populated area in an appendix A flight corridor. An applicant shall compute Pifor each populated area using the following method:

(i) For the launch and downrange areas, but not for a final stage impact dispersion area for a guided suborbital launch vehicle, an applicant shall compute Pifor each populated area using the following equation:

where:

x1, x2= closest and farthest downrange distance (nm) along the flight corridor centerline to the populated area (see figure C–1)

y1, y2= closest and farthest cross range distance (nm) to the populated area measured from the flight corridor centerline (see figure C–1)

σy= one-third of the cross range distance from the centerline to the flight corridor boundary (see figure C–1)

exp = exponential function (ex )

Pf= probability of failure = 0.10

R= IIP range rate (nm/sec) (see table C–2)

C = 643 seconds (constant)

Table C–2—IIP Range Rate vs. IIP Range

IIP range
(nm)

IIP range rate
(nm/s)

0–75

0.75

76–300

1.73

301–900

4.25

901–1700

8.85

1701–2600

19.75

2601–3500

42.45

3501–4500

84.85

4501–5250

154.95

(ii) For each populated area within a final stage impact dispersion area, an applicant shall compute Piusing the following method:

(A) An applicant shall estimate the probability of final stage impact in the x and y sectors of each populated area within the final stage impact dispersion area using equations C2 and C3:

where:

X1, X2= closest and farthest downrange distance, measured along the flight corridor centerline, measured from the nominal impact point to the populated area (see figure C–3)

σx= one-third of the impact dispersion radius (see figure C–3)

exp = exponential function (ex )

where:

y1, y2= closest and farthest cross range distance to the populated area measured from the flight corridor centerline (see figure C–3)

σy= one-third of the impact dispersion radius (see figure C–3)

exp = exponential function (ex )

(B) If a populated area intersects the impact dispersion area boundary so that the x2or y2distance would otherwise extend outside the impact dispersion area, the x2or y2distance should be set equal to the impact dispersion area radius. The x2distance for populated area A in figure C–3 is an example. If a populated area intersects the flight azimuth, an applicant shall solve equation C3 by obtaining the solution in two parts. An applicant shall determine, first, the probability between y1= 0 and y2= a and, second, the probability between y1= 0 and y2= b, as depicted in figure C–4. The probability Pyis then equal to the sum of the probabilities of the two parts. If a populated area intersects the line that is normal to the flight azimuth on the impact point, an applicant shall solve equation C2 by obtaining the solution in two parts in the same manner as with the values of x.

(C) An applicant shall calculate the probability of impact for each populated area using equation C4 below:

where: Ps= 1−Pf= 0.90

View or download PDF

(6) Probability of impact computations for a populated area in an appendix B flight corridor. An applicant shall compute Piusing the following method:

(i) For the launch and downrange areas, but not for a final stage impact dispersion area for a guided suborbital launch vehicle, an applicant shall compute Pifor each populated area using the following equation:

where:

y1,y2= closest and farthest cross range distance (nm) to a populated area measured from the nominal trajectory IIP ground trace (see figure C–2)

σy= one-third of the cross range distance (nm) from nominal trajectory to the flight corridor boundary (see figure C–2)

exp = exponential function (ex )

Pf= probability of failure = 0.10

t = flight time from lift-off to orbital insertion (seconds)

td= overflight dwell time (seconds)

(ii) For each populated area within a final stage impact dispersion area, an applicant shall compute Piusing the following method:

(A) An applicant shall estimate the probability of final stage impact in the x and y sectors of each populated area within the final stage impact dispersion area using equations C6 and C7:

where:

x1, x2= closest and farthest downrange distance, measured along nominal trajectory IIP ground trace, measured from the nominal impact point to the populated area (see figure C–3)

σx= one-third of the impact dispersion radius (see figure C–3)

exp = exponential function (ex )

where:

y1, y2= closest and farthest cross range distance to the populated area measured from the nominal trajectory IIP ground trace (see figure C–3)

σy= one-third of the impact dispersion radius (see figure C–3)

exp = exponential function (ex )

(B) If a populated area intersects the impact dispersion area boundary so that the x2or y2distance would otherwise extend outside the impact dispersion area, the x2or y2distance should be set equal to the impact dispersion area radius. The x2distance for populated area A in figure C–3 is an example. If a populated area intersects the flight azimuth, an applicant shall solve equation C7 by obtaining the solution in two parts. An applicant shall determine, first, the probability between y1= 0 and y2= a and, second, the probability between y1= 0 and y2= b, as depicted in figure C–4. The probability Pyis then equal to the sum of the probabilities of the two parts. If a populated area intersects the line that is normal to the flight azimuth on the impact point, an applicant shall solve equation C6 by obtaining the solution in two parts in a similar manner with the values of x.

(C) An applicant shall calculate the probability of impact for each populated area using equation C8 below:

where: Ps= 1−Pf= 0.90

View or download PDF

View or download PDF

(7) Using the Picalculated in either subparagraph (c)(5) or (6) of this paragraph, an applicant shall calculate the casualty expectancy for each populated area within the flight corridor in accordance with equation C9. Eckis the casualty expectancy for a given populated area as shown in equation C9, where individual populated areas are designated with the subscript “k”.

where:

Ac= casualty area (from table C–3)

Ak= populated area

Nk= population in Ak

Table C–3—Effective Casualty Area (Miles2) as a Function of IIP Range (NM)

Orbital launch vehicles

Suborbital launch
vehicles

Instantaneous impact point range (nautical miles)

Small

Medium

Medium large

Large

Guided

0–49

3.14 x 10−2

1.28 x 10−1

4.71 x 10−2

8.59 x 10−2

4.3 x 10−1

50–1749

2.47 x 10−2

2.98 x 10−2

9.82 x 10−3

2.45 x 10−2

1.3 x 10−1

1750–5000

3.01 x 10−4

5.52 x 10−3

7.82 x 10−3

1.14 x 10−2

3.59 x 10−6

(8) An applicant shall estimate the total corridor risk using the following summation of risk:

(9) Alternative casualty expectancy (EC) analyses. An applicant may employ specified variations to the analysis defined by subparagraphs (c)(1)–(8). Those variations are identified in subparagraphs (9)(i) through (vi) of this paragraph. Subparagraphs (i) through (iv) permit an applicant to make conservative assumptions that would lead to an overestimation of the corridor ECcompared with the analysis defined by subparagraphs (c)(1)–(8). In subparagraphs (v) and (vi), an applicant that would otherwise fail the analysis prescribed by subparagraphs (c)(1)–(8) may avoid (c)(1)–(8)'s overestimation of the probability of impact in each populated area. An applicant employing a variation shall identify the variation used, show and discuss the specific assumptions made to modify the analysis defined by subparagraphs (c)(1)–(8), and demonstrate how each assumption leads to overestimation of the corridor ECcompared with the analysis defined by subparagraphs (c)(1)–(c)(8).

(i) Assume that Pxand Pyhave a value of 1.0 for all populated areas.

(ii) Combine populated areas into one or more larger populated areas, and use a population density for the combined area or areas equal to the most densely populated area.

(iii) For any given populated area, assume Pyhas a value of one.

(iv) For any given Pxsector (an area spanning the width of a flight corridor and bounded by two time points on the trajectory IIP ground trace) assume Pyhas a value of one and use a population density for the sector equal to the most densely populated area.

(v) For a given populated area, divide the populated area into smaller rectangles, determine Pifor each individual rectangle, and sum the individual impact probabilities to determine Pifor the entire populated area.

(vi) For a given populated area, use the ratio of the populated area to the area of the Pirectangle from the subparagraph (c)(1)–(8) analysis.

(d) Evaluation of Results

(1) If the estimated expected casualty does not exceed 30×10−6, the FAA will approve the launch site location.

(2) If the estimated expected casualty exceeds 30×10−6, then an applicant may either modify its proposal, or, if the flight corridor used was generated by the appendix A method, use the appendix B method to narrow the flight corridor and then perform another appendix C risk analysis.

[Docket No. FAA–1999–5833, 65 FR 62861, Oct. 19, 2000, as amended by Amdt. 420–2, 71 FR 51972, Aug. 31, 2006]

Appendix D to Part 420—Impact Dispersion Areas and Casualty Expectancy Estimate for an Unguided Suborbital Launch Vehicle

(a) Introduction

(1) This appendix provides a method for determining the acceptability of the location of a launch point from which an unguided suborbital launch vehicle would be launched. The appendix describes how to define an overflight exclusion zone and impact dispersion areas, and how to evaluate whether the public risk presented by the launch of an unguided suborbital launch vehicle remains at acceptable levels.

(2) An applicant shall base its analysis on an unguided suborbital launch vehicle whose final launch vehicle stage apogee represents the intended use of the launch point.

(3) An applicant shall use the apogee of each stage of an existing unguided suborbital launch vehicle with a final launch vehicle stage apogee equal to the one proposed, and calculate each impact range and dispersion area using the equations provided.

(4) This appendix also provides a method for performing an impact risk analysis that estimates the expected casualty (Ec) within each impact dispersion area. This appendix provides an applicant options to simplify the method where population at risk is minimal.

(5) If the estimated Ecis less than or equal to 30×10−6,the FAA will approve the launch point for unguided suborbital launch vehicles. If the estimated Ecexceeds 30×10−6,the proposed launch point will fail the launch site location review.

(b) Data Requirements

(1) An applicant shall employ the apogee of each stage of an existing unguided suborbital launch vehicle whose final stage apogee represents the maximum altitude to be reached by unguided suborbital launch vehicles launched from the launch point. The apogee shall be obtained from one or more actual flights of an unguided suborbital launch vehicle launched at an 84 degree elevation.

(2) An applicant shall satisfy the map and plotting data requirements of appendix A, paragraph (b).

(3) Population data. An applicant shall use total population (N) and the total landmass area within a populated area (A) for all populated areas within an impact dispersion area. Population data up to and including 100 nm from the launch point are required at the U.S. census block group level. Population data downrange from 100 nm are required at no greater than 1° × 1° latitude/longitude grid coordinates.

(c) Overflight Exclusion Zone and Impact Dispersion Areas

(1) An applicant shall choose a flight azimuth from a launch point.

(2) An applicant shall define an overflight exclusion zone as a circle with a radius of 1600 feet centered on the launch point.

(3) An applicant shall define an impact dispersion area for each stage of the suborbital launch vehicle chosen in accordance with subparagraph (b)(1) in accordance with the following:

(i) An applicant shall calculate the impact range for the final launch vehicle stage (Dn). An applicant shall set Dnequal to the last stage apogee altitude (Hn) multiplied by an impact range factor [IP(Hn)] in accordance with the following:

where:

IP(Hn) = 0.4 for an apogee less than 100 km, and

IP(Hn) = 0.7 for an apogee of 100 km or greater.

(ii) An applicant shall calculate the impact range for each intermediate stage (Di), where i ε {1, 2, 3, . . . (n− 1)}, and where n is the total number of launch vehicle stages. Using the apogee altitude (Hi) of each intermediate stage, an applicant shall use equation D1 to compute the impact range of each stage by substituting Hifor Hn. An applicant shall use the impact range factors provided by equation D1.

(iii) An applicant shall calculate the impact dispersion radius for the final launch vehicle stage (Rn). An applicant shall set Rnequal to the last stage apogee altitude (Hn) multiplied by an impact dispersion factor [DISP(Hn)] in accordance with the following:

where:

DISP(Hn) = 0.4 for an apogee less than 100 km, and

DISP(Hn) = 0.7 for an apogee of 100 km or greater.

(iv) An applicant shall calculate the impact dispersion radius for each intermediate stage (Ri), where i ε {1, 2, 3, . . . (n− 1)} and where n is the total number of launch vehicle stages. Using the apogee altitude (Hi) of each intermediate stage, an applicant shall use equation D2 to compute an impact dispersion radius of each stage by substituting Hifor Hn. An applicant shall use the dispersion factors provided by equation D2.

(4) An applicant shall display an overflight exclusion zone, each intermediate and final stage impact point (Dithrough Dn), and each impact dispersion area for the intermediate and final launch vehicle stages on maps in accordance with paragraph (b)(2).

View or download PDF

(d) Evaluate the Overflight Exclusion Zone and Impact Dispersion Areas

(1) An applicant shall evaluate the overflight exclusion zone and each impact dispersion area for the presence of any populated areas. If an applicant determines that no populated area is located within the overflight exclusion zone or any impact dispersion area, then no additional steps are necessary.

(2) If a populated area is located in an overflight exclusion zone, an applicant may modify its proposal or demonstrate that there are times when no people are present or that the applicant has an agreement in place to evacuate the public from the overflight exclusion zone during a launch.

(3) If a populated area is located within any impact dispersion area, an applicant may modify its proposal and define a new overflight exclusion zone and new impact dispersion areas, or perform an impact risk analysis in accordance with paragraph (e).

(e) Impact Risk Analysis

(1) An applicant shall estimate the expected average number of casualties, EC, within the impact dispersion areas according to the following method:

(i) An applicant shall calculate the Ecby summing the impact risk for the impact dispersion areas of the final launch vehicle stage and all intermediate stages. An applicant shall estimate Ecfor the impact dispersion area of each stage by using equations D3 through D7 for each of the populated areas located within the impact dispersion areas.

(ii) An applicant shall estimate the probability of impacting inside the X and Y sectors of each populated area within each impact dispersion area using equations D3 and D4:

where:

x1, x2= closest and farthest downrange distance to populated area (see figure D–2)

σx= one-third of the impact dispersion radius (see figure D–2)

exp = exponential function (ex )

where:

y1, y2= closest and farthest cross range distance to the populated area (see figure D–2)

σy= one-third of the impact dispersion radius (see figure D–2)

exp = exponential function (ex )

View or download PDF

(iii) If a populated area intersects the impact dispersion area boundary so that the x2or y2distance would otherwise extend outside the impact dispersion area, the x2or y2distance should be set equal to the impact dispersion area radius. The x2distance for populated area A in figure D–2 is an example.

(iv) If a populated area intersects the flight azimuth, an applicant shall solve equation D4 by obtaining the solution in two parts. An applicant shall determine, first, the probability between y1= 0 and y2= a and, second, the probability between y1= 0 and y2= b, as depicted in figure D–3. The probability Pyis then equal to the sum of the probabilities of the two parts. If a populated area intersects the line that is normal to the flight azimuth on the impact point, an applicant shall solve equation D3 by obtaining the solution in two parts in the same manner as with the values of x.

View or download PDF

(v) An applicant shall calculate the probability of impact (Pi) for each populated area using the following equation:

where:

Ps= probability of success = 0.98

(vi) An applicant shall calculate the casualty expectancy for each populated area. Eckis the casualty expectancy for a given populated area as shown in equation D6, where individual populated areas are designated with the subscript “k”.

where:

k { {1, 2, 3, . . . , n}

Ac= casualty area (from table D–1)

Ak= populated area

Nk= population in Ak

Table D–1—Effective Casualty Area (Ac) vs. Impact Range

Impact range (nm)

Effective casualty area
(miles
2)

0–4

9×10−3

5–49

9×10−3

50–1,749

1.1×10−5

1,750–4,999

3.6×10−6

5,000–more

3.6×10−6

(vii) An applicant shall estimate the total risk using the following summation of risk:

(viii) Alternative casualty expectancy (Ec) analysis. An applicant may employ specified variations to the analysis defined by subparagraphs (d)(1)(i)–(vii). Those variations are identified in subparagraphs (viii)(A) through (F) of this paragraph. Subparagraphs (A) through (D) permit an applicant to make conservative assumptions that would lead to an overestimation of Eccompared with the analysis defined by subparagraphs (d)(1)(i)–(vii). In subparagraphs (E) and (F), an applicant that would otherwise fail the analysis prescribed by subparagraphs (d)(1)(i)–(vii) may avoid (d)(1)(i)–(vii)'s overestimation of the probability of impact in each populated area. An applicant employing a variation shall identify the variation used, show and discuss the specific assumptions made to modify the analysis defined by subparagraphs (d)(1)(i)–(vii), and demonstrate how each assumption leads to overestimation of the corridor Eccompared with the analysis defined by subparagraphs (d)(1)(i)–(vii).

(A) Assume that Pxand Pyhave a value of 1.0 for all populated areas.

(B) Combine populated areas into one or more larger populated areas, and use a population density for the combined area or areas equal to the most densely populated area.

(C) For any given populated area, assume Pxhas a value of one.

(D) For any given populated area, assume Pyhas a value of one.

(E) For a given populated area, divide the populated area into smaller rectangles, determine Pifor each individual rectangle, and sum the individual impact probabilities to determine Pifor the entire populated area.

(F) For a given populated area, use the ratio of the populated area to the area of the Pirectangle used in the subparagraph (d)(1)(i)–(vii) analysis.

(2) If the estimated expected casualty does not exceed 30 × 10−6, the FAA will approve the launch point.

(3) If the estimated expected casualty exceeds 30 × 10−6, then an applicant may modify its proposal and then repeat the impact risk analysis in accordance with this appendix D. If no set of impact dispersion areas exist which satisfy the FAA's risk threshold, the applicant's proposed launch site will fail the launch site location review.

Appendix E to Part 420—Tables for Explosive Site Plan

Table E–1—Quantity Distance Requirements for Solid Explosives

Quantity (lbs.) (over)

Quantity (lbs.) (not over)

Public area distance (ft.) for division 1.1

Public area distance (ft.) for division 1.3

Intraline distance (ft.) for division 1.1

Intraline distance (ft.) for division 1.3

0

1,000

1,250

75

D = 18 W1/3

50

1,000

5,000


115


75

5,000

10,000


150


100

10,000

20,000


190


125

20,000

30,000


215


145

30,000

40,000

D = 40 W1/3

235


155

40,000

50,000


250


165

50,000

60,000


260


175

60,000

70,000


270


185

70,000

80,000


280


190

80,000

90,000


195


195

90,000

100,000


300


200

100,000

200,000

D=2.42 W0.577

375


250

200,000

250,000


413


275

250,000

300,000

D = 50 W1/3

450


300

300,000

400,000


525


350

400,000

500,000


600


400

500,000

1,000,000


800


500

Greater than 1,000,000


D = 50 W1/3

D = 8 W1/3

D = 5 W1/3


D” equals the minimum separation distance in feet.

W” equals the NEW of propellant.

Table E–2—Liquid Propellant Explosive Equivalents

Propellant combinations

Explosive equivalent

LO2/LH2

The larger of: 8W2/3where W is the weight of LO2/LH2, or
14% of W.

LO2/LH2+ LO2/RP–1

Sum of (20% for LO2/RP–1) + the larger of: 8W2/3where W is the weight of LO2/LH2, or
14% of W.

LO2/R–1

20% of W up to 500,000 pounds plus 10% of W over 500,000 pounds, where W is the weight of LO2RP–1.

N2O4/N2H4(or UDMH or UDMH/N2H4Mixture)

10% of W, where W is the weight of the propellant.

Table E–3—Propellant Hazard and Compatibility Groupings and Factors To Be Used When Converting Gallons of Propellant Into Pounds

Propellant

Hazard
group

Compatibility
group

Pounds/
gallon

At temperature °F

Hydrogen Peroxide

II

A

11.6

68

Hydrazine

III

C

8.4

68

Liquid Hydrogen

III

C

0.59

−423

Liquid Oxygen

II

A

9.5

−297

Nitrogen Tetroxide

I

A

12.1

68

RP–1

I

C

6.8

68

UDMH

III

C

6.6

68

UDMH/Hydrazine

III

C

7.5

68

Table E–4—Hazard Group I

Pounds of propellant

Public area and
incompatible

Intragroup and
compatible

Pounds of propellant

Public area and
incompatible

Intragroup and
compatible

Over

Not over

Distance in feet

Distance in feet

Over

Not over

Distance in feet

Distance in feet

0

100

30

25

5,000

6,000

80

60

100

200

35

30

6,000

7,000

85

65

200

300

40

35

7,000

8,000

85

65

300

400

45

35

8,000

9,000

90

70

400

500

50

40

9,000

10,000

90

70

500

600

50

40

10,000

15,000

95

75

600

700

55

40

15,000

20,000

100

80

700

800

55

45

20,000

25,000

105

80

800

900

60

45

25,000

30,000

110

85

900

1,000

60

45

30,000

35,000

110

85

1,000

2,000

65

50

35,000

40,000

115

85

2,000

3,000

70

55

40,000

45,000

120

90

3,000

4,000

75

55

45,000

50,000

120

90

4,000

5,000

80

60

50,000

60,000

125

95

60,000

70,000

130

95

500,000

600,000

185

140

70,000

80,000

130

100

600,000

700,000

190

145

80,000

90,000

135

100

700,000

800,000

195

150

90,000

100,000

135

105

800,000

900,000

200

150

100,000

125,000

140

110

900,000

1,000,000

205

155

125,000

150,000

145

110

1,000,000

2,000,000

235

175

150,000

175,000

150

115

2,000,000

3,000,000

255

190

175,000

200,000

155

115

3,000,000

4,000,000

265

200

200,000

250,000

160

120

4,000,000

5,000,000

275

210

250,000

300,000

165

125

5,000,000

6,000,000

285

215

300,000

350,000

170

130

6,000,000

7,000,000

295

220

350,000

400,000

175

130

7,000,000

8,000,000

300

225

400,000

450,000

180

135

8,000,000

9,000,000

305

230

450,000

500,000

180

135

9,000,000

10,000,000

310

235

Table E–5—Hazard Group II

Pounds of propellant

Public area and
incompatible

Intragroup and
compatible

Pounds of propellant

Public area and
incompatible

Intragroup and
compatible

Over

Not over

Distance in feet

Distance in feet

Over

Not over

Distance in feet

Distance in feet

0

100

60

30

50,000

60,000

250

125

100

200

75

35

60,000

70,000

255

130

200

300

85

40

70,000

80,000

260

130

300

400

90

45

80,000

90,000

265

135

400

500

100

50

90,000

100,000

270

135

500

600

100

50

100,000

125,000

285

140

600

700

105

55

125,000

150,000

295

145

700

800

110

55

150,000

175,000

305

150

800

900

115

60

175,000

200,000

310

155

900

1,000

120

60

200,000

250,000

320

160

1,000

2,000

130

65

250,000

300,000

330

165

2,000

3,000

145

70

300,000

350,000

340

170

3,000

4,000

150

75

350,000

400,000

350

175

4,000

5,000

160

80

400,000

450,000

355

180

5,000

6,000

165

80

450,000

500,000

360

180

6,000

7,000

170

85

500,000

600,000

375

185

7,000

8,000

175

85

600,000

700,000

385

190

8,000

9,000

175

90

700,000

800,000

395

195

9,000

10,000

180

90

800,000

900,000

405

200

10,000

15,000

195

95

900,000

1,000,000

410

205

15,000

20,000

205

100

1,000,000

2,000,000

470

235

20,000

25,000

215

105

2,000,000

3,000,000

505

255

25,000

30,000

220

110

3,000,000

4,000,000

535

265

30,000

35,000

225

110

4,000,000

5,000,000

555

275

35,000

40,000

230

115

5,000,000

6,000,000

570

285

40,000

45,000

235

120

6,000,000

7,000,000

585

295

45,000

50,000

240

120

7,000,000

8,000,000

600

300

  




8,000,000

9,000,000

610

305

  




9,000,000

10,000,000

620

310

Table E–6—Hazard Group III

Pounds of propellant

Public area and incompatible

Intragroup and compatible

Pounds of propellant

Public area and incompatible

Intragroup and compatible

Over

Not over

Distance in feet

Distance in feet

Over

Not over

Distance in feet

Distance in feet

0

100

600

30

60,000

70,000

1,200

130

100

200

600

35

70,000

80,000

1,200

130

200

300

600

40

80,000

90,000

1,200

135

300

400

600

45

90,000

100,000

1,200

135

400

500

600

50

100,000

125,000

1,800

140

500

600

600

50

125,000

150,000

1,800

145

600

700

600

55

150,000

175,000

1,800

150

700

800

600

55

175,000

200,000

1,800

155

800

900

600

60

200,000

250,000

1,800

160

900

1,000

600

60

250,000

300,000

1,800

165

1,000

2,000

600

65

300,000

350,000

1,800

170

2,000

3,000

600

70

350,000

400,000

1,800

175

3,000

4,000

600

75

400,000

450,000

1,800

180

4,000

5,000

600

80

450,000

500,000

1,800

180

5,000

6,000

600

80

500,000

600,000

1,800

185

6,000

7,000

600

85

600,000

700,000

1,800

190

7,000

8,000

600

85

700,000

800,000

1,800

195

8,000

9,000

600

90

800,000

900,000

1,800

200

9,000

10,000

600

90

900,000

1,000,000

1,800

205

10,000

15,000

1,200

95

1,000,000

2,000,000

1,800

235

15,000

20,000

1,200

100

2,000,000

3,000,000

1,800

255

20,000

25,000

1,200

105

3,000,000

4,000,000

1,800

265

25,000

30,000

1,200

110

4,000,000

5,000,000

1,800

275

30,000

35,000

1,200

110

5,000,000

6,000,000

1,800

285

35,000

40,000

1,200

115

6,000,000

7,000,000

1,800

295

40,000

45,000

1,200

120

7,000,000

8,000,000

1,800

300

45,000

50,000

1,200

120

8,000,000

9,000,000

1,800

305

50,000

60,000

1,200

125

9,000,000

10,000,000

1,800

310

Table E–7—Distances When Explosive Equivalents Apply

TNT equivalent weight of propellants

Distance in feet

Not over

To public area

Intraline
unbarricaded

100

1250

80

200

1250

100

300

1250

120

400

1250

130

500

1250

140

600

1250

150

700

1250

160

800

1250

170

900

1250

180

1,000

1250

190

1,500

1250

210

2,000

1250

230

3,000

1250

260

4,000

1250

280

5,000

1250

300

6,000

1250

320

7,000

1250

340

8,000

1250

360

9,000

1250

380

10,000

1250

400

15,000

1250

450

20,000

1250

490

25,000

1,250

530

30,000

1,250

560

35,000

1,310

590

40,000

1,370

620

45,000

1,425

640

50,000

1,475

660

55,000

1,520

680

60,000

1,565

700

65,000

1,610

720

70,000

1,650

740

75,000

1,685

770

80,000

1,725

780

85,000

1,760

790

90,000

1,795

800

95,000

1,825

820

100,000

1,855

830

125,000

2,115

900

150,000

2,350

950

175,000

2,565

1,000

200,000

2,770

1,050


Title 14: Aeronautics and Space

PART 433—LICENSE TO OPERATE A REENTRY SITE

Authority:   49 U.S.C. 70101–70121.

Source:   Docket No. FAA–1999–5535, 65 FR 56665, Sept. 19, 2000, unless otherwise noted.

§ 433.1   General.

The FAA evaluates on an individual basis an applicant's proposal to operate a reentry site.

§ 433.3   Issuance of a license to operate a reentry site.

(a) The FAA issues a license to operate a reentry site when it determines that an applicant's operation of the reentry site does not jeopardize public health and safety, the safety of property, U.S. national security or foreign policy interests, or international obligations of the United States.

(b) A license to operate a reentry site authorizes a licensee to operate a reentry site in accordance with the representations contained in the licensee's application, subject to the licensee's compliance with terms and conditions contained in any license order accompanying the license.

§ 433.5   Operational restrictions on a reentry site.

A license to operate a reentry site authorizes the licensee to offer use of the site to support reentry of a reentry vehicle for which the three-sigma footprint of the vehicle upon reentry is wholly contained within the site.

§ 433.7   Environmental.

An applicant shall provide the FAA with information for the FAA to analyze the environmental impacts associated with proposed operation of a reentry site. The information provided by an applicant must be sufficient to enable the FAA to comply with the requirements of the National Environmental Policy Act, 42 U.S.C. 4321 et seq. (NEPA), the Council on Environmental Quality Regulations for Implementing the Procedural Provisions of NEPA, 40 CFR Parts 1500–1508, and the FAA's Procedures for Consideration Environmental Impacts, FAA Order 1050.1D.

§ 433.9   Environmental information.

An applicant shall submit environmental information concerning a proposed reentry site not covered by existing environmental documentation for purposes of assessing reentry impacts.

File Typeapplication/msword
File TitleTitle 14: Aeronautics and Space
AuthorTaylor CTR Dahl
Last Modified ByTaylor CTR Dahl
File Modified2011-08-31
File Created2011-08-31

© 2026 OMB.report | Privacy Policy