1220_0163_Supporting Statement Part B_2025-2027

1220_0163_Supporting Statement Part B_2025-2027.docx

Consumer Price Index Housing Survey

OMB: 1220-0163

Document [docx]
Download: docx | pdf

Consumer Price Index Housing Survey

OMB Number 1220-0163

OMB Expiration Date: June 30, 2025




SUPPORTING STATEMENT FOR
Consumer Price Index Housing Survey


OMB Control No. 1220-0163



B. COLLECTION OF INFORMATION EMPLOYING STATISTICAL METHODS


The CPI Housing Survey uses a sample of rental housing units selected from 75 geographic areas nationwide. The 75 areas are the Primary Sampling Units (PSUs) of the survey and individual rental units are drawn randomly from “segments” – smaller subdivisions of the PSUs composed of one or more Census blocks. Probability of selection is based on 2010 Census data and American Community Survey (ACS) block group expenditure data. Technical details of the sample design and estimation procedures of the Consumer Price Index are provided in the CPI Handbook of Methods, as well as “The 2018 revision of the Consumer Price Index geographic sample” by Paben, Johnson, and Schilp from the October 2016 Monthly Labor Review. Between the years 2026 and 2029, BLS will begin work in 14 new PSUs, and work in 14 existing PSUs will be discontinued in preparation for the 2028 geographic revision. The number of PSUs used in the estimation of the CPI will remain at 75.



  1. Describe (including a numerical estimate) the potential respondent universe and any sampling or other respondent selection methods to be used. Data on the number of entities (e.g., establishments, State and local government units, households, or persons) in the universe covered by the collection and in the corresponding sample are to be provided in tabular form for the universe as a whole and for each of the strata in the proposed sample. Indicate expected response rates for the collection as a whole. If the collection had been conducted previously, include the actual response rate achieved during the last collection.


The universe for the CPI Housing Survey consists of all urban rental-housing units used as primary residences. The number of year-round rental-housing units in the universe is approximately 47 million units.* These units are estimated as follows:


Renters 44,452,000

Vacant 3,118,000


* Source: Table 7. Annual Estimates of the Housing Inventory 1965 to Present: 2023, Housing Vacancies and Homeownership (CPS/HVS), U. S. Census Bureau.



The CPI geographic area sample classifies areas into four Census regions (Northeast, Midwest, South, and West). The design also classifies these areas into nine Census divisions: New England, Middle Atlantic, East North Central, West North Central, South Atlantic, East South Central, West South Central, Mountain, and Pacific. Primary sampling units (PSUs) are classified into one of two population-size classes—self-representing or non-self-representing. The PSU area definitions are based on Office of Management and Budget’s (OMB) Core-Based Statistical Areas (CBSAs) definitions. There are two types of CBSAs: metropolitan and micropolitan. A metropolitan CBSA has an urban core of more than 50,000 people, and a micropolitan CBSA has an urban core of 10,000 to 50,000 people. CBSAs may cross state borders. In the geographic area sample design, the number of sampled PSUs in the CPI is 75.


The Rent index measures changes in rents paid by tenants and received by landlords adjusted for changes in quality. The Owners’ Equivalent Rent (OER) index measures the change in the implicit rent for owner-occupied housing. The implicit rent is the amount the homeowner would pay to rent or earn from renting his/her home in a competitive market. It is for the construction of these indexes that a sample is selected and information gathered. The current sample, primarily based on the 2010 Census, uses approximately 8,600 segments with five units per segment, or 43,000 rental units in 75 PSUs.


In 2024, 56.1% of attempted units reported rent; 29.7% of units did not respond; 4.0% of units were reported as vacant; 10.2% of units were not used in estimation*.

* Source: 2024 Response Rates for the Consumer Price Index, Bureau of Labor Statistics. https://www.bls.gov/cpi/tables/response-rates/home.htm.


2. Describe the procedures for the collection of information including:


  • Statistical methodology for stratification and sample selection,

  • Estimation procedure,

  • Degree of accuracy needed for the purpose described in the justification,

  • Unusual problems requiring specialized sampling procedures, and

  • Any use of periodic (less frequent than annual) data collection cycles to reduce burden.


The screen images for the computer-assisted data collection (CADC) application are found in Attachment II.


2. a. Description of Sampling Methodology


A multi-stage sampling process is used in the CPI. For Housing the main steps are:
(1) the sampling of geographic areas (segments);
(2) configuration and weighting of selected segments;
(3) the purchase of coded addresses for selected segments;
(4) the elimination of addresses with a very high probability of being owners, addresses that can be identified as commercial and post office boxes, and ineligible public housing units;

(5) the sampling of specific addresses in the segments;
(6) the telephone/personal visit screening and initiation of eligible addresses from which rent prices will be followed over time.


In housing, about 1/6 of the sample rotates each year, with rotation occurring each month.


2. b. Description of Estimation Methodology


The ultimate output of the CPI Housing Survey are geographic-level Rent and OER Indexes. The indexes may be of interest in and of themselves, but importantly also feed into all national Consumer Price Indexes published by the BLS. The published CPI for the Rent and Owners’ Equivalent Rent index uses a modified Laspeyres estimator.

The Laspeyres index, , where t is the comparison period for which the index will be calculated and 0 the reference period, can be denoted by:


where:
Pi,t is the price for the ith item in comparison period t,
Pi,0 is the price for the ith item in reference period 0,
Qi,0 is the quantity of the ith item consumed in the reference period 0.


The indexes for the Rent and OER strata are specifically calculated as follows:


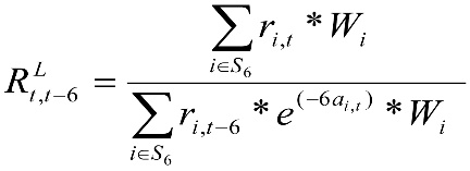
Let S6 be the set of rental units interviewed in the Housing survey in time t in a market basket with valid comparable rents in both time t and t-6. Vacant units that were previously renter occupied are also included in S6 and have current (t) and previous (t-6) month's rents assigned using a vacancy imputation process. Non-interviewed units that were previously renter occupied are also included in S6 and have current (t) and previous (t-6) month's rents assigned using a non-interview imputation process. Let the rent for rental unit i in time t be ri,t and let ai,t be a factor that adjusts for the estimated small loss in quality due to the aging it experienced between t-1 and t. The 6-month estimate of rent change is calculated by:

where:

Wi is the inverse probability of selection adjusted for non-response for renter unit i.


Using and the index for the previous month, It-1, the BLS computes the current month's rent index, It, as follows:



The final Rent and OER indexes for month t for each market basket are last month's index times the sixth root of the 6-month estimate of rent change.


The rents for renters are obtained directly. The basic weights for Rent and OER were computed with the initiation of the sample design. Recent research by Adams and Verbrugge (2021) reveals that OER should be weighted so that the type of structure (that is, single family versus multi-unit) is more closely aligned with five-year ACS data. To that end, BLS began the adjustment of unit-level weights to better represent owner-occupied inflation starting in January 2023.


2. c. Degree of Accuracy Required


The statute mandating the CPI does not specify a required precision or accuracy for the index. However, the BLS does provide measures of the standard error for the All U.S. CPI (CPI-U) and for the Northeast, Midwest, South and West Regions CPI (CPI-U). The most recent standard error data can be viewed at https://www.bls.gov/cpi/tables/variance-estimates/home.htm. The BLS also requires that the precision of the CPI be maximized given the total cost. The allocation of the Rent sample was optimized given a fixed cost constraint with the stipulation that the variances of the Rent Index and the Owners' Equivalent Rent index be approximately equal.


For example, the estimate of the CPI-U median standard error for 12-month intervals from January 2024 through December 2024 was 0.19 for Rent of Primary Residence; and 0.18 for Owners’ Equivalent Rent of Residences.


2.d. Special Sampling Procedures


Data are collected from the first day to the last day of the reference month. For example, data for the January index are collected during January 1 through 31.


2.e. Use of Periodic Data Collection Cycles


The rental units in the CPI survey are divided into 6 subsamples, called panels. Each month one panel (one-sixth of the renter units) is collected. For example, panel 1 is collected each January and July, and panel 2 is collected each February and August. Collecting each panel twice a year reduces the burden on each respondent.



3. Describe methods to maximize response rates and to deal with issues of non-response. The accuracy and reliability of information collected must be shown to be adequate for intended uses. For collections based on sampling, a special justification must be provided for any collection that will not yield "reliable" data that can be generalized to the universe studied.


The Bureau of Labor Statistics has constantly engaged in research to improve the quality of the data collected and used in the CPI Housing indexes.  The CPI collects data in a sample of 75 metropolitan areas called Primary Sampling Units.  Most of the current sample, 43,000 rental units, were selected based on 2010 Census data.


The survey design for the new sample of rented units has an important feature: Commercially available address lists are used in place of a labor-intensive manual listing process, resulting in significant cost savings. A vendor supplies these addresses for each newly-created segment.  For each address, the vendor provides codes indicating that address’s probability of being owner-occupied.  Since owners are out of scope for the Housing Survey due to the use of a rental equivalence approach to measure the price change of owner-occupied housing, addresses that are most certainly owners are removed. Addresses that can be identified as commercial and post office boxes are also removed. Once commercial and owner-occupied addresses are removed, BLS samples the remaining set of units to be sent out for initiation. These addresses are screened by the field using property tax records for varying municipalities to further remove owner-occupied housing from the CPI rental sample.


The BLS utilizes several techniques to ensure that adequate sample sizes and response rates are maintained for estimating the CPI. Initial sample sizes are larger than the desired sample sizes to cover non-responses, e.g., refusal, unable to locate, housing units that convert to owner occupied, non-contact, and also hard-to-reach, among other reasons. Response rates are tracked, and, once sample sufficiency is met, screening ceases within the area.


Additionally, Economic Assistants who collect the data are trained to obtain complete address, telephone, and contact time information for all possible eligible respondents (tenants, managers, landlords, or authorized respondents) in order to complete the survey. Any potential respondent may be contacted by telephone, in person, or by email using a shuttle form if approval has been granted at any time during the index collection month.


In the CPI Housing survey, imputations are employed for two different cases: one is for non-responding units and the other is for vacant units.  For non-responding units, a current price is imputed based on the rates of change of rents of responding units within the PSU .  Units that are reported as vacant have rents imputed for them as well.  Rents for newly vacant units, that have become vacant within the previous six months, are imputed using rent changes for responding units that have been occupied by the current tenant for six months or less.  Rents for longer-term vacant units are imputed using responding changes for units that have been occupied by the current tenant for longer than six months.  For both cases, group-mean imputation is used.


4. Describe any tests of procedures or methods to be undertaken. Testing is encouraged as an effective means of refining collections of information to minimize burden and improve utility. Tests must be approved if they call for answers to identical questions from 10 or more respondents. A proposed test or set of test may be submitted for approval separately or in combination with the main collection of information.



There are no test procedures or methods being undertaken at this time.



5. Provide the name and telephone number of individuals consulted on statistical aspects of the design and the name of the agency unit, contractor(s), grantee(s), or other person(s) who will collect and/or analyze the information for the agency.


Robert A. Cage, Assistant Commissioner for Consumer Prices and Price Indexes (telephone 202-691-6950) is the CPI program manager and has overall responsibility for the CPI. Robert G. Poole, Division of Price Statistical Methods in the Office of Prices and Living Conditions of the BLS (telephone: 202-691-6910) has reviewed and approved the statistical methodology for the survey design. The Office of Field Operations of the BLS will collect all data. The data will be processed by the Division of Consumer Price Computer Systems of the Directorate of Survey Processing of the Office of Technology and Survey Processing of BLS. The Branch of Consumer Prices analyzes the data.



OMB Supporting Statement Attachments:


  1. Code of Laws—Title 29


  1. Screen Images—Housing Collection Instrument


  1. Housing Survey Brochure and fact sheet (English)


  1. Housing Survey Brochure and fact sheet (Spanish)


  1. Housing Survey Brochure (Simplified Chinese)


  1. Housing Introductory Letter (Sample)


  1. Housing Screening Letter (potential renter)


  1. Housing Screening Letter (seasonal rental)


  1. Consumer Price Index Handbook of Methods

  2. Steven P. Paben, William H. Johnson, John F. Schilp. “The 2018 revision of the Consumer Price Index geographic sample”. Monthly Labor Review, October 2016.

  3. Housing Shuttle Form – English

  4. Housing Shuttle Form – Spanish


  1. Housing Shuttle Form - Simplified Chinese


  1. Modernizing Data Collection: APIs & Web Scraping


  1. Modernizing Data Collection: Corporate Data


XVI.  CPI Housing Reinterview v1

XVII.  CPI Housing Reinterview v2




File Typeapplication/vnd.openxmlformats-officedocument.wordprocessingml.document
AuthorNora Kincaid
File Modified0000-00-00
File Created2025-03-08

© 2025 OMB.report | Privacy Policy